Submitted:
30 April 2024
Posted:
01 May 2024
Read the latest preprint version here
Abstract
Keywords:
1. Introduction
2. Materials and Methods
2.1. Sample Preparation for the Preliminary Trial
2.1.2. Salinity Assessment
2.1.3. Cell Counting
2.1.4. Dry Weight Assessment
2.1.5. Chlorophyll Assessment
2.2. Upscaling
2.3. Statistical Analysis
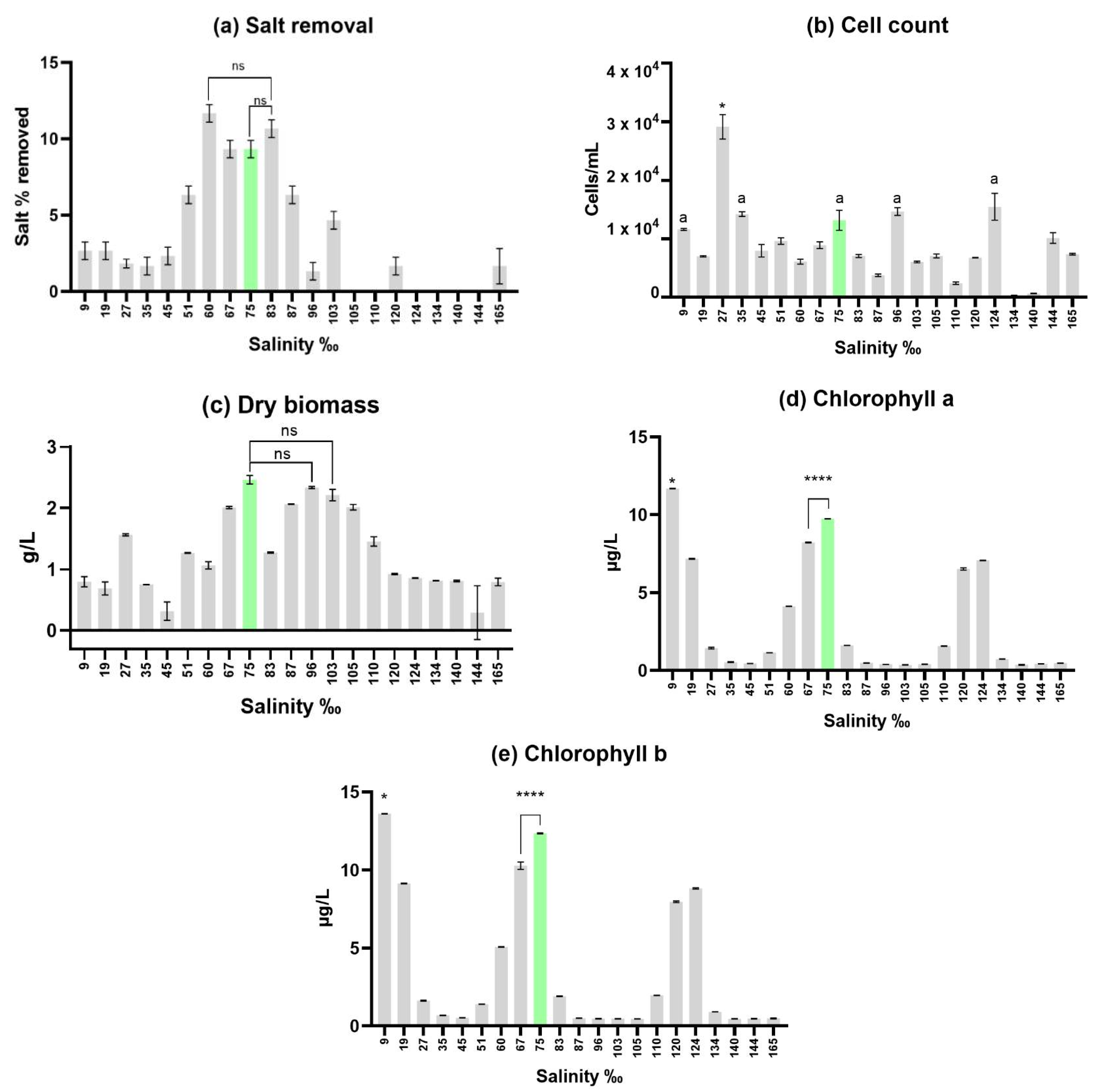
3. Results
3.1. Initial Trial
3.2. Upscaling
4. Discussion
5. Conclusions
Author Contributions
Funding
Data Availability Statement
Conflicts of Interest
References
- J. Chenoweth, “Minimum water requirement for social and economic development,” Desalination, vol. 229, no. 1–3, pp. 245–256, Sep. 2008. [CrossRef]
- U. Lall, T. Heikkila, and T. Siegfried, “WATER IN THE 21ST CENTURY: DEFINING THE ELEMENTS OF GLOBAL CRISES AND POTENTIAL SOLUTIONS on JSTOR,” J. Int. Aff. Editor. Board, 2008, Accessed: Dec. 13, 2023. [Online]. Available: https://www.jstor.org/stable/24358108.
- D. W. Bromley, D. C. Taylor, and D. E. Parker, “Water Reform and Economic Development: Institutional Aspects of Water Management in the Developing Countries,” vol. 28, no. 2, pp. 365–387, Jan. 1980. [CrossRef]
- C. Brown and U. Lall, “Water and economic development: The role of variability and a framework for resilience,” Nat. Resour. Forum, vol. 30, no. 4, pp. 306–317, Nov. 2006. [CrossRef]
- R. Bhateria and D. Jain, “Water quality assessment of lake water: a review,” Sustain. Water Resour. Manag., vol. 2, no. 2, pp. 161–173, Jun. 2016. [CrossRef]
- J. Ayoub and R. Alward, “Water requirements and remote arid areas: the need for small-scale desalination,” Desalination, vol. 107, no. 2, pp. 131–147, Oct. 1996. [CrossRef]
- P. J. McGinn et al., “Assessment of the bioenergy and bioremediation potentials of the microalga Scenedesmus sp. AMDD cultivated in municipal wastewater effluent in batch and continuous mode,” Algal Res., vol. 1, no. 2, pp. 155–165, Oct. 2012. [CrossRef]
- J. K. Pittman, A. P. Dean, and O. Osundeko, “The potential of sustainable algal biofuel production using wastewater resources,” Bioresour. Technol., vol. 102, no. 1, pp. 17–25, Jan. 2011. [CrossRef]
- N. Abdel-Raouf, A. A. Al-Homaidan, and I. B. M. Ibraheem, “Microalgae and wastewater treatment,” Saudi J. Biol. Sci., vol. 19, no. 3, pp. 257–275, Jul. 2012. [CrossRef]
- D. Curto, V. Franzitta, and A. Guercio, “A Review of the Water Desalination Technologies,” Appl. Sci. 2021, Vol. 11, Page 670, vol. 11, no. 2, p. 670, Jan. 2021. [CrossRef]
- S. F. Mohsenpour, S. Hennige, N. Willoughby, A. Adeloye, and T. Gutierrez, “Integrating micro-algae into wastewater treatment: A review,” Sci. Total Environ., vol. 752, p. 142168, Jan. 2021. [CrossRef]
- L. Gao, X. Zhang, L. Fan, S. Gray, and M. Li, “Algae-Based Approach for Desalination: An Emerging Energy-Passive and Environmentally Friendly Desalination Technology,” ACS Sustain. Chem. Eng., vol. 9, no. 26, pp. 8663–8678, Jul. 2021, doi: 10.1021/ACSSUSCHEMENG.1C00603/ASSET/IMAGES/MEDIUM/SC1C00603_0008.GIF. [CrossRef]
- L. E. de-Bashan and Y. Bashan, “Immobilized microalgae for removing pollutants: Review of practical aspects,” Bioresour. Technol., vol. 101, no. 6, pp. 1611–1627, Mar. 2010. [CrossRef]
- R. Muñoz and B. Guieysse, “Algal–bacterial processes for the treatment of hazardous contaminants: A review,” Water Res., vol. 40, no. 15, pp. 2799–2815, Aug. 2006. [CrossRef]
- L. Uma, K. Selvaraj, G. Subramanian, S. Nagarkar, and R. Manjula, “Biotechnological Potential of Marine Cyanobacteria in Wastewater Treatment - Disinfection of Raw Sewage by Oscillatoria willei BDU 130511,” J. Microbiol. Biotechnol., vol. 12, no. 4, pp. 699–701, Aug. 2002, Accessed: Dec. 13, 2023. [Online]. Available: https://www.jmb.or.kr/journal/view.html?spage=699&volume=12&number=4.
- N. Mallick, “Biotechnological potential of immobilized algae for wastewater N, P and metal removal: A review,” BioMetals, vol. 15, no. 4, pp. 377–390, Dec. 2002. [CrossRef]
- Moayedi, B. Yargholi, E. Pazira, and H. Babazadeh, “Investigated of Desalination of Saline Waters by Using Dunaliella Salina Algae and Its Effect on Water Ions,” Civ. Eng. J., vol. 5, no. 11, pp. 2450–2460, Nov. 2019. [CrossRef]
- E. Sergany, E. Hosseiny, and E. Nadi, “The Optimum Algae Dose in Water Desalination by Algae Ponds,” Int. Res. J. Adv. Eng. Sci., vol. 4, no. 2, pp. 152–154, 2019.
- G. Laliberté, P. Lessard, J. De la Noüe, and S. Sylvestre, “Effect of phosphorus addition on nutrient removal from wastewater with the cyanobacterium Phormidium bohneri,” Bioresour. Technol., vol. 59, no. 2–3, pp. 227–233, Feb. 1997. [CrossRef]
- M. E. Martínez, S. Sánchez, J. M. Jiménez, F. El Yousfi, and L. Muñoz, “Nitrogen and phosphorus removal from urban wastewater by the microalga Scenedesmus obliquus,” Bioresour. Technol., vol. 73, no. 3, pp. 263–272, Jul. 2000. [CrossRef]
- Oren, “A hundred years of Dunaliella research: 1905–2005,” Saline Systems, vol. 1, no. 1, p. 2, Dec. 2005. [CrossRef]
- R. Rippka, “Isolation and Purification of Cyanobacteria,” Methods Enzymol., vol. 167, no. C, pp. 3–27, 1988. [CrossRef]
- C. J. Carr et al., “An Audit and Comparison of pH, Measured Concentration, and Particulate Matter in Mannitol and Hypertonic Saline Solutions,” Front. Neurol., vol. 12, p. 667842, May 2021. [CrossRef]
- N. Reza Moheimani, M. A. Borowitzka, A. Isdepsky, and S. Fon Sing, “Standard methods for measuring growth of algae and their composition,” Algae for Biofuels and Energy, pp. 265–284, Jan. 2013. [CrossRef]
- H. Caspers, “J. D. H. Strickland and T. R. Parsons: A Practical Handbook of Seawater Analysis. Ottawa: Fisheries Research Board of Canada, Bulletin 167, 1968. 293 pp. $ 7.50,” Int. Rev. der gesamten Hydrobiol. und Hydrogr., vol. 55, no. 1, pp. 167–167, Jan. 1970. [CrossRef]
- S. W. Jeffrey and G. F. Humphrey, “New spectrophotometric equations for determining chlorophylls a, b, c1 and c2 in higher plants, algae and natural phytoplankton,” Biochem. und Physiol. der Pflanz., vol. 167, no. 2, pp. 191–194, Jan. 1975. [CrossRef]
- Moayedi, B. Yargholi, E. Pazira, and H. Babazadeh, “Investigation of bio-desalination potential algae and their effect on water quality,” 2021. [CrossRef]
- D. Kaplan, “Absorption and Adsorption of Heavy Metals by Microalgae,” Handb. Microalgal Cult. Appl. Phycol. Biotechnol. Second Ed., pp. 602–611, Jan. 2013. [CrossRef]
- K. Priya, L. Gnanasekaran, K. Dutta, S. Rajendran, D. Balakrishnan, and M. Soto-Moscoso, “Biosorption of heavy metals by microorganisms: Evaluation of different underlying mechanisms,” Chemosphere, vol. 307, p. 135957, Nov. 2022. [CrossRef]
- B. Ramesh et al., “A review on algae biosorption for the removal of hazardous pollutants from wastewater: Limiting factors, prospects and recommendations,” Environ. Pollut., vol. 327, p. 121572, Jun. 2023. [CrossRef]
- M. O. I. Ghobashy, O. Bahattab, A. Alatawi, M. M. Aljohani, and M. M. I. Helal, “A Novel Approach for the Biological Desalination of Major Anions in Seawater Using Three Microalgal Species: A Kinetic Study,” Sustain. 2022, Vol. 14, Page 7018, vol. 14, no. 12, p. 7018, Jun. 2022. [CrossRef]
- J. Wei, L. Gao, G. Shen, X. Yang, and M. Li, “The role of adsorption in microalgae biological desalination: Salt removal from brackish water using Scenedesmus obliquus,” Desalination, vol. 493, p. 114616, Nov. 2020. [CrossRef]
- Çelekli and H. Bozkurt, “Bio-sorption of cadmium and nickel ions using Spirulina platensis: Kinetic and equilibrium studies,” Desalination, vol. 275, no. 1–3, pp. 141–147, Jul. 2011. [CrossRef]
- M. Mirzaei, M. Jazini, G. Aminiershad, and D. Refardt, “Biodesalination of saline aquaculture wastewater with simultaneous nutrient removal and biomass production using the microalgae Arthrospira and Dunaliella in a circular economy approach,” Desalination, vol. 581, p. 117564, Jul. 2024. [CrossRef]
- S. Sedjati, G. W. Santosa, E. Yudiati, E. Supriyantini, A. Ridlo, and F. D. Kimberly, “Chlorophyll and Carotenoid Content of Dunaliella salina at Various Salinity Stress and Harvesting Time,” IOP Conf. Ser. Earth Environ. Sci., vol. 246, no. 1, p. 012025, Mar. 2019. [CrossRef]
- M. H. Morowvat and Y. Ghasemi, “Culture medium optimization for enhanced β-carotene and biomass production by Dunaliella salina in mixotrophic culture,” Biocatal. Agric. Biotechnol., vol. 7, pp. 217–223, Jul. 2016. [CrossRef]
- Djunaedi, C. A. Suryono, and S. Sardjito, “Kandungan Pigmen Polar Dan Biomassa Pada Mikroalga Dunaliella Salina Dengan Salinitas Berbeda,” J. Kelaut. Trop., vol. 20, no. 1, pp. 1–6, Jul. 2017. [CrossRef]
- F. C. C. de S. Félix, V. B. Hidalgo, A. K. F. de Carvalho, N. de S. Caetano, and P. C. M. Da Rós, “Assessing the application of marine microalgae Dunaliella salina in a biorefinery context: production of value-added biobased products,” Biofuels, Bioprod. Biorefining, vol. 18, no. 2, pp. 439–452, Mar. 2024. [CrossRef]
- G. A. Colusse, C. R. B. Mendes, M. E. R. Duarte, J. C. de Carvalho, and M. D. Noseda, “Effects of different culture media on physiological features and laboratory scale production cost of Dunaliella salina,” Biotechnol. Reports, vol. 27, p. e00508, Sep. 2020. [CrossRef]
- M. Sarkheil, M. Ameri, and O. Safari, “Application of alginate-immobilized microalgae beads as biosorbent for removal of total ammonia and phosphorus from water of African cichlid (Labidochromis lividus) recirculating aquaculture system,” Environ. Sci. Pollut. Res., vol. 29, no. 8, pp. 11432–11444, Feb. 2022. [CrossRef]


| Salinity ‰ | 9 | 19 | 27 | 35 | 45 | 51 | 60 | 67 | 75 | 83 | 87 | 96 | 103 | 105 | 110 | 120 | 124 | 134 | 140 | 144 | 165 |
| Media | ASN III | ||||||||||||||||||||
Disclaimer/Publisher’s Note: The statements, opinions and data contained in all publications are solely those of the individual author(s) and contributor(s) and not of MDPI and/or the editor(s). MDPI and/or the editor(s) disclaim responsibility for any injury to people or property resulting from any ideas, methods, instructions or products referred to in the content. |
© 2024 by the authors. Licensee MDPI, Basel, Switzerland. This article is an open access article distributed under the terms and conditions of the Creative Commons Attribution (CC BY) license (http://creativecommons.org/licenses/by/4.0/).