Preprint
Article

This version is not peer-reviewed.

Techno-Feasibility Assessment of a Floating Breakwater Concept for Supporting Marine Renewables in Deep Waters

A peer-reviewed article of this preprint also exists.

Submitted:

23 April 2024

Posted:

24 April 2024

You are already at the latest version

Abstract
Previous research has proven that one of the fundamental requirements for ensuring increased profitability and economic competitiveness of offshore-based projects is co-locating different technologies within the same marine space. This paper presents a number of techno-feasibility analyses for floating offshore technologies for the Maltese Islands, located in the Central Mediterranean Sea. The first part compares the feasibility of offshore-based solar photovoltaic prices with those onshore, taking into consideration Malta’s land prices. The second part considers the use of a novel floating breakwater design that integrates energy storage. The breakwater is used to create a sheltered water area in deep waters for a multi-use marine park. Different revenue streams for the floating break water are considered, including renting the sheltered marine space out to operators of floating solar farms, aquaculture cages and vessel berthing facilities, and the provision of energy storage services. It is found that the combined income from the multiple revenue streams is still insufficient to justify the investment and that financially support from Government is essential to render the floating breakwaters viable.
Keywords: 
;  ;  ;  

1. Introduction

For islands such as the Maltese archipelago, protecting coastal areas from large waves in bad weather conditions has important social and environmental benefits. Floating Breakwaters (FBWs) may offer a solution to islands surrounded by deep waters given the following two advantages over seabed-mounted breakwaters (BWs): [1]:
  • FBWs can be deployed in areas where seabed-mounted BWs cannot due to poor seabed constitution; and
  • FBWs are often more financially viable than seabed-mounted BWs in sea depths greater than 6 metres.
Additionally, the installation of multiple FBWs can support the multi-use of offshore space, which also includes offshore renewables such as floating solar PV farms and offshore energy storage systems (ESSs). However, such projects can only become a reality if they are feasible financially. Techno-economic feasibility assessments are essential for establishing the viability of new technologies under development [2]. Gao et al. [3] performed a techno-economic assessment of offshore hybrid wind-wave farms with integrated ESSs. The study found that reducing ESS requirements by generating energy from hybrid, offshore wind-wave farms instead of solely an offshore wind farm leads to more competitive lifecycle costs. The study also highlights that overall costs are heavily dependent on the local renewable energy resources (RESs). Similarly, Rönkkö et al. [4] performed a case study comparing three hybrid, offshore wind-wave systems, highlighting the importance of a shared infrastructure to reap the most benefit.
The rapid increase in RES plants harvesting intermittent sources of energy, such as wind and solar , is leading to grid management problems given that the energy supply often does not match the actual demand of end consumers [7]. Energy storage is essential for handling this challenge, and enables the integration of renewables on a wide scale within electricity supply networks [8,9]. There is a growing interest to combine offshore renewables with other activities within the same marine space, including aquaculture and energy storage. Apart from making more efficient use of marine areas, co-locating different activities offers opportunities for cost reduction by being able to share common infrastructure, such as moorings and power transmission infrastructure. Several studies involving the co-location of existing structures with new structures to generate and store renewable energy are being carried out. Scroggins et al. [10] assessed the role that renewable energy plays in the aquaculture and fisheries industries, concluding that the RES provide a maximum of 5% of the energy required to maintain the said industries. The study concluded that a shift to situation-specific RES is required if international decarbonization aims are to be reached. Similarly, Lilas et al. [11] highlighted that combining offshore wind turbines with aquaculture allows for carbon footprint reduction, while also meeting the energy demands of the aquaculture farm via a centralized, multi-use platform which also integrates ESSs. The study also emphasises that moving aquaculture further offshore reduces the negative environmental impact of fisheries. Bocci et al. [12] investigated opportunities for the development of multi-use space based on 10 case studies across Europe, highlighting that whilst space claiming can create conflict, the advantages outweigh the disadvantages due to the common benefits for multiple parties within the multi-use space.
Dalton et al. [13] analysed and found that combining energy, food and water in the same marine space leads to attractive system profitability. Srinivasan et al. [14] investigated the possibility of having a floating PV setup together with a BESS to be installed and used purely for an offshore oil platform facility. The study found that the economic feasibility of the project relies heavily on the optimisation of the floating platform, specifically on the anchoring and mooring systems. Environmentally, the study found that reductions in CO2 emissions due to the inclusion of the floating PV system were obtained. Elginoz et al. [15] presented a multi-purpose platform accommodating both wave and wind energy generation. Their life-cycle assessment found that the primary source of pollution occurred during manufacturing of the platform and the decommissioning costs were affected depending on the recyclability of the platform parts. Abhinav et al. [16] reviewed platforms integrating multiple renewable energy generation sources with co-located aquaculture systems. The study concluded that such systems are still at a low technology readiness level (TRL), with multi-purpose platforms still being far from common practice.
From the above published works, one can observe that co-location, i.e., locating different technologies within the same marine space, is essential for improving the economic viability of offshore projects. Additionally, the ideal approach to such projects is one which satisfies the three pillars of sustainability, namely: environmental, social and economic. This paper investigates the viability of developing an offshore project, dubbed FORTRESS (A Floating Offshore Breakwater for Supporting Marine Renewable Energy around Islands), involving the deployment of a novel, modular floating breakwater (FBW) design to create a sheltered water area in deep sea to support multiple activities. The novel FBW incorporates a long-duration energy storage (LDES) system based on the FLASC (Floating Liquid Accumulator using Seawater under Compression) technology [17].
The proposed concept involving the deployment of multiple FBW modules, dubbed Project FORTRESS, will enable multiple revenue streams through the co-located assets, including sales of renewable energy from floating wind and solar farms, the provision of energy storage services and the provision of sheltered waters for aquaculture cages and berthing of seafaring vessels. It is assumed that investors develop the Project FORTRESS to own and operate the FBWs, with revenue being generated from two sources (1) provision of sheltered waters offshore and (2) energy storage services, in case of hybridisation. The paper assesses numerous case studies for the proposed concept applied to the Maltese deep waters, located in the Central Mediterranean Sea. The main objective of this study is to evaluate whether such revenue sources yield a sustainable business case to invest in the proposed FBW technology. Figure 1 summarises the workflow presented within this report. The work was set up as follows:
  • Section 2 presents the selected site within the Maltese territorial waters offering a potential for developing a multi-use offshore park integrating FBWs, offshore renewable energy and other activities. The design parameters for the technologies, which were maintained constant throughout the report, are also presented in this section.
  • Section 3 presents the case studies considered for cost modelling and economic analysis. Separate cost and revenue modelling for the Solar PVs, the Floating Offshore Wind Turbine (FOWT) Pilot Farm, FBWs as well as the Marine Park revenue streams are presented in this section. As shown in Figure 1, the case studies are split into two main parts:
    -
    Part A focuses on different Solar PV deployment technologies (land-based and rooftop PVs, floating PVs in calm waters, open seas and sheltered waters created by the FBWs) together with the Floating FOWT Pilot Farm. Part A also analyses the cost reductions in floating Solar PV infrastructure due to the introduction of the FBW structure without energy storage.
    -
    Part B replicates the case study in Part A, however, it introduces hydro-pneumatic energy storage (HPES) within the FBWs. Part B also analyses the influence that sea depth and the number of FBWs have on the overall revenue generation of the multi-use marine park.
  • Section 4 summarises the conclusions derived from the techno-economic analyses.
Figure 1. An overview of the work undertaken and presented in this paper.
Figure 1. An overview of the work undertaken and presented in this paper.
Preprints 104682 g001

2. Theoretical Review and Site Conditions

The following section presents a brief theoretical review of the equations applied for the techno-economic feasibility assessment. This section shows the site identified for potential project development and presents the main technical parameters forming the basis for the techno-economic assessment.

2.1. Theoretical Review

The main costings associated with the FBWs, large-scale solar PV projects and floating offshore wind turbines can be summarised in the following list [18,19,20,21]:
  • Project Development and Consenting
  • Capital Expenditure (CAPEX) - Includes hardware, assembly, installation and electrical power infrastructure.
  • Operational Expenditure (OPEX)
  • Decommissioning Expenditure (DECEX)
The typical assessments performed to analyse the economic feasibility of a system or project are the Simple Payback Period (SPP), the Internal Rate of Return (IRR) and the Levelized Cost of Energy (LCOE). The SPP is calculated as shown in equation (1) hereunder:
S P P = T o t a l P r o j e c t I n v e s t m e n t A n n u a l P r o f i t s
However, the SPP does not consider the temporal effects on the value of money and thus can be seen as a limited indicator of the true feasibility of a project. As a result, the IRR is typically preferred to accurately assess a project’s potential. The IRR is calculated by applying equation (2) hereunder and assuming that the Net Present Value ( N P V ) is equal to zero:
0 = N P V = n = 0 N C n ( 1 + r ) n
where C n is the cash flow, r is the internal rate of return (IRR), n is a non-negative integer and N is the total number of periods. In order for a project to be deemed economically feasible, the IRR percentages must be equal to or greater than the discount rate applied [22]. Additionally, the LCOE is also an important calculation which finds the ratio between the annual total cost to the electrical output of the system, thus providing a cost per unit of electricity generated (€ / k W h ). The LCOE is calculated as shown in equation (3):
L C O E = I a E g e n e r a t e d + O P E X E g e n e r a t e d
where I is the initial investment, a is the annuity factor and E g e n e r a t e d is the annual energy generated [23,24].

2.2. Site Identification

Figure 2 shows the selected site considered for Project FORTRESS for possible implementation of a multi-use marine park using the proposed FBW technology. This site, situated along Malta’s west coast, is an ambitious site for such a project, primarily due to the sea depth (≈ 200 m) and the distance from shore (≈ 12 km). While the site is more distant from the coast, this can allow for the provision of ample marine space for a large-scale multi-use park and for reducing the impact of waves reflecting off the coast and approaching the sheltered space in the opposite direction. Furthermore, the selected site lies outside the Special Protection Areas (SPAs) and Special Areas of Conservation (SACs) in Maltese territorial waters, although it is important to note that further in-depth analysis is required through a site-specific Environmental Impact Assessment (EIA) on a site and project specific basis.

2.3. Baseline Data

The baseline data used throughout this paper applies data from previous work by Borg et al. [26] and Cutajar et al. [27]. The main ESS parameters, which are kept constant throughout this paper, are summarised in Table 1. The ESS applied is the HPES system [17] consisting of an Energy Conversion Unit (ECU) and Pressure Containment System (PCS). The ECU is comprised of two hydraulic machineS, namely a MW-scale centrifugal pump and a Pelton turbine. The HPES system makes use of a liquid piston in order to charge or discharge the system by compressing air in a subsea environment to maintain quasi-isothermal conditions [17].

2.3.1. Renewable Energy Sources

The wind speed data used to estimate the annual energy yield of the wind turbine selected was 3TIER [28] hourly averaged data in a time series format, extending over the 6 year period from years 2005 to 2010. The data were corrected based on wind speed measurements obtained at a height of 80 metres above ground level at a coastal location in the Maltese Islands [29]. The wind speed measurements were applied to a 10 MW NREL wind turbine (WT) [30], with the wind speed being corrected for WT hub height based on a realistic wind shear exponent ( α ) [29], as shown in equation (4) hereunder:
v = H H 0 α × v 0
where v is the wind speed at the height of interest, v 0 is the measured wind speed at a reference height, H 0 , for the measurement height and H is the proposed WT’s hub height.
The solar PV data were provided from an existing installation at the University of Malta. A multiplication factor of 1.11 was applied in order to estimate the RES generation if the same solar PV installation were to be placed offshore, taking into consideration that the marine environment provides better cooling of PV panels than onshore due to lower ambient temperatures [31]. Table 2 and Table 3 respectively summarise the FOWT farm and solar PV performance metrics assumed and maintained constant throughout this paper.
Once the individual performance parameters for the FOWT pilot farm and for the solar PVs were established, understanding the spatial requirements of the two RES technologies related to the study was the step which followed. Table 4 presents estimates for the spatial requirements for the solar PVs and the FOWT pilot farm. The ‘medium’ value for spatial requirements is simply the average of the optimistic and conservative spatial requirement scenarios.

2.3.2. The Floating Breakwater

The geometric parameters of a single FBW module with the integrated HPES system (presented in Figure 3) described in [27] and being adopted in the present study, are presented in Table 5. Note that, the FBW floater remains unchanged when integrating the HPES system. The PCS in this case is assumed to consist of eight steel pipelines, shown in Figure 3 hereunder. Similarly, the characteristics of the PCS system and the catenary mooring system are listed in Table 5. Further detail may however be found in [27].
Table 6 gives a breakdown of the total hardware-attributable cost for one hybrid FBW module. The total cost adds up to a total of € 29,106,298 (€ 29.1 million) and includes aspects such as shipping, coatings and auxiliary items. It is shown that the moorings are the most expensive component accounting for more than half the total hardware-attributable cost. The anchors are the next, most expensive component of the floating system, followed by the FBW and HPES system. From a detailed study on the logistics of installation of the hybrid FBW, the transportation and installation costs were found to add up to simply 7.2% of the total hardware-attributable costs. Considering also insurance costs during the commission phase, the total CAPEX of one FBW with integrated HPES system has been estimated to be approximately € 31,623,152 (€ 31.6 million).
A breakdown of the described CAPEX is in fact given in Table 7. The latter shows how the hardware, in particular the mooring chains (see Table 6), are the highest expense related to a large-scale FBW. The proposed system needs very heavy chains to remain in place and experience controlled response in deep waters, leading to very expensive mooring solutions.

2.3.3. Case Study Summary

As explained previously in Section 1, the Case Studies considered in this study, and which will be analysed throughout this report are split into two main parts. Table 8 summarises all case studies which have been performed. Studies A1 to A4 considered two onshore solar PV technologies (land-based and rooftop) and two floating offshore solar PV technologies (calm waters and open offshore) to analyse how the energy production, CAPEX, OPEX and DECEX vary from one case to another. The floating FOWT pilot farm was assumed to be the same throughout all studies. Study A5 introduced the FBWs, thus creating a sheltered region. It was assumed that the FBW owners would generate revenue by leasing the sheltered water space to operators of floating solar farms, aquaculture farms and seafaring vessels. For study A5, the FBWs serve the sole purpose of providing a sheltered area, and do not have the ESS incorporated. Studies B1 to B3 introduce ESS which allows the FBWs to serve a dual purpose, i.e., to provide:
  • A sheltered area; and
  • Energy storage services to the electricity grid.
Table 8. A summary of all the Case Studies performed throughout the investigation.
Table 8. A summary of all the Case Studies performed throughout the investigation.
Case Study Description
Part A - No ESS
A1 Land-based PV and FOWT Pilot Farm
A2 Rooftop PV and FOWT Pilot Farm
A3 Floating PV in Calm Waters and FOWT Pilot Farm
A4 Floating PV in Open Waters and FOWT Pilot Farm
A5 Floating PV in Sheltered Waters and FOWT Pilot Farm (61 FBWs)
Part B - Includes FBWs and ESS
B1 Floating PV in Sheltered Waters and FOWT Pilot Farm (61 FBWs)
B2 Floating PV in Sheltered Waters and FOWT Pilot Farm (41 FBWs)
B3 Floating PV in Sheltered Waters and FOWT Pilot Farm (21 FBWs)
The inclusion of ESS services provides additional revenue streams for the FBW owners. All revenue streams are presented in Table 9. RS1 to RS3 are common revenue streams which were applied to case study A5 and all of Part B, since the said revenue streams are possible with the inclusion of the FBWs, yet do not require the ESS except for the charging services associated with RS1. Revenue streams RS4 to RS6 are introduced in Part B with the inclusion of the ESS incorporated in the FBWs. Figure 4 presents where the RSs are applied in the case studies.

3. Techno-Economic Feasibility Case Studies

The following section discusses the cost modelling of the individual RES technologies and amalgamates the different cost models into an overall IRR and LCOE comparison for the various case studies considered.

3.1. FOWT Pilot Farm Cost Modelling

Since the FOWT Pilot Farm will remain constant throughout all case studies across Parts A and B, this section will separately explain the cost modelling and economic feasibility of the Pilot Farm as a stand-alone project. While Table 2 in Sub-Section 2.3.1 discussed the FOWT pilot farm technical details, Table 10 hereunder presents the main costings assumed. A report carried out by BVG Associates stated that FOWT farm costs range between 4,000 to 5,000 €/kW [40]. While CAPEX costing values were obtained from a variety of sources ([19,20,41]), the highest CAPEX value found from the referenced sources (which exceeds BVG Associates’ cost range [40]) was considered for this particular study due to the following reasons:
  • Projects are usually large-scale, meaning that a FOWT farm would consist of a minimum of ten WTs, with some projects reaching Gigawatts of installed capacity (>1000 MW);
  • The project in question would be the first of its kind in the Maltese Islands, thus costs will be higher due to lack of previous experience in the sector; and
  • Transportation and installation costs would be greater given the lack of local, adequate port facilities which are large enough to assemble the FOWTs at the quayside.
A detailed breakdown of what the CAPEX, OPEX and DECEX costs consist of may be obtained from a cost modelling study performed by Diaz et al. [19] for a FOWT farm consisting of 88 WTs each rated at 10 MW. The cost (€/kW) was calculated and is presented in Table 10. The inputs required for the LCOE, IRR and SPP are listed in Table 11. The interest rate was selected based on the fact that the interest rate for such projects typically varies from 5 to 10% [19,20]. Similarly, the inflation rate is typically assumed to be anywhere between 2 to 2.5% and therefore, an inflation rate of 2.5% was considered [42]. The timing of the project was assumed to be 30 years, with the first 5 years being solely dedicated to project development and consenting. Therefore, the FOWT Pilot Farm would have a lifecycle of 25 years. Staffell et al. [43] concluded that WTs lose approximately 1.6 ± 0.2% in energy production per year. As a result, this energy production loss was applied across the 25-year lifecycle of the FOWT pilot farm. FOWT farms must have an IRR value which is at least 8% [44]. Hence, the feed-in tariff (FIT) required to reach an IRR of 8% was found. Table 12 summarises the FOWT pilot farm’s main economic feasibility results.
Table 10. Main cost parameters of the FOWT Pilot Farm.
Table 10. Main cost parameters of the FOWT Pilot Farm.
Cost Parameters Value (€/kW) Reference
CAPEX 5172
OPEX 50.40 [19]
DECEX 138.23

3.2. Part A - No Storage

As explained previously in Section 2.2 and Section 2.3 and as shown in Table 8, Part A involved a number of case studies assuming different Solar PV technologies: Case Studies A1 and A2 analyse two onshore solar PV technologies, comparing the cost difference between land-based and rooftop PVs. Meanwhile, Case Studies A3 and A4 present the cost modelling of the solar PV farm in calm and open waters respectively. Open waters would expose the solar PV structures to large waves, thus demanding robust floating support structures, similar to those used on oil and gas and floating wind turbines. Case Studies A1 to A4 provide information which is required to perform Case Study A5, where the FBW structure is introduced.

3.2.1. Onshore Solar PV (Case Studies A1 and A2)

Case Study A1 considers the rental of unused, onshore land for developing a 40 MWp solar farm together with a 30 MW FOWT pilot farm off the West Coast of the Maltese Islands. Table 13 presents the main costings related to the land-based and rooftop PV plants. While the CAPEX costs related to the solar PV hardware are not high, the total initial project investment required becomes excessively high due to lease of space costs to rent out the land for a project lifetime of 25 years. Since the CAPEX cost did not include project development and consenting in this case, a study by Alsheghri et al. [45] was used, where it was assumed that such costs made up 0.56% of the total CAPEX costs of the solar farm. Meanwhile, as shown in Table 13, The Energy and Water Agency’s National Renewable Energy Action Plan [46] showed that the CAPEX for rooftop PV systems is higher than for land-based PV systems. Table 14 presents the inputs applied for the calculations of the LCOE, IRR and SPP. The cost parameters presented in Table 13 were applied to the cost analysis.
Since Case Studies A1 and A2 consist of onshore PV systems, the interest rate related to project investment was assumed to be 5%. This value is based on the average interest rate of European Solar PV projects [20]. Additionally, a 0.2% decrease in solar panel production per annum was applied based on a study by Fraunhofer [49]. Table 15 presents the economic analysis outputs of the land-based and rooftop PV systems, indicating that the rooftop PV plant requires a FIT which is 46.70% less than that of the land-based PV plant in order to achieve an IRR of 8%. Once the individual economic outputs of the different onshore solar PV plant setups and the FOWT pilot farm were obtained (presented in Table 12), an overall economic output could be obtained for the two case studies (A1 and A2). Table 16 summarises the main economic parameters of Case Studies A1 and A2.

3.2.2. Offshore Solar PV (Case Studies A3 and A4)

Case Study A3 considered a floating offshore solar PV farm assumed to be in operation in calm waters (i.e., on reservoirs and lakes) together with the 30 MW FOWT pilot farm. Case Study A4 considered a floating offshore solar PV farm, assumed to be in operation in open waters, thus being exposed to harsher wind and wave conditions and demanding a robust support structure. As explained in Table 8 in Sub-Section 2.3.3, the 30 MW FOWT pilot farm is included throughout all the case studies. Table 17 presents the main costings related to the floating offshore solar PV farm assumed to be operating in calm waters and open waters respectively. While a number of research papers were considered to understand the typical CAPEX and OPEX costs of a floating PV (FPV) system [20,50], the most appropriate cost breakdowns were provided by Islam et al. [51] and by Ghigo et al. respectively [52]. While the CAPEX cost difference between floating PVs in calm waters and in open waters is significant due to the reasons explained above, the OPEX cost difference is negligible. Additionally, the replacement of hardware (for example PV panels, inverters and mooring chains) and decommissioning costs were assumed to be equal due to a lack of literature related to the said costs.
In the case of Case Studies A3 and A4, the interest rate related to project investment was assumed to be higher (set at 8%) than the onshore case studies to reflect the higher risk levels associated with offshore-based projects [45,47]. On the other hand, however, the energy produced per year for the offshore solar PV case studies was assumed to be 11% more due to the reasons previously explained in Sub-Section 2.3.1 [31]. Table 18 presents the applied parameters to carry out the economic evaluation for the solar PV systems in calm waters and open seas. Table 19 compares the economic outputs of the solar PV system in calm waters and open seas for an IRR of 8%. Table 20 summarises the main economic parameters of Case Studies A3 and A4.

3.2.3. The Influence of Ground Rent Cost

A key finding from Case Studies A1 to A4 is that although land-based PV systems are far cheaper than those offshore in open sea, the cost advantage is easily absorbed by the high costs for renting land. In fact, Case Study A1 ended up being the most expensive project in terms of CAPEX, thus resulting in requiring the highest FIT to obtain the desired 8% IRR for investors. In order to understand if this was a case-specific issue, different coastal regions around the Mediterranean were analysed to understand the typical land rental pricing.
Table 21 presents the average rental price per square metre per year for the different places analysed. One may observe that the rental price rises based on the regional population density. As a result, Malta resulted in having the greatest rental prices per year, thus heavily impacting the overall economic viability of a solar PV farm on unused, onshore territory. Figure 5 presents a graph indicating the relationship between the IRR and land rental price per year for different FITs. The results show that a FIT as low as 5 €c/kWh would not be enough to make the onshore-based PV system profitable, even if no land rental price was incurred.
Meanwhile, the only FITs which are feasible at a land rental price of 16 €/kWh fall between 20 and 25 €c/kWh. In most cases, the maximum land rental price which made the FITs ranging from 10 to 25 €c/kWh able to achieve 8% IRR or more, was 4 €/m2/year. It is important to note that the graph analysis does not apply to the onshore rooftop PV system, since a rooftop rental cost was established through a study by Rebe et al. [47]. The rooftop rental cost is also based on the assumption that the required area to house a 40 MWp solar farm would be found.
Due to the wind turbine farm already being situated offshore (in waters with a sea depth of 200 metres), and considering the high land prices for onshore PVs in Malta, co-locating floating wind and solar farms offshore seems to be a promising alternative. Case Study A2 provided competitive results with those in A3, however based on co-location and the assumption that a 40 MWp solar PV farm would need to be placed on rooftops, shifting offshore seems to be most sensible. As a result, Sub-Section 3.2.5 will explain Case Study A5, which is titled ‘Floating PV in Sheltered Waters and FOWT Pilot Farm including FBWs’, as previously presented in Table 8 in Section 2.3.3. Prior to Sub-Section 3.2.5, Sub-Section 3.2.4 will discuss Part A of the revenue streams created as a result of the introduction of the FBWs.

3.2.4. Revenue Streams for the FBWs (Part A, no ESS integrated)

The FBWs will create a large, sheltered area in deep water to accommodate different marine activities. The FBW technology assumed in the FORTRESS project is explained in detail in [27]. When assuming that the FBWs are purely structures to provide an area of sheltered waters (i.e., the storage aspect presented in Figure 3 in Section 2.3.2 within the FBWs is omitted), the following revenue streams may be generated:
  • Berthing of seafaring vessels (e.g., yachts),
  • Renting of space for aquaculture cages,
  • Renting of space for floating solar PVs.
Figure 6, Figure 7 and Figure 8 present an example of how the sheltered waters could be utilised, and what Project FORTRESS would look like overall. The FBW array provides a sheltered area spanning 8.30 km2, which provides space for two 40 MWp offshore floating solar PV farms (spanning 0.57 km2 excluding spacing) , aquaculture through fish farms (peach section spanning 0.14 km2) and a berthing section (orange and purple sections spanning 0.23 km2). An additional 27 MWp of solar PVs are assumed to be placed on the FBW array surfaces, spanning an area of 0.12 km2.
Berthing Facilities
The first revenue stream considered is the offering of berthing facilities (RS1, Figure 4) to seafaring vessels within a sheltered area created by the FBWs. The assumed business model is to have this area owned by the operators of the FBWs, but leased to a third party operating the facilities. In order to obtain realistic pricing for the berthing services being offered, prices from different berthing locations across the Maltese Islands were reviewed, such as for example those being quoted by the Excelsior [69] and Marina di Valletta [70] marinas. Table 22 presents the assumed pricing being assumed in the presented study. These are presented at the price per day for yachts as a function of vessel size. The pricing was set to one half of that found in [69,70], given that Project FORTRESS will offer the berthing in offshore environment rather than at port. Additionally, the number of berth spaces and area required are also presented. The approximate number of berth spaces was based on analyses for Universal Berth Parameters [71] and based on a report related to the development of yachting facilities in Malta [72].
The berthing section was assumed to be operational for five months per year, spanning from mid-May to mid-October (153 days). The estimated revenue being generated was estimated to be based on a half-half mix: 284 yachts sized between 16 to 18 metres and 284 yachts sized between 18 to 20 metres. Since assuming that the berthing area would be fully utilised consistently for all 153 days is an unrealistic scenario, three different usage percentages were considered. Lastly, Project FORTRESS would charge the berthing owner a percentage of the revenue generated for making use of the sheltered area created by the FBWs. The percentage charges are shown in Table 23 (10%, 17%, 25%). Through this charge, a cost in euro per square metre was established, which would then be utilised for the other revenue streams. The obtained cost per square metre was required to be less than the lease of land and rooftop rent. Table 23 also presents the results of the yacht berthing revenue stream financial analysis.
Aquaculture
The second possible revenue stream is to exploit the sheltered waters created by the array of FBWs for aquaculture through the operation of fish farms (RS2, Figure 4). Wang et al. [73] explained that while moving aquaculture further offshore increases expenses, advances in technology and the opportunity for co-location can lead to important cost reductions. Furthermore, Holmer [74] discussed how environmental detriment is predicted to decline with aquaculture moving further offshore due to greater sea depths and harsher weather conditions, leading to more efficient waste dispersion. Due to being set up further offshore, the carbon footprint of fish farms may increase due to increased transportation, unless green transportation is introduced. One small fish farm in the case of this project was assumed to consist of four 50 metre diameter cages and two 60 metre diameter cages (shown in Table 24). It was assumed that ten of such small fish farms would be placed in the sheltered water area. Similar to the berthing revenue stream, Project FORTRESS’ responsibility as the owner of the FBWs is to rent offshore sheltered space to be utilised by the fish farm operators. The cost in euro per square metre calculated previously in Table 23 was applied in this case in order to calculate the annual revenue for FORTRESS for the area utilised. Table 25 presents the financial results obtained.
Renting of Solar PV area
The third revenue stream is the renting of sheltered water areas created by the FBWs to operators of floating solar PV farms. With the introduction of the FBW array, the offshore floating PVs have a level of protection from open sea conditions. As a result, the solar farm cannot be considered to be in calm waters but is protected from the high waves of open seas. Thus, a separate analysis assuming a compromise between Case Studies A3 and A4 was carried out to estimate the LCOE and required FIT for a minimum of 8% IRR in the case of a solar PV farm in sheltered waters. The CAPEX cost value (1,370 €/kWp) was assumed since it is the average value of the CAPEX costs for the PV system in calm waters (693 €/kWp) and for the PV system in open seas (2,047 €/kWp). All economic analysis input parameters were also maintained. Due to the CAPEX savings in designing a Floating PV system for sheltered seas, a rental price (in terms of €/m2) is assumed to be charged by Project FORTRESS covering two different methods:
  • Locating floating PV systems in the sheltered water areas created by the FBWs, with a pricing arrangement that is similar to yacht berthing and aquaculture.
  • Locating additional solar PVs on the deck area available on the FBWs themselves. Such panels would be integrated in a similar way as roof-top systems, with no floaters and moorings required.
Table 26 presents the main economic results for a PV system in sheltered waters.
In the present feasibility analysis, it is assumed that the rental price for space for the second option is twice that of the first. Table 27 presents the power ratings and areas occupied in the sheltered waters together with the area occupied on top of the FBWs. Once again, Project FORTRESS is solely responsible for renting out the sheltered water area being utilised by the solar PV farm operators. The revenue resulting from the energy generated from the solar PV farm will be earned by its operators and not by the owners of the FBWs. Table 28 presents the yearly revenues for Project FORTRESS resulting from the two different areas enlisted in Table 27.

3.2.5. Sheltered Solar PV (Case Study A5)

Case Study A5 analyses an offshore floating solar PV system in sheltered waters and the FOWT Pilot Farm. The solar PV system is said to be sheltered due to the introduction of a FBW array, consisting of 61 FBWs. The FBW design and costings have been explained in detail in Sub-Section 2.3.2. The number of FBWs was derived based on previous research [75]. Table 29 presents the costings related to the FBW structure, with the FBW CAPEX amounting to € 27,586,954. A full economic analysis could be performed amalgamating the costings and revenue generated via the applicable revenue streams. Since the revenue streams will be applicable across the project lifetime (25 years), the annual revenue generated considered an inflation rate of 2.5% from the start to the end of the project [20]. Table 30 presents the results of Case Study A5, highlighting that the project would not be financially feasible with the discussed setup.
Through the economic evaluation of Case Study A5, a number of conclusions may be drawn:
  • The financial modelling shows that revenue streams RS1 (yacht berthing), RS2 (aquaculture farms) and RS3 (solar PV farms) do not provide sufficient revenue in total to outweigh the life cycle costs of the overall project, primarily due to the high cost of the FBW array. Figure 9 presents the breakdown of the different costs associated with the FBW array and the portion of revenue generated.
  • The combined savings incurred by locating the offshore solar PV farms in sheltered waters created by the FBW array together with the additional revenue streams instead of open seas, do not justify the high capital investment required for the FBWs in deep waters.
  • Case Study A5 did not consider the integration of energy storage within the FBW array to provide additional revenue streams, which would lead to further FBW investment.
As a result, the following section (Section 3.3) will analyse new case studies whereby the FBW array will not only be utilised to create a sheltered area, but to also store energy and thus, offer the opportunity for new revenue streams.
Figure 9. A pie chart showing the breakdown of the FBW array costs and revenue generated.
Figure 9. A pie chart showing the breakdown of the FBW array costs and revenue generated.
Preprints 104682 g009

3.3. Part B - FBWs Integrating Energy Storage

Part B consists of repeating the final case study of Part A, Case Study A5, integrating the HPES system [17] to provide energy storage services, apart from creating sheltered water areas. This hybridization process enables new revenue streams which will be discussed further in Section 3.3.1. Throughout Part B, all FBWs will have the HPES system integrated (previously shown in Figure 3 in Sub-Section 2.3.2 [27]). Once the revenue streams were defined, the cost modelling and techno-feasibility assessments at a sea depth of 200 metres could be performed.

3.3.1. Revenue Streams for the FBWs Integrating Energy Storage (Part B)

Apart from the revenue streams already listed and explained previously in Section 3.2.4, a number of additional revenue streams related to the integration of energy storage within the FBWs themselves were identified:
  • Power Smoothing
  • Power Arbitrage
  • Schedulable power to Berthed Seafaring Vessels
Power Smoothing
The technique utilised to smoothen power from the offshore RES (30 MW FOWT pilot farm and 40 MWp solar PV farm) is done by applying a Simple Moving Average (SMA) [75]. Figure 10 provides a basic flowchart of the revenue generation process for the revenue stream of power smoothing. The power smoothing process envisages Project FORTRESS purchasing excess energy at the averaged FIT (calculated to be 16.11 €c/kWh based on the energy production ratio between the FOWT farm and the floating solar PV farm) between the RESs and storing that excess energy via the ESS. Once an energy deficit occurs, the ESS discharges energy and sells it to the grid at a mark-up price, since the energy discharged would aid in matching the power required, thus providing a smoothened power output to the grid. The power smoothing applied was that of a 1-day SMA, meaning that the previous 24 hours of power data is utilised to obtain a Moving Average (MA).
Table 31 presents the difference in the number of FBWs utilised for power smoothing based on the percentage of the RES generation to be smoothened for the grid. Table 32 presents the financial results based on applying the power smoothing revenue stream when the total number of FBWs is 61, 41 and 21 (Table 8, Part B).
The financial study analyses how the power smoothing availability would affect the revenue generated from selling energy to smoothen the said power. Additionally, the selling price was also parameterized to analyse the profitability of the revenue stream. It should be noted that the above tables include the inefficiency of the ESS during both the charging (70% centrifugal pump efficiency) and discharging cycles (85% Pelton turbine efficiency). If the mark-up selling price to smoothen out the power is not sufficient, a loss can occur when considering the money spent by Project FORTRESS to purchase energy from the RESs. The mark-up prices assumed provided a profit throughout all scenarios. A common trend is that the larger the proportion of energy flowing through the ESS, the higher is the generated revenue. However, one must also consider that the remaining FBWs may also be hybridized to integrate an ESS and be used for revenue generation through power arbitrage, which is explained hereunder.
Power Arbitrage
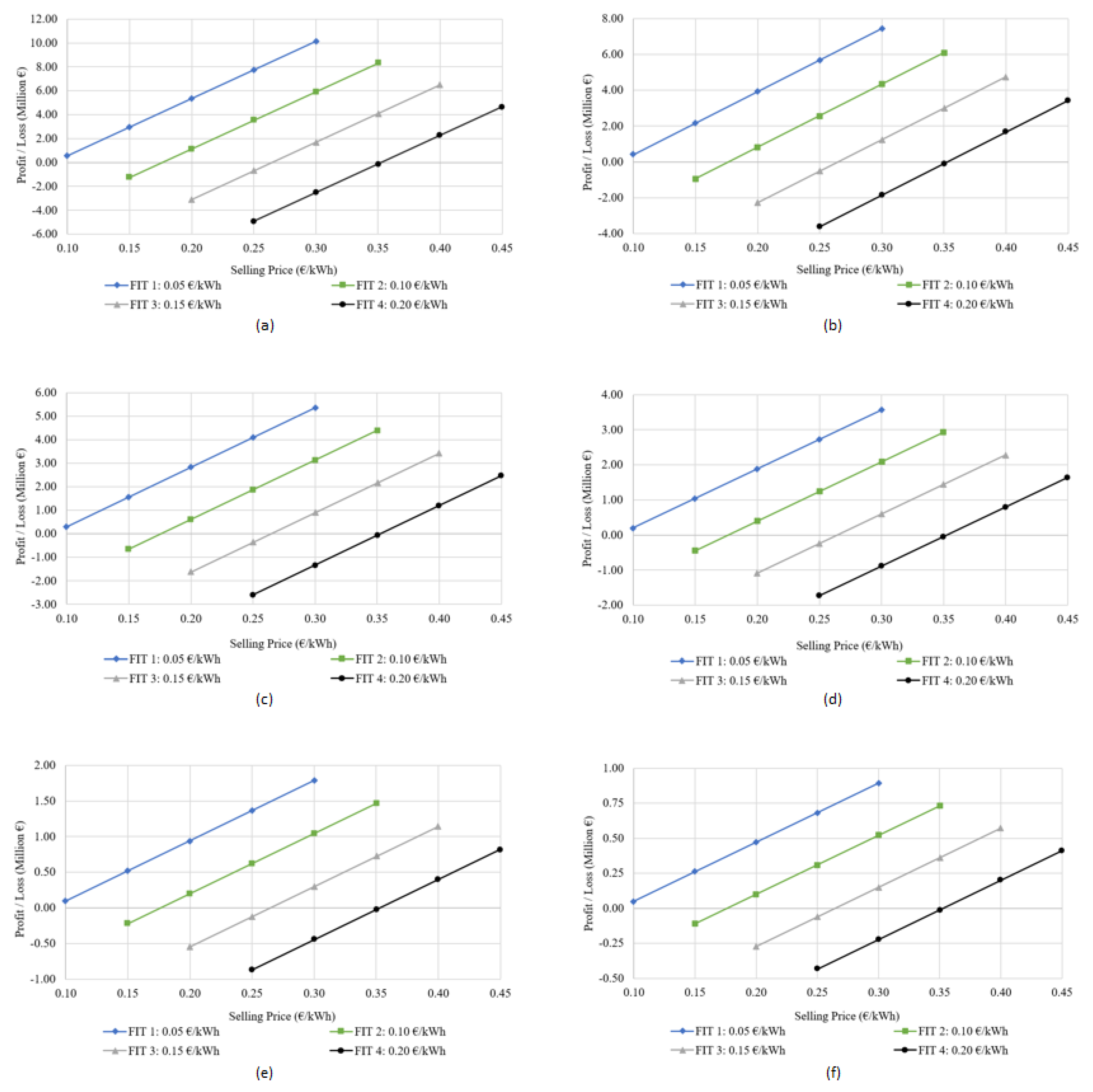
Power or energy arbitrage is the use of ESS to store energy during periods of low market process of electricity to be sold later on during periods of high demand and higher process. This is another potential revenue stream for Project FORTRESS. Energy from the co-located RES can be purchased when demand is low, stored and kept until energy prices rise. A parametric analysis for this revenue stream was performed. Table 33 presents the number of FBWs included in each study. The number of FBWs for power arbitrage is based on using the remainder of FBWs which have not been utilised for obtaining a specific percentage of power smoothing. The difference is calculated, with 1 FBW always being made available for the electrical services of berthing (later presented in Table 38). Table 34 presents the available energy storage capacity which can be utilised for power arbitrage. The parametric study involved considering different assumed FITs. It was assumed that the total energy storage capacity based on the amounts specified previously in Table 34 would be purchased by the various assumed FITs and sold at different mark-up prices. A trend could be drawn for each FIT and mark-up price, indicating where a profit or loss purely based on purchase and mark-up price was made while also including ESS inefficiencies.
Figure 11(a) to Figure 11(f) present the results obtained for the power arbitrage parametric analysis. The common trend across all results is that it is more profitable to buy electricity at a cheaper FIT since even when the price difference between purchasing and selling is identical, the losses made when purchasing power at a high FIT are greater in comparison. The average financial value was considered when performing the techno-economic feasibility assessments in the upcoming case studies.
Sales of Schedulable Electricity to Seafaring Vessels berthed in the Multi-Use Marine Park
Due to the addition of energy storage within the FBWs, the area within the multi-use marine park allocated for berthing would also provide electricity to seafaring vessels. As a result, in addition to the berthing revenue stream primarily explained in Section 3.2.4, there is the addition of selling electrical power to the boats and yachts which utilise berthing services. An electricity sale price of 0.27 €/kWh was assumed, taking into consideration the prices being charged by existing yacht marinas around the Maltese Islands [76]. When considering the daily electrical demands experienced at the Santa Barbara yacht marina in California (USA) [77], the daily electrical requirement was approximately 1.72 MWh. Due to the mentioned yacht marina having just a 5% difference in occupied sea area compared to Project FORTRESS’ berthing area, utilising 1 FBW (3.85 MWh) to support the electrical demands is sufficient. While 1 FBW offers 55% more than the average daily need quoted, the production influx of electric ships and the yacht size allowable at the berthing section of Project FORTRESS will increase the average electrical requirements per day. Table 35 presents the assumed revenue generated due to electrical services (rows 2 to 4). The difference between the conservative, medium and optimistic values is based on the percentage usage of boats which would utilise the electrical services, set at 20, 40 and 60% respectively. Table 35 also provides an overall update of the total revenue generated (rows 5 to 7) due to renting of berthing area (presented previously in Section 3.2.4) and electrical services combined.

3.3.2. Case Studies B1, B2 and B3

Case Studies B1 to B3 (presented in Table 8 in Section 2.3) considered the co-location of a floating solar PV system (two plants of 40 MWp each) sheltered by a FBW array deployed in an area having a sea depth of 200 metres, together with a FOWT pilot farm (30 MW). The deck area of the FBWs is also assumed to be covered by solar panels, providing an additional 27 MWp of power. The difference between the case studies is in the number of FBWs making up the FBW array, where Case Study B1 has 61 FBWs, Case Study B2 has 41 FBWs and Case Study B3 has 21 FBWs. Due to the addition of the ESS within the FBWs, the costings of the FBW are updated, and the inclusion of the ECU costs must also be added. Since the ECUs are being rated at 4.3 MW, each ECU accommodates the operation of multiple PCSs, and thus multiple FBWs. Table 36 provides a summary of the FBW costs, continuing from Table 7 in Sub-Section 2.3.2 and Table 29 in Section 3.2.5.
When carrying out the techno-economic feasibility assessment for the different case studies (B1, B2 and B3), the sheltered area of 61 FBWs to accommodate all the revenue streams is not the same sheltered area offered by 41 FBWs and 21 FBWs. Therefore, it was assumed that while the 61 and 41 FBWs will accommodate all revenue streams, with the latter generating less revenue but also having less costs due to less FBWs, the 21 FBWs could not accommodate the aquaculture stream and the renting of the two 40 MWp solar PV farms revenue stream due to spatial restrictions.
Table 37 presents the input parameters applied throughout the case study economic evaluations. The assumed inflation rate was also applied to the revenue streams, assuming that the revenue generated will also increase year on year for the same assumed sales. Meanwhile, Table 38 presents how the FBW array is split in terms of energy storage revenue stream generation. The FBW array was split based on maintaining as close to an even balance between power smoothing and power arbitrage as possible, and based on ensuring that each revenue stream associated with energy storage was profitable, thus referring to the results provided in Table 32 and Figure 11a to f in Sub-Section 3.3.1.
Table 39 presents the comparative results between the three case studies. At a sea depth of 200 metres, the results show that Project FORTRESS would not be economically feasible since the CAPEX, OPEX and DECEX costs of the investment made for the deployment of the FBWs outweigh the total revenue generated via the different revenue streams. The common trend observed is that when the number of FBWs in the array was decreased, although the revenue generated was also reduced, the loss in revenue generation was less than the reduction in costs due to having a lower number of FBWs. In order to obtain the conservative and optimistic loss values, the financial value presented in Table 39 as ‘medium’ was multiplied by a factor of 1.25 (conservative) and 0.75 (optimistic) respectively.
Figure 12, Figure 13 and Figure 14 present a breakdown of the portion each revenue stream takes up for 61 FBWs, 41 FBWs and 21 FBWs respectively. As the number of FBWs decreases, the revenue portion taken up by power smoothing increases, while the portion taken up by power arbitrage decreases. Additionally, the revenue generated via the berthing area rental increases, while the solar farm area rental revenue decreases as a percentage of total revenue generated. In the case of Case Study B3 (21 FBWs), two revenue streams are sacrificed due to the sheltered area decreasing in size. In fact, aquaculture is completely omitted and the two 40 MWp solar PV farms are assumed to be deployed as offshore PV systems susceptible to open seas rather than in sheltered waters.
The Influence of Sea Depth on the Techno-Economic Feasibility of the Multi-Use Marine Park
In order to understand the influence of sea depth on the financial results of Case Studies B1, B2 and B3, the study can be repeated with the sea depth in which the FBW arrays are deployed being changed to 50 metres. Since 58% of the FBW cost is related to the moorings alone (explained in Deliverable 26A), a shallower sea depth should result in significant savings in relation to the overall project. In order to simplify matters, the cost modelling of the individual RESs was maintained constant and was not re-analysed due to the change in sea depth. The FOWT Pilot Farm was assumed to remain at the same 200 metre sea depth, with only the FBWs, floating solar PV farm and other activities being relocated to a 50 metre depth. Table 40 presents an updated version of Table 36 previously shown in Sub-Section 3.3.2, indicating the new FBW CAPEX costs as a result of the shallower sea depth. Due to the shallower sea depth (from 200 to 50 metres), the FBW CAPEX cost decreases by 47%. Meanwhile, Table 41 presents the updated economic results for Case Studies B1, B2 and B3 deployed at a sea depth of 50 metres.

4. Conclusions

The main aim of this paper was to carry out a techno-economic feasibility assessment to evaluate the viability of a multi-use marine park involving the use of FBWs to support offshore wind and solar energy exploitation, as well as aquaculture and vessel berthing. The study was based on an offshore site in Maltese territorial waters which did not fall within environmentally protected areas. The assumed site has a sea depth of around 200 metres. The financial analysis compared the costs of floating solar PVs in open offshore and sheltered waters with those of onshore ground-based and rooftop systems. The study also considered the inclusion of FBWs to create the sheltered area in deep sea. It was found that the investment costs required for FBWs in deep waters are significant and are much larger than the expected cost savings gained by placing solar PVs in the resulting sheltered area in an open sea site offshore on a robust floating structure. The additional revenue streams from a FBW, including the addition of ESS, and the renting of sheltered marine space for aquaculture and vessel berthing, are still considered to be insufficient to cover the investment costs of the FBWs.
The following points however merit further consideration:
  • There exist opportunities for reducing the costs of the FBWs through more detailed engineering design that evaluates opportunities for reducing the mass of steel-reinforced concrete for each FBW.
  • The costs of mooring FBWs in waters of about 200-metre sea depth are found to be significant (58.9% of the total FBW CAPEX, presented in Table 7 in Sub-Section 2.3.2). Installing FBWs closer to shore would result in a substantial reduction in CAPEX. This would offer opportunities for protecting sensitive coastal sites from wave-induced erosion.
  • The presented feasibility study for the proposed FBWs was only based on direct revenue streams originating from the provision of energy storage services and on the rental of sheltered water spaces.
Other positive socio-economic impacts of the FORTRESS project have not been assessed. For example, the deployment of FBWs would lead to increased luxury yacht arrivals, safer beaches for the tourism sector and increased business opportunities for the local maritime sector. These spill over benefits on the economy of island states such as Malta should not be underestimated, and should provide enough justification for the long term co-investment by public bodies to render the Project FORTRESS concept viable.

5. Outlook

Future research should focus on the possibility of reducing the overall cost of the FBW design, with a specific focus on the mooring system implemented. Additionally, analysing the space efficiency of the sheltered water area created by the FBW array could also lead to smarter use of area for increased revenue generation. Quantification of the spill-over benefits mentioned in Section 4 can possibly lead to a much more favorable business case.

Author Contributions

Conceptualization, A.B., C.C., T.S., R.N.F., and D.B.; methodology, A.B., C.C., T.S., R.N.F., and D.B.; software, A.B. and C.C.; validation, A.B. and C.C.; formal analysis, A.B. and C.C.; investigation, A.B. and C.C.; resources, A.B., C.C., T.S., R.N.F., and D.B.; data curation, A.B. and C.C.; writing—original draft preparation, A.B. and C.C.; writing—review and editing, A.B., C.C., T.S., R.N.F., and D.B.; visualization, A.B. and C.C; supervision, T.S. and D.B.; project administration, T.S. and R.N.F.; funding acquisition, T.S. All authors have read and agreed to the published version of the manuscript.

Funding

This research is financed by The Energy and Water Agency under the Maltese National Strategy for Research and Innovation in Energy and Water, grant number EWA 63/22 (Project FORTRESS).

Acknowledgments

The Light Detection and Ranging (LiDAR) system was purchased through the European Regional Development Fund for the setting up of a Solar Laboratory (ERDF 335), part-financed by the European Union. The authors also acknowledge the help and support of Din L-Art Helwa – National Trust of Malta, for hosting the LiDAR wind measurement equipment at the Qalet Marku Tower, Baℏar iċ-Ċagℏaq, Malta.

Conflicts of Interest

Author Daniel Buhagiar was employed by the company FLASC B.V. The remaining authors declare no conflicts of interest. The funders had no role in the design of the study; in the collection, analyses, or interpretation of data; in the writing of the manuscript; or in the decision to publish the results.

Abbreviations

The following abbreviations are used in this manuscript:
BESS Battery Energy Storage System
CAPEX Capital Expenditure
DECEX Decommissioning Expenditure
ECU Energy Conversion Unit
ESS Energy Storage System
EWA Energy and Water Agency
FBW Floating Breakwater
FIT Feed-in Tarriff
FOWT Floating Offshore Wind Turbine
HPES Hydro-Pneumatic Energy Storage
IRR Internal Rate of Return
kW Kilowatt
LCOE Levelised Cost of Energy
LDES Long Duration Energy Storage
MA Moving Average
MW Megawatt
NPV Net Present Value
OPEX Operational Expenditure
PCS Pressure Containment System
PV Photovoltaic
RE Renewable Energy
RES Renewable Energy Storage
SAC Special Area of Conservation
SMA Simple Moving Average
SPA Special Protection Area
SPP Simple Payback Period
TRL Technology Readiness Level
WT Wind Turbine

References

  1. Burcharth, H. F. Innovative Engineering Solutions and Best Practices to Mitigate Coastal Risk. In Coastal Risk Management in a Changing Climate; Burcharth, H. F., Ed.; Elsevier: Sawston, United Kingdom, 2020; pp. 55–170. [Google Scholar]
  2. Eloka-Eboka, A. C.; Maroa, S.; Taiwo, A. E. Biobutanol from agricultural and municipal solid wastes, techno-economic, and lifecycle analysis. In Advances and Developments in Biobutanol Production; Segovia-Hernandez, J. G., Behera, S., Sanchez-Ramirez, E., Eds.; Elsevier: Sawston, United Kingdom, 2023; pp. 171–198. [Google Scholar]
  3. Gao, Q.; Bechlenberg, A.; Jayawardhana, B.; Ertugrul, N.; Vakis, A. I.; Ding, B. Techno-economic assessment of offshore wind and hybrid wind-wave farms with energy storage systems. Renew. Sust. Ener. Rev. 2024, 192, 114263. [Google Scholar] [CrossRef]
  4. Rönkkö, J.; Khosravi, A.; Syri, S. Techno-Economic Assessment of a Hybrid Offshore Wind-Wave Farm: Case Study in Norway. Energies 2023, 16, 4316. [Google Scholar] [CrossRef]
  5. Ohunakin, O. S.; Matthew, O. J.; Adaramola, M. S.; Atiba, O. E.; Adelekan, D. S.; Aluko, O. O.; Henry, E. U.; Ezekiel, V. U. Techno-economic assessment of offshore wind energy potential at selected sites in the Gulf of Guinea. Energy Convers. Manag. 2023, 288, 117110. [Google Scholar] [CrossRef]
  6. Rahimi, I.; Nikoo, M. R.; Gandomi, A. H. Techno-economic analysis for using hybrid wind and solar energies in Australia. Energy Strat. Rev. 2023, 47, 101092. [Google Scholar] [CrossRef]
  7. Energy Transition Outlook 2022. Available online: https://www.dnv.com/energy-transition-outlook/index.html (accessed on 15 March 2024).
  8. Energy Storage—Underpinning a decarbonised and secure EU energy system. Available online: https://energy.ec.europa.eu/publications/staff-working-document-energy-storage-underpinning-decarbonised-and-secure-eu-energy-system (accessed on 15 March 2024).
  9. Denholm, T. Timescales of Energy Storage Needed for Reducing Renewable Energy Curtailment. Ren. Ene. 2018, 130, 388–399. [Google Scholar] [CrossRef]
  10. Scroggins R., E.; Fry, J. P.; Brown, M. T.; Neff, R. A.; Asche, F.; Anderson J., L.; Love, D. C. Renewable energy in fisheries and aquaculture: Case studies from the United States. J. Clean. Prod. 2022, 376, 134153. [Google Scholar] [CrossRef]
  11. Lilas, T.; Antoniou, E.; Kotrikla, A.; Vatistas, A.; Dagkinis, I. Improving aquaculture environmental footprint utilizing offshore renewable energy. In Proceedings of the 16th International Conference on Environmental Science and Technology, Greece, 04 September 2019. [Google Scholar]
  12. Bocci, M.; Sangiuliano, S. J.; Sarretta, A.; Ansong, J. O.; Buchanan, B. Multi-use of the sea: A wide array of opportunities from site-specific cases across Europe. J. PLoS ONE 2019, 14, 1–36. [Google Scholar] [CrossRef]
  13. Dalton, G.; Bardocz, T.; Blanch, M.; Campbell, D.; Johnson, K. Feasibility of investment in Blue Growth multiple-use of space and multi-use platform projects; results of a novel assessment approach and case studies. Renew. Sustain. Energy Rev. 2019, 107, 338–359. [Google Scholar] [CrossRef]
  14. Srinivasan C. V., C.; Soori, P. K.; Ghaith, F. A. Techno-Economic Feasibility of the Use of Floating Solar PV Systems in Oil Platforms. Sustainability 2024, 16, 1039. [Google Scholar] [CrossRef]
  15. Elginoz, N.; Bas, B. Life Cycle Assessment of a multi-use offshore platform: Combining wind and wave energy production. Ocean Engineering 2017, 145, 430–443. [Google Scholar] [CrossRef]
  16. Abhinav, K. A. Offshore multi-purpose platforms for a Blue Growth: a technological, environmental and socio-economic review. J. of The Tot. Environ. 2020, 734, 138256. [Google Scholar] [CrossRef]
  17. Renewable energy storage - FLASC. Available online: https://www.offshoreenergystorage.com (accessed on 23 March 2024).
  18. Castro-Santos, L.; deCastro, M.; Costoya, X.; Filgueira-Vizoso, A.; Lamas-Galdo, I.; Ribeiro, A.; Dias, J. M.; Gomez-Gesteira, M. Economic Feasibility of Floating Offshore Wind Farms Considering Near Future Wind Resources: Case Study of Iberian Coast and Bay of Biscay. Int. J. Environ. Res. Public Health 2021, 18, 2553. [Google Scholar] [CrossRef]
  19. Diaz, H.; Soares, C. G. Cost and financial evaluation model for the design of floating offshore wind farms. Ocean Eng. 2023, 287, 115841. [Google Scholar] [CrossRef]
  20. National Renewable Energy Laboratory. 2020 Cost of Wind Energy Review; NREL: Jefferson County, Colorado, 2020; pp. 1–77. [Google Scholar]
  21. National Renewable Energy Laboratory. Floating Photovoltaic System Cost Benchmark: Q1 2021 Installations on Artificial Water Bodies; NREL: Jefferson County, Colorado, 2020; pp. 1–15. [Google Scholar]
  22. Dincer, I.; Abu-Rayash, A. Sustainability modeling. In Energy Sustainability; Dincer, I., Abu-Rayash, A., Eds.; Elsevier: Sawston, United Kingdom, 2020; pp. 119–164. [Google Scholar]
  23. Kamran, M. Microgrid and hybrid energy systems. In Fundamentals of Smart Grid Systems; Kamran, M., Ed.; Elsevier: Sawston, United Kingdom, 2020; pp. 299–363. [Google Scholar]
  24. Aquilina, M. Investigating the Impact of Wind Turbine Rotor Up-Scaling on the Viability of Floating Wind Farms. Masters’s Thesis, University of Malta, Malta, 2014. [Google Scholar]
  25. Google Earth. Available online: https://earth.google.com/web/ (accessed on 15 April 2024).
  26. Borg, A.; Sant, T.; Buhagiar, D.; Farrugia, R. N.; Micallef, C. A Numerical Model Comparison of the Energy Conversion Process for an Offshore Hydro-Pneumatic Energy Storage System. Appl. Sci. 2023, 13, 7189. [Google Scholar] [CrossRef]
  27. Cutajar, C.; Sant, T.; Farrugia, R. N.; Buhagiar, D. Analysis of the Wave Attenuating and Dynamic Behaviour of a Floating Breakwater Integrating a Hydro-Pneumatic Energy Storage System. J. Mar. Sci. Eng. 2023, 11, 2189. [Google Scholar] [CrossRef]
  28. Wind Online Tools. Available online: https://www.3tier.com/en/support/wind-online-tools/ (accessed on 23 March 2024).
  29. Farrugia, R. N.; Sant, T. A wind resource assessment at Ahrax point: A node for central Mediterranean offshore wind resource evaluation. Wind Eng. 2016, 40, 438–446. [Google Scholar] [CrossRef]
  30. Bortolotti, P.; et al. IEA Wind TCP Task 37 Systems Engineering in Wind Energy-WP2.1 Reference Wind Turbines Technical Report; Bortolotti, P., Ed.; Jefferson County: Colorado, 2019; pp. 1–138. [Google Scholar]
  31. Wang, Z.; Carriveau, R.; Ting, D. S.-K.; Xiong, W.; Wang, Z. A review of marine renewable energy storage. Int. J. Energy Res. 2019, 43, 6108–6150. [Google Scholar] [CrossRef]
  32. Archer, C. L. Review and evaluation of wake loss models for wind energy applications. Appl. Energy 2018, 226, 1187–1207. [Google Scholar] [CrossRef]
  33. Conroy, N.; Deane, J. P.; Gallachoir, B. P. Wind Turbine availability: Should it be time or energy based? - A case study in Ireland. Renew. Energy 2011, 36, 2967–2971. [Google Scholar] [CrossRef]
  34. Constanzo, G.; Brindley, G.; Cole, P. Wind energy in Europe; O’Sullivan, R., Ed.; Brussels, Belgium, 2023; pp. 1–58. [Google Scholar]
  35. SunPower Maxeon Solar Panels. Available online: https://sunpower.maxeon.com/int/solar-panel-products/maxeon-solar-panels (accessed on 28 March 2024).
  36. Enevoldsen, P.; Jacobson, M. Z. Data investigation of installed and output power densities of onshore and offshore wind turbines worldwide. Energy Sustain. Dev. 2021, 60, 40–51. [Google Scholar] [CrossRef]
  37. Bulder, B. H.; Bedon, G.; Bot, E. T. G. Optimal wind farm power density analysis for future offshore wind farms; TNO: Petten, The Netherlands, 2018; pp. 1–35. [Google Scholar]
  38. Silalahi, D. F.; Blakers, A. Global Atlas of Marine Floating Solar PV Potential. solar 2023, 3, 416–433. [Google Scholar] [CrossRef]
  39. Trapani, K.; Millar, D. L.; Smith, H. C. M. Novel offshore application of photovoltaics in comparison to conventional marine renewable energy technologies. Renew. Energy 2013, 50, 879–888. [Google Scholar] [CrossRef]
  40. BVGassociates. Guide to an offshore wind farm; BVGassociates: Swindon, United Kingdom, 2018; pp. 1–128. [Google Scholar]
  41. Nieradzinska, K.; MacIver, C.; Gill, S.; Agnew, G. A.; Anaya-Lara, O.; Bell, K. R. W. Optioneering analysis for connecting Dogger Bank offshore wind farms to the GB electricity network. Renew. Energy 2016, 91, 120–129. [Google Scholar] [CrossRef]
  42. Baptista, J.; Vargas, P.; Ferreira, J. R. A techno-economic analysis of floating photovoltaic systems, for Southern European countries. Renew. Energy Power Qual. J. 2021, 19, 57–62. [Google Scholar] [CrossRef]
  43. Staffell, I.; Green, R. How does wind farm performance decline with age? Renew. Energy 2014, 66, 775–786. [Google Scholar] [CrossRef]
  44. Zhao, W.; Han, Y.; Niu, D. Analysis of economic benefit of wind power based on system dynamics. In Proceedings of the Advances in Materials, Machinery, Electronics (AMME 2018), Bali, Indonesia, 26 September 2018. [Google Scholar]
  45. Alsheghri, A.; Sharief, S. A.; Rabbani, S.; Aitzhan, N. Z. Design and Cost Analysis of a Solar Photovoltaic Powered Reverse Osmosis Plant for Masdar Institute. Energy Procedia 2015, 75, 319–324. [Google Scholar] [CrossRef]
  46. Office of the Prime Minister (Government of Malta, Malta) Malta’s National Energy Efficiency Action Plan, 2017.
  47. Rebe, M. G.; Stagno, L. M.; Yousif, C. Optimising Photovoltaic Power Generation and Useable Area By Varying the Solar Module Tilt. 2013, 4102-4108.
  48. Invernizzi, D. C.; Locatelli, G.; Velenturf, A.; Love, P. E.; Purnell, P.; Brookes, N. J. Developing policies for the end-of-life of energy infrastructure: Coming to terms with the challenges of decommissioning. Energy Policy 2020, 144, 111677. [Google Scholar] [CrossRef]
  49. Fraunhofer ISE (Fraunhofer ISE, Freiburg, Germany) Current and Future Cost of Photovoltaics, 2015.
  50. Faruqui, M. F. I.; Jawad, A.; Al Masood, N. Techno-economic assessment of power generation potential from floating solar photovoltaic systems in Bangladesh. Heliyon 2023, 9. [Google Scholar] [CrossRef]
  51. Islam, M. I. et al. Techno-Economic and Carbon Emission Assessment of a Large-Scale Floating Solar PV System for Sustainable Energy Generation in Support of Malaysia’s Renewable Energy Roadmap. Energies 2023, 144, 4034. [Google Scholar] [CrossRef]
  52. Ghigo, A.; Faraggiana, E.; Sirigu, M.; Mattiazzo, G.; Bracco, G. Design and Analysis of a Floating Photovoltaic System for Offshore Installation: The Case Study of Lampedusa. Energies 2022, 15, 8804. [Google Scholar] [CrossRef]
  53. Land Plot for rent - Attard. Available online: https://www.propertymarket.com.mt/view/land-to-rent-attard-4122532301898864109/ (accessed on 17 October 2023).
  54. Land Plot for rent - Marsa. Available online: https://www.indomio.com.mt/7643547?position=8%0A (accessed on 17 October 2023).
  55. Land Plot for rent - Marsa. Available online: https://www.indomio.com.mt/9086496?position=9 (accessed on 17 October 2023).
  56. Land Plot for rent - Attard. Available online: https://www.indomio.com.mt/14656685?position=6%0A (accessed on 17 October 2023).
  57. Land plots in Erice. Available online: https://www.idealista.it/en/immobile/23098412/ (accessed on 17 October 2023).
  58. Land plots in Cinisi. Available online: https://www.idealista.it/en/immobile/27367665/ (accessed on 17 October 2023).
  59. Land plots in Mascalucia. Available online: https://www.idealista.it/en/immobile/27367665/ (accessed on 17 October 2023).
  60. Land plots in Monreale. Available online: https://www.idealista.it/en/immobile/23098412/ (accessed on 17 October 2023).
  61. Land plot for rent in camino Cortijo Los Arias. Available online: https://www.idealista.com/en/inmueble/98617836/ (accessed on 17 October 2023).
  62. Land plot for rent in camino de casabermeja. Available online: https://www.idealista.com/en/inmueble/100409169/ (accessed on 17 October 2023).
  63. Land plot for rent in camino de las Carmelitas. Available online: https://www.idealista.com/en/inmueble/34786165/ (accessed on 17 October 2023).
  64. Land plot for rent in calle Campanillas. Available online: https://www.idealista.com/en/inmueble/95312351/ (accessed on 17 October 2023).
  65. Land property for rent - Nea Alikarnassos, Karteros. Available online: https://www.spiti24.gr/en/97282925?position=27 (accessed on 17 October 2023).
  66. Land Plot for rent - Souda, Center. Available online: https://www.spiti24.gr/en/94221175?position=13 (accessed on 17 October 2023).
  67. Land Plot for rent - Heraclion Cretes, Giofirakia. Available online: https://www.spiti24.gr/en/97412383?position=10photo2%0A (accessed on 17 October 2023).
  68. Land Plot for rent - Heraclion Cretes, Silamos. Available online: https://www.spiti24.gr/en/99854320?position=7 (accessed on 17 October 2023).
  69. Yacht Marina. Available online: https://excelsior.com.mt/leisure/yacht-marina (accessed on 30 March 2024).
  70. Berthing Tariffs. Available online: https://marinadivalletta.com/wp-content/uploads/2019/04/Marina-Di-Valletta-Berthing-Tariffs-1.pdf (accessed on 30 March 2024).
  71. Universal Berth Parameters. Available online: https://www.aramco.com/-/media/downloads/working-with-us/ports-and-terminals-2020/10-universal-berths-parameters.pdf (accessed on 13 April 2024).
  72. Maltese Parliament (Government of Malta, Malta) Development of Yachting Facilities in Malta, 2009.
  73. Wang, C. Moving offshore for fish farming. J. Aquac. Mar. Biol. 2019, 8, 38–39. [Google Scholar] [CrossRef]
  74. Holmer, M. Expanding mariculture farther offshore – Technical, environmental, spatial and governance challenges. In Sustainable development of marine aquaculture off-the-coast and offshore - a review of environmental and ecosystem issues and future needs in temperate zone; Lovatelli, A., Aguilar-Manjarrez, J., Soto, D., Eds.; Food and Agriculture Organization of the United Nations: Rome, Italy, 2013; pp. 135–172. [Google Scholar]
  75. Borg, A.; Cutajar, C.; Sant, T.; Farrugia, R. N. Statistical analysis for evaluating the energy storage requirements of offshore wind and solar plants in the Mediterranean Sea. In Proceedings of the 7th Offshore Energy & Storage Symposium (OSES 2023), St. Julians, Malta, 12 07 2023. [Google Scholar]
  76. Superyacht Berthing. Available online: https://marinadivalletta.com/berthing/superyacht-berthing/ (accessed on 13 April 2024).
  77. Riedman, S. (City of Santa Barbara Waterfront Department, California, USA) City of Santa Barbara Waterfront Department Memorandum, 2019.
Figure 2. The selected site for Project FORTRESS, on the west side of the main island of Malta [25].
Figure 2. The selected site for Project FORTRESS, on the west side of the main island of Malta [25].
Preprints 104682 g002
Figure 3. Image reproduced from [27]. A front view of the FBW with the integrated HPES system.
Figure 3. Image reproduced from [27]. A front view of the FBW with the integrated HPES system.
Preprints 104682 g003
Figure 4. Revenue streams (RSs) considered for Parts A and B of the techno-economic assessment.
Figure 4. Revenue streams (RSs) considered for Parts A and B of the techno-economic assessment.
Preprints 104682 g004
Figure 5. The relationship between IRR and Land Rental Price for different FITs.
Figure 5. The relationship between IRR and Land Rental Price for different FITs.
Preprints 104682 g005
Figure 6. A schematic of the Project FORTRESS setup, highlighting two berthing sections (purple and orange), an aquaculture area (peach) and the 80 MWp solar PV farm all being sheltered by the FBW array.
Figure 6. A schematic of the Project FORTRESS setup, highlighting two berthing sections (purple and orange), an aquaculture area (peach) and the 80 MWp solar PV farm all being sheltered by the FBW array.
Preprints 104682 g006
Figure 7. A zoomed in image of the FOWT pilot farm (3 × 10 MW WTs).
Figure 7. A zoomed in image of the FOWT pilot farm (3 × 10 MW WTs).
Preprints 104682 g007
Figure 8. A zoomed in, plan view of the FBW array.
Figure 8. A zoomed in, plan view of the FBW array.
Preprints 104682 g008
Figure 10. A flowchart of the revenue generation process for the Power Smoothing revenue stream.
Figure 10. A flowchart of the revenue generation process for the Power Smoothing revenue stream.
Preprints 104682 g010
Figure 11. The profit and loss parametric analysis based on using (a) 34 FBWs, (b) 25 FBWs, (c) 18 FBWs, (d) 12 FBWs, (e) 6 FBWs, (f) 3 FBWs, for Power Arbitrage.
Figure 11. The profit and loss parametric analysis based on using (a) 34 FBWs, (b) 25 FBWs, (c) 18 FBWs, (d) 12 FBWs, (e) 6 FBWs, (f) 3 FBWs, for Power Arbitrage.
Preprints 104682 g011
Figure 12. The percentage contribution of each revenue stream for Case Study B1.
Figure 12. The percentage contribution of each revenue stream for Case Study B1.
Preprints 104682 g012
Figure 13. The percentage contribution of each revenue stream for Case Study B2.
Figure 13. The percentage contribution of each revenue stream for Case Study B2.
Preprints 104682 g013
Figure 14. The percentage contribution of each revenue stream for Case Study B3.
Figure 14. The percentage contribution of each revenue stream for Case Study B3.
Preprints 104682 g014
Table 1. Main ESS parameters kept constant throughout the study.
Table 1. Main ESS parameters kept constant throughout the study.
ESS Parameter Value
Pump Rated Power ( P H p ) 4.30 MW
Pump Average Hydraulic Efficiency ( η p u m p ) 70%
Pelton Turbine Rated Power ( P H t ) 5.00 MW
Pelton Turbine Average Efficiency ( η P e l t o n ) 85%
PCS Pre-charge (Minimum) Pressure 80 bar
PCS Maximum Pressure (Pressure Limit) 200 bar
ESS Capacity (per BW) 3.85 MWh
Table 2. Main parameters of the FOWT Pilot Farm.
Table 2. Main parameters of the FOWT Pilot Farm.
FOWT Pilot Farm Parameters Value Reference
Wind Turbine Rating 10 MW [30]
Number of WTs 3 -
WT Annual Energy Yield 35.90 GWh -
WT Farm Annual Gross Energy Yield 107.70 GWh -
Assumed Wake Losses 10% [32]
Assumed Farm Availability 97% [33]
Net Capacity Factor 33% [34]
Table 3. Main parameters of the solar PV Farm.
Table 3. Main parameters of the solar PV Farm.
Solar PV Farm Parameters Value Reference
Solar Panel Nominal Power 400 W
Solar Panel Area 2 m2 [35]
Solar Farm Rating 40 MWp
Annual Energy Yield 68 GWh -
Table 4. The individual and combined spatial requirements of the RES analysed in the paper.
Table 4. The individual and combined spatial requirements of the RES analysed in the paper.
Spatial Requirement Value Reference
FOWT Pilot Farm (MW/km2)
Optimistic 7.20 [36]
Conservative 4.66 [37]
Medium 5.93 -
Solar PV Farm (MW/km2)
Optimistic 200 [38]
Conservative 80 [39]
Medium 140 -
Total Spatial Requirements (km2)
(Based on a 10 MW FOWT farm and a 40 MWp floating solar PV farm)
Optimistic 4.37 -
Conservative 6.94 -
Medium 5.66 -
Table 5. Overall properties and parameters of the FBW [27].
Table 5. Overall properties and parameters of the FBW [27].
FBW Parameter Value
Geometric parameters
Length of floater (m) 150
Height of floater (m) 11.90
Width of floater (m) 18
Water plane area (m2) 2,700
Mass of concrete (t) 17,120
Total mass (t) 21,220
Longitudinal metacentric height (m) 3.59
Transverse metacentric height (m) 244.57
PCS parameters
Total ESS Capacity (MWh) 3.85
Total volumetric capacity of the PCS (m3) 1,901
Number of cylinders (-) 8
Length of cylinders (m) 150
Outer diameter (m) 1.524
Mooring parameters
Mooring Configuration (-) Catenary
Steel grade (-) R4
Nominal chain diameter (m) 0.171
Unstretched cable length for corner lines (m) 1419.11
Unstretched cable length for middle lines (m) 1231.08
Table 6. Estimated cost breakdown of the total hardware-attributable cost.
Table 6. Estimated cost breakdown of the total hardware-attributable cost.
System Cost (€) Percentage (%)
FBW 3,953,898 13.6
HPES System 3,274,197 11.2
Moorings 17,140,603 58.9
Anchors 4,737,600 16.3
Total Hardware-attributable costs 29,106,298
Table 7. CAPEX breakdown for one FBW integrating HPES.
Table 7. CAPEX breakdown for one FBW integrating HPES.
Type of Cost Cost (€) Percentage (%)
Total Hardware-attributable Costs 29,106,298 92.0
Total Transportation and Installation (T&I) Costs 2,377,039 7.50
Total Insurance Costs 139,815 0.50
Total CAPEX 31,623,152
Table 9. The different Revenue Streams (RSs) considered.
Table 9. The different Revenue Streams (RSs) considered.
Revenue Stream (RS) Type Description
RS1 Lease of marine space Yacht Berthing Services
RS2 Lease of marine space Aquaculture Farms
RS3 Lease of marine space Solar PV Farms
RS4 Energy Storage Power Smoothing
RS5 Energy Storage Power Arbitrage
RS6 Energy Storage Berthing Electrical Supply
Table 11. The FOWT Pilot Farm LCOE, IRR and SPP Analysis Input parameters.
Table 11. The FOWT Pilot Farm LCOE, IRR and SPP Analysis Input parameters.
Economic Analysis Inputs Value (%) Reference
Interest Rate 7.50 [19,20]
Inflation Rate 2.50 [42]
Discount Rate 4.88 -
Table 12. The FOWT Pilot Farm LCOE, IRR and SPP Analysis Output parameters.
Table 12. The FOWT Pilot Farm LCOE, IRR and SPP Analysis Output parameters.
Economic Analysis Outputs Value
LCOE (€c/kWh) 13.8
FIT (€c/kWh) 17.7
IRR (%) 8.0
SPP (years) 9.88
Profit (€M) 207
Table 13. Main cost parameters of the Land-based and Rooftop PV plants (related to Case Studies A1 and A2).
Table 13. Main cost parameters of the Land-based and Rooftop PV plants (related to Case Studies A1 and A2).
Cost Parameters Land-based PV Value Rooftop PV Value Reference
CAPEX (€/kW) 754 1609 [45,46]
Land Lease (€/m2/year) 16 6 Discussed in SubSection 3.2.3 [47]
OPEX (€/kW/year) 14 26 [46]
DECEX (€/kW) 30 30 [48]
Table 14. The Onshore Solar PV Plant (40 MWp) LCOE, IRR and SPP Analysis Input parameters.
Table 14. The Onshore Solar PV Plant (40 MWp) LCOE, IRR and SPP Analysis Input parameters.
Economic Analysis Inputs Value (%) Reference
Interest Rate (%) 5.00 [20]
Inflation Rate (%) 2.50 [42]
Discount Rate (%) 2.44 -
Annual Energy Produced (GWh) 61.30 -
Table 15. The Onshore Solar PV Plant (40 MWp) LCOE, IRR and SPP Analysis Output parameters.
Table 15. The Onshore Solar PV Plant (40 MWp) LCOE, IRR and SPP Analysis Output parameters.
Economic Analysis Outputs Land-based Rooftop PV
LCOE (€c/kWh) 13.90 7.93
FIT (€c/kWh) 23.80 12.70
IRR (%) 8.0 8.0
SPP (years) 9.93 8.86
Profit (€M) 204 98
Table 16. The economic results for Case Studies A1 (Land-based PV) and A2 (Rooftop PV).
Table 16. The economic results for Case Studies A1 (Land-based PV) and A2 (Rooftop PV).
Economic Analysis Outputs Land-based Rooftop PV
LCOE (€c/kWh) 13.80 10.90
SPP (years) 9.87 9.51
Profit (€M) 406 300
Table 17. Main cost parameters of the Floating PV plants in calm and open waters (related to Case Studies A3 and A4).
Table 17. Main cost parameters of the Floating PV plants in calm and open waters (related to Case Studies A3 and A4).
Cost Parameters FPV in Calm Waters Value FPV in Open Waters Value Reference
CAPEX (€/kWp) 693 2047 [51,52]
Replacement Costs (€/kWp) 109 109 [51]
OPEX (€/kWp/year) 29 30 [51,52]
DECEX (€/kWp) 42 42 [51,52]
Table 18. The Offshore Solar PV Plant (40 MWp) LCOE, IRR and SPP Analysis Input parameters.
Table 18. The Offshore Solar PV Plant (40 MWp) LCOE, IRR and SPP Analysis Input parameters.
Economic Analysis Inputs Value (%) Reference
Interest Rate (%) 8.00 [47]
Inflation Rate (%) 2.50 [20]
Discount Rate (%) 5.37 -
Annual Energy Produced (GWh) 68.0 -
Table 19. The Offshore Solar PV Plant (40 MWp) LCOE, IRR and SPP Analysis Output parameters.
Table 19. The Offshore Solar PV Plant (40 MWp) LCOE, IRR and SPP Analysis Output parameters.
Economic Analysis Outputs Calm Waters Open Seas
LCOE (€c/kWh) 8.00 12.00
FIT (€c/kWh) 9.70 14.90
IRR (%) 8.0 8.0
SPP (years) 8.14 8.86
Profit (€M) 77 130
Table 20. The economic results for Case Studies A3 (Calm Waters) and A4 (Open Seas).
Table 20. The economic results for Case Studies A3 (Calm Waters) and A4 (Open Seas).
Economic Analysis Outputs Calm Waters Open Seas
LCOE (€c/kWh) 11.40 13.00
SPP (years) 9.31 9.43
Profit (€M) 279 332
Table 21. The average rental price per year for different coastal regions in the Mediterranean Sea.
Table 21. The average rental price per year for different coastal regions in the Mediterranean Sea.
Region Value (€/m2/year) Population Density (pax/km2) Reference
Malta 16.0 1,649 [53,54,55,56]
Sicily 1.10 190 [57,58,59,60]
Spain 1.16 94 [61,62,63,64]
Crete 1.70 75 [65,66,67,68]
Table 22. A summary of the yacht berthing pricing and setup.
Table 22. A summary of the yacht berthing pricing and setup.
Berth Size Price per Day (€) Number of Berths Area (m2)
16 to 18 metres 38 568 115,000
18 to 20 metres 42
Up to 35 metres 55 26 110,000
Up to 50 metres 180
Table 23. The financial results related to the Yacht Berthing revenue stream financial analysis.
Table 23. The financial results related to the Yacht Berthing revenue stream financial analysis.
Main Financial Results Value
Revenue per day (assumed) € 27,075
Revenue for 5 months of non-stop operation (assumed) € 4,142,475
Revenue assuming 5 months (Berthing facility owner) (20% usage) € 828,495
Revenue assuming 5 months (Berthing facility owner) (40% usage) € 1,656,990
Revenue assuming 5 months (Berthing facility owner) (60% usage) € 2,485,485
Revenue to Project FORTRESS (FBWs owners) (10%) € 165,699
Revenue to Project FORTRESS (FBWs owners) (17%) € 281,688
Revenue to Project FORTRESS (FBWs owners) (25%) €414,248
Price of Area (10%) 0.74 €/m2
Price of Area (17%) 1.25 €/m2
Price of Area (25%) 1.84 €/m2
Table 24. A summary of the sizing of one fish farm.
Table 24. A summary of the sizing of one fish farm.
Parameter Amount Area Required (m2)
Number of 50 metre diameter cages 4 7,850
Number of 60 metre diameter cages 2 5,655
Table 25. The financial results related to the Aquaculture revenue stream financial analysis.
Table 25. The financial results related to the Aquaculture revenue stream financial analysis.
Main Financial Results Value
Price of Area (10%) 0.74 €/m2
Price of Area (17%) 1.25 €/m2
Price of Area (25%) 1.84 €/m2
Revenue to Project FORTRESS (FBWs owners) (10%) € 99,686
Revenue to Project FORTRESS (FBWs owners) (17%) € 169,466
Revenue to Project FORTRESS (FBWs owners) (25%) € 249,214
Table 26. The FOWT Pilot Farm LCOE, IRR and SPP Analysis Output parameters.
Table 26. The FOWT Pilot Farm LCOE, IRR and SPP Analysis Output parameters.
Economic Analysis Outputs Value
LCOE (€c/kWh) 11.3
FIT (€c/kWh) 13.6
IRR (%) 8.0
SPP (years) 7.75
Profit (€M) 102
Table 27. A summary of the area required to accommodate the solar PV plants
Table 27. A summary of the area required to accommodate the solar PV plants
Solar PVs Power Rating (MWp) Number of Plants Area Required (m2)
In sheltered waters 40 2 536,487
On FBWs 27 1 120,780
Table 28. The financial results related to the Renting of Solar PV area revenue stream financial analysis.
Table 28. The financial results related to the Renting of Solar PV area revenue stream financial analysis.
Solar PVs Area price for PVs in sheltered seas (€/m2) Area price for PVs on FBWs (€/m2) Total Revenue (€)
Conservative 0.74 1.48 576,000
Medium 1.25 2.50 977,000
Optimistic 1.84 3.68 1,437,000
Table 29. The main cost parameters of the FBW structure.
Table 29. The main cost parameters of the FBW structure.
FBW Costs Value
Number of FBWs 61
FBW CAPEX (No HPES) € 27.5 million
FBW OPEX 3% of FBW CAPEX
FBW DECEX 3% of FBW CAPEX
Total Cost € 1.68 billion
Table 30. The economic results for Case Study A5.
Table 30. The economic results for Case Study A5.
Economic Analysis Outputs A5
LCOE (€c/kWh) 47.34
SPP (years) 419 years
Profit (€) - 1.41 billion
Table 31. A summary of the number of FBWs based on Power Smoothing Availability.
Table 31. A summary of the number of FBWs based on Power Smoothing Availability.
Number of FBWs for Power Smoothing
Power Smoothing Availability 61 Power Smoothing Availability 41 Power Smoothing Availability 21
65% 26 55% 22 30% 15
80% 35 70% 28 40% 18
95% 60 85% 40 50% 20
Table 32. The financial results related to the Power Smoothing revenue stream analysis.
Table 32. The financial results related to the Power Smoothing revenue stream analysis.
Number of FBWs Mark-up Selling Price (€c/kWh) Profit (based on difference in selling and
purchase price)(M€)
Power Smoothing Availability 65% 80% 95%
61 Conservative 28 2.98 3.66 4.35
Medium 31 4.30 5.29 6.28
Optimistic 34 5.63 6.92 8.22
Power Smoothing Availability 55% 70% 85%
41 Conservative 28 2.51 3.20 3.88
Medium 31 3.63 4.63 5.62
Optimistic 34 4.76 6.05 7.35
Power Smoothing Availability 30% 40% 50%
21 Conservative 28 1.37 1.83 2.28
Medium 31 1.98 2.64 3.30
Optimistic 34 2.59 3.46 4.32
Table 33. A summary of the number of FBWs for Power Arbitrage based on Power Smoothing Availability.
Table 33. A summary of the number of FBWs for Power Arbitrage based on Power Smoothing Availability.
Number of FBWs for Power Arbitrage
Power Smoothing Availability 61 Power Smoothing Availability 41 Power Smoothing Availability 21
65% 34 55% 18 30% 6
80% 25 70% 12 40% 3
95% 0 85% 0 50% 0
Table 34. A summary of the Energy Storage Capacity for Power Arbitrage based on Power Smoothing Availability.
Table 34. A summary of the Energy Storage Capacity for Power Arbitrage based on Power Smoothing Availability.
Energy Storage Capacity Available for Power Arbitrage (MWh)
Power Smoothing Availability 61 Power Smoothing Availability 41 Power Smoothing Availability 21
65% 131 55% 69 30% 23
80% 96 70% 46 40% 12
95% 0 85% 0 50% 0
Table 35. The updated financial results related to the Yacht Berthing revenue stream financial analysis.
Table 35. The updated financial results related to the Yacht Berthing revenue stream financial analysis.
Main Financial Results Value
Assumed Electrical Needs per Year (MWh) 1500
Revenue from Electrical Services (Conservative) € 303,750
Revenue from Electrical Services (Medium) € 405,000
Revenue from Electrical Services (Optimistic) € 506,250
Revenue to Project FORTRESS (Conservative) € 470,000
Revenue to Project FORTRESS (Medium) € 687,000
Revenue to Project FORTRESS (Optimistic) € 921,000
Table 36. The main cost parameters of the FBW structure as a function of number of FBWs.
Table 36. The main cost parameters of the FBW structure as a function of number of FBWs.
Parameter Value
Number of FBWs 61 41 21
Number of ECUs 7 5 3
Cost of ECU (€) 5,500,000
FBW CAPEX (€) 31,623,152
FBW OPEX (€) 3% of FBW CAPEX
FBW DECEX (€) 3% of FBW CAPEX
Total Cost (Billion €) 2.09 1.42 0.74
Table 37. The LCOE, IRR and SPP Analysis Input parameters for Case Studies B1, B2 and B3.
Table 37. The LCOE, IRR and SPP Analysis Input parameters for Case Studies B1, B2 and B3.
Economic Analysis Inputs Value (%) Reference
Interest Rate (%) 7.50 [47]
Inflation Rate (%) 2.50 [20]
Discount Rate (%) 4.88 -
Table 38. The setup of the FBW array for Case Studies B1, B2 and B3.
Table 38. The setup of the FBW array for Case Studies B1, B2 and B3.
Number of FBWs
Parameter B1 B2 B3
Berthing Electrical Supply 1 1 0
Power Smoothing 26 22 15
Power Arbitrage 34 18 6
Table 39. The economic results for Case Studies B1, B2 and B3.
Table 39. The economic results for Case Studies B1, B2 and B3.
Economic Analysis Outputs B1 B2 B3
LCOE (€c/kWh) 72.45 49.78 26.59
Profit/Loss (Billion €) - Conservative -2.42 -1.63 -0.90
Profit/Loss (Billion €) - Medium -1.94 -1.30 -0.72
Profit/Loss (Billion €) - Optimistic -1.45 -0.98 -0.54
Table 40. The main cost parameters of the FBW structure at a sea depth of 50 metres.
Table 40. The main cost parameters of the FBW structure at a sea depth of 50 metres.
Parameter Value
Number of FBWs 61 41 21
Number of ECUs 7 5 3
Cost of ECU (€) 5,500,000
Cost of PCS (€) 2,647,197
FBW CAPEX (€) 27,586,954
FBW OPEX (€) 3% of FBW CAPEX
FBW DECEX (€) 3% of FBW CAPEX
Total Cost (Billion €) 2.09 1.42 0.74
Table 41. The economic results for Case Studies B1, B2 and B3 at a sea depth of 50 metres.
Table 41. The economic results for Case Studies B1, B2 and B3 at a sea depth of 50 metres.
Economic Analysis Outputs B1 B2 B3
LCOE (€c/kWh) 72.45 49.78 26.59
Profit/Loss (Billion €) - Conservative -2.42 -1.63 -0.90
Profit/Loss (Billion €) - Medium -1.94 -1.30 -0.72
Profit/Loss (Billion €) - Optimistic -1.45 -0.98 -0.54
Disclaimer/Publisher’s Note: The statements, opinions and data contained in all publications are solely those of the individual author(s) and contributor(s) and not of MDPI and/or the editor(s). MDPI and/or the editor(s) disclaim responsibility for any injury to people or property resulting from any ideas, methods, instructions or products referred to in the content.
Copyright: This open access article is published under a Creative Commons CC BY 4.0 license, which permit the free download, distribution, and reuse, provided that the author and preprint are cited in any reuse.
Prerpints.org logo

Preprints.org is a free preprint server supported by MDPI in Basel, Switzerland.

Subscribe

Disclaimer

Terms of Use

Privacy Policy

Privacy Settings

© 2026 MDPI (Basel, Switzerland) unless otherwise stated