Submitted:
25 April 2024
Posted:
25 April 2024
You are already at the latest version
Abstract
Keywords:
1. Introduction
2. Characteristic Analysis of Leading Edge Strength test of Variable Camber Wing
3. Test Scheme Design
3.1. Design of Follow-Up Loading Test Device
3.2. Multi-Point Cooperative Closed-Loop Control Technology
3.3. Design of Sensor Monitoring Network
4. Leading Edge Strength Test of Variable Camber Wing
4.1. Test Piece
4.2. Test Load
4.3. Test Loading
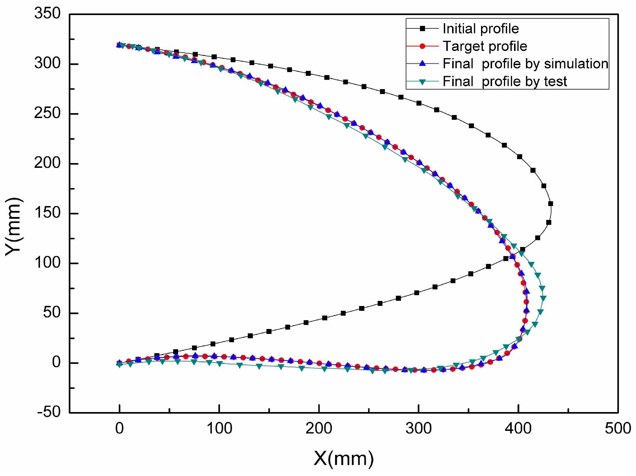
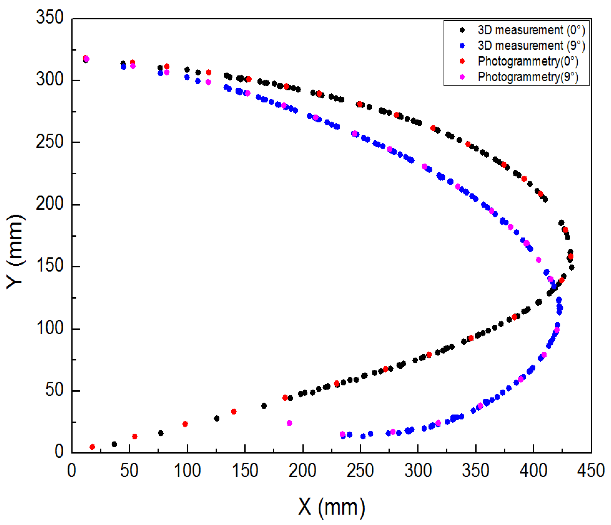
4.4. Test Results and Analysis
5. Conclusions
- The deformation process of the leading edge of full-scale variable camber wing under real flight load and drive load was accurately simulated. The test results show that the motion function and bearing capacity of the leading edge structure meet the design requirements, and the average deflection angle error is 4.59%.
- A multi-point cooperative control system with precise control, fast response and stable operation was developed. The feedback results show that the control frequency of the system is as high as 1000 Hz, and the average error of applied load magnitude and direction is 0.54% and 0.24%, respectively.
- The distributed sensor monitoring network was reasonably designed to ensure that the entire motion process of the leading edge can be measured and controlled. The measurement results show that the maximum error between the actual deformation and the theoretical deformation is less than 10mm, and the design target deflection angle was realised.
References
- Nie, R. Research on key technologies of morphing wing structure[D]. Doctor. Nanjing University of Aeronautics and Astronautics, 2020. [CrossRef]
- Li, X.F.; Zhang, M.J.; Wang, W.J.; et al. Research on Variable Camber Wing Technology Development [J]. Aeronautical Science & Technology, 2020, 31(02),12-24. [CrossRef]
- Ni, Y.G.; Yang, Y.; Research on the status and key technology in morphing airfoil of adaptive wings [J]. ADVANCES IN AERONATICAL SCIENCE AND ENGINEERING, 2018, 9(03), 297-308. [CrossRef]
- Leng, J.S.; Sun, J.; Liu, Y.J. application status and future[J]. Acta Aeronautica et Astronautica Sinica, 2014, 35(01), 29-45.
- He. M.; Yang. T.H.; Bai, J.Q.;, et al. Research on the drag reduction benefits of variable camber technology of civil transport jet based on trailing-edge flap deflection[J]. Acta Aeronautica et Astronautica Sinica, 2020, 41(7), 123462. [CrossRef]
- Cheng, C.X.; Li, D.C.; Xiang, J.W,et al. Analysis on aerodynamic characteristics of morphing wing with flexible trailing edge[J].Journal of Beijing University of Aeronautics and Astronautics ,2016 ,42(2), 360-367. [CrossRef]
- Schmitz, A.; Horst, P. Buckling of multiple discrete composite bundles in the elastomeric foundation of a curvature-morphing skin, Composite Structures, 2015 Volume 134, 1014-1023. [CrossRef]
- Hannig, A. Static and fatigue transverse crack initiation in thin-ply fibre-reinforced composites. 2018. ISBN 978-3-928628-97-6.
- Schmitz, A.; Horst. P. A finite element unit-cell method for homogenised mechanical properties of heterogeneous plates, Composites Part A: Applied Science and Manufacturing, 2014, Volume 61, 23-32, ISSN 1359-835X. [CrossRef]
- Wang, Z.G.; Yang, Y. Structural Design and Analysis of Compliant Skin for Morphing Wing Leading Edge [J]. Hi-Tech Fiber and Application, 2020, 45(03), 41-47.
- Zhang, P.; Zhou, L.; Qiu, T. Mechanical property analysis and structural design of flexible skin based on deformable honeycomb[J]. Chinese Journal of Solid Mechanics, 2013, 34(05), 433-440. [CrossRef]
- Yin, W. L.; Tian, D.K. Deformation of flexible skin for variable trailing-edge camber wing [J]. Journal of Nanjing University of Aeronautics & Astronautics, 2012, 44(04), 493-496. [CrossRef]
- Wang, Z. G.; Yang, Y. Optimization design of composite flexible skin for leading edge with variable camber[C].NCCM-21, Hohhot, China, 25-27 August 2020. [CrossRef]
- Zhang, Y.X.; Qiu, T.; Wang, Z.J. A flexible skin design technology and the application on variable camber trailing edge[J]. Aeronautical Science & Technology, 2012, 05, 26–28.
- Yan, F.F.; Xu, X.D. Negative poisson’s ratio honeycomb structure and its applications in structure design of morphing aircraft[J].Chinese Journal of Mechanical Engineering, 2012, 23(05): 542-546. [CrossRef]
- Vasista, S.; Nolte, F.; Monner, H.P.; Horst, P.; Burnazzi M. Three-dimensional design of a large-displacement morphing wing droop nose device. Journal of Intelligent Material Systems and Structures, 2018:1-20. [CrossRef]
- Rudenko, A.; Monner, H.; Rose, M. A Process Chain for Structural Optimization of a Smart Droop Nose for an Active Blown High Lift System. 22nd AIAA/ASME/AHS Adaptive Structures Conference, Maryland, 13-17 January 2014. [CrossRef]
- Miller, E.; William, L.; Josue, C.; et.at. Approach for structurally clearing an adaptive compliant trailing edge flap for flight. 2015.
- 19. Sui, T; Xu, Z.W. Study on Multi-motor Distributed Driving System of Morphing Wing with Flexible Skin, Mechanical Science and Technology for Aerospace Engineering. 2023, 42(09), 1551-1558. [CrossRef]
- 20. Yao, B; Cai, L.X; Bao C. Research on acquisition of mechanical properties of materials based on conical indentation[J]. Acta Aeronautica et Astronautica Sinica, 2013, 34(08), 1874-1883.
- Zhang, X.X.; Yan, B.X.; Sun, G.K.; et al. The Design of Flexible Deformation Wing and Structural Mechanical Property Analysis[J]. Machinery Design & Manufacture, 2020,(05):163-166. [CrossRef]
- Zhao, A.M; Liu. D.S; Su. Y; et al. Design and Numerical Simulation of an Innovation Overall Variable Camber Wing[J]. Aeronautical Computing Technique, 2018,48(03),111-113+121.
- Contell Asins, C.; Landersheim, V.; Laveuve, D.; Adachi, S.; May, M.; Wacker, J-D.; Decker, J. Analysis and Design of a Leading Edge with Morphing Capabilities for the Wing of a Regional Aircraft—Gapless Chord- and Camber-Increase for High-Lift Performance. Applied Sciences. 2021; 11(6),2752. [CrossRef]
- Zhang, P.; Zhou. L.; Qiu. T. Mechanical property analysis and structural design of flexible skin based on deformable honeycomb[J]. CHINESE JOURNAL OF SOLID MECHANICS, 2013, 34(05),433-440. [CrossRef]
- Liu, L.B. Mechanical analysis of trailing-adge with morphing skin[D]. Master. Harbin Institute of Technology. Harbin. 2012.
- Yang, Y.; Wang, B.W.; Lyu, S.S.; et al. Review of technical development of variable camber wing[J]. Acta Aeronautica et Astronautica Sinica. 2020. 43(01),144-163. [CrossRef]
- Rudenko, A.; Schmitz, A.; Monner, H.; Horst, P. Extremely deformable morphing leading edge: Optimization, design and structural testing. Journal of Intelligent Material Systems and Structures. 2017. 29. 1045389X1772103. [CrossRef]
- Vasista, S.; Riemenschneider, J.; Keimer, R.; Monner, H.; Nolte, F.; Horst, P. Morphing Wing Droop Nose with Large Deformation: Ground Tests and Lessons Learned. Aerospace 2019, 6, 111. [CrossRef]
- Vasista, S.; Riemenschneider, J.; Monner, H.; Nolte, F.; Horst, P. Manufacture and Testing of a Large-displacement Droop-Nose Morphing Wing Leading Edge. AIAA SciTech. 2019. [CrossRef]
- Noviello, M.C.; Pecora, R.; Amoroso, F.; Rea, F.; Arena, M.; Dimino, I. Experimental shape reconstruction of a morphing wing trailing edge in simulated operative conditions. 8th International Conference on Mechanical and Aerospace Engineering, Prague, Czech Republic, 22-25 July 2017, 249-256. [CrossRef]
- Nie, R.; Qiu, H.J.; Ji, H.L. Flexible skins theoretical and experimental research for one-dimensional wing morphing[J]. Science Technology and Engineering, 2017, 17(11),115-121.
- Chen, H.; Wang, B.F.; Lu, J.Y. et al. Shape optimization and test analysis of flexible skin for morphing wing[J]. ORDNANCE MATERIAL SCIENCE AND ENGINEERING, 2013, 36(02): 31-34. [CrossRef]
- Radespiel, R.; Heinze, W. SFB 88o: Fundamentals of high lift for future commercial aircraft. CEAS Aeronautical Journal. 2014. [CrossRef]





















| Structure deflection angle(°) | Deformation driving actuating cylinder displacement (mm) | Wing upper surface test load (N) | Wing lower surface test load (N) |
|---|---|---|---|
| 0 | 0 | -1201.26 | 61.28 |
| 3 | -7.306 | -888.99 | 90.39 |
| 6 | -14.632 | -943.49 | 92.079 |
| 9 | -21.960 | -946.21 | 104.27 |
| 12 | -29.268 | -945.18 | 106.95 |
| 15 | -36.353 | -944.15 | 109.63 |
Disclaimer/Publisher’s Note: The statements, opinions and data contained in all publications are solely those of the individual author(s) and contributor(s) and not of MDPI and/or the editor(s). MDPI and/or the editor(s) disclaim responsibility for any injury to people or property resulting from any ideas, methods, instructions or products referred to in the content. |
© 2024 by the authors. Licensee MDPI, Basel, Switzerland. This article is an open access article distributed under the terms and conditions of the Creative Commons Attribution (CC BY) license (http://creativecommons.org/licenses/by/4.0/).