Preprint
Article

This version is not peer-reviewed.

The Key Sustainable Strategies Criteria for Effective Human Resource Management Practices

A peer-reviewed article of this preprint also exists.

Submitted:

23 April 2024

Posted:

24 April 2024

You are already at the latest version

Abstract
The management of an organization's human resources is the first stage in the governance process for any operation. This present study examine the strategies employed in Saudi Arabia for establishing effective governance through the implementation of human resource management practices and the key sustainable strategies criteria for effective human resource management practices. This step is considered crucial in governance as it involves the selection of highly qualified individuals who are expected to contribute to the achievement of optimal governance outcomes and the overall well-being of the population within a nation as well as the key criteria involves. Qualitative research methodology as well as Decision making trial and evaluation laboratory (DEMATEL) were utilized with a sample of 31 participants from 8 government ministries and 14 companies in Saudi Arabia. The study's findings from qualitative interview exert four key criteria influencing sustainable effective human resources management practices. Cultural reflection" is the most important long-term goals of Saudi Arabia's HRM initiatives found from DEMATEL evaluation impacting three criteria with7.9181, 8.2294, 8.1961 above the threshold value of 7.783599781. This means that HR professionals should take the time to study and evaluate the cultural dynamics at work, in order to promote cultural introspection and understanding of cultural differences.
Keywords: 
;  ;  ;  ;  

1. Introduction

The role of human resource management (HRM) has undergone a transformation in the contemporary worldwide and networked business environment, shifting from a purely administrative function to a strategic catalyst for achieving organizational performance [1]. HRM techniques are of significant importance in influencing an organization's culture, employee conduct, and general governance [2]. Kjaer [3], went all over in search of a way in which governance might be widely defined and positioned in a manner that is at the center where it can reflect certain duties. His efforts prove to be fruitless as he comes to the realization that "Governance" refers to something that is much bigger than "Government" and that it is about "steering" and "the rules of the game." The overall goal of good governance is to improve the standard of living of a nation's population to the greatest extent possible. The governance process begins with each operation beginning with the administration of an organization's human re-sources [4]. This is the first stage in each operation. Since this appears to be the first and most important step in governance because it is the step that would gather the best people expected to provide the best governance in order to achieve the highest well-being of people in a country, the purpose of this current paper is to investigate the strategies for establishing effective governance via human resource management practices in Saudi Arabia.
In contrast to several countries, the Kingdom of Saudi Arabia is founded upon traditional values [5]. In the specific setting of Saudi Arabia, a country known for its distinct cultural norms, values, and religious sensitivities, the incorporation of governance strategies has become of utmost significance. Nevertheless, it is intriguing to note that Saudi Arabia, a nation governed by a monarch and founded upon a hierarchical structure built on clans, possesses its own constitution [6]. The cultural and socie-tal aspects of Saudi Arabia have positioned the kingdom as a highly profitable labour market [7]. When considering the significance of HRM in Saudi Arabia, it is necessary to evaluate the composition of the workforce, as it is significantly impacted by the prevailing labour relations [8]. According to a report by Reuters, the current population of Saudi Arabia stands at 32.2 million individuals [9]. It is noteworthy that approximately 42% of this population comprises foreign nationals, while Saudi citizens make up the remaining 58%. Furthermore, the report highlights that a significant proportion of Saudi citizens, specifically 63%, fall under the age of 30. This implies that Saudi Arabia possesses a favorable position to effectively respond to the demographic dynamics of a heterogeneous, young, and swiftly evolving labor force. It may achieve this by devising strategies that specifically tackle the distinctive obstacles and prospects arising from this demographic structure.
One of the major research problem this study highlight lies with the strategies that can be device for establishing effective governance through HRM practices in Saudi Arabia, there are challenges in general with HRM practices falling within the realm of research problem. The influence on HRM practices could transcends societal issues and include the examination of information availability and many more [10]. It is noteworthy to establish the prevalence of foreign personnel in the private sector, which can reach as high as 95%, can be attributed to governance [11]. Cultural conceptions have a significant impact on the strategies and practices employed, particularly in the context of managing and resolving balance of labour force in Saudi Arabia [12]. The workforce in Saudi Arabia demonstrates a notable degree of diversity. The formation of good governance is a crucial component in attaining organizational success, and its achievement relies on several factors, including leadership, transparency, accountability, and ethical behaviour [13].
This study identifies another area of research that deserves significant attention, which pertains to the examination of the concerns associated with the large impact of HRM strategies on various criteria. The potential to cultivate an environment characterized by integrity can be realized by implementing ethical HRM practices [14]. However, the extent to which this can be quantified remains uncertain. The effectiveness of aligning employee behavior with the basic values of an organization through the implementation of HRM strategies and practices remains uncertain. Furthermore, there remains a lack of certainty regarding the potential impact of implementing HRM practices on the improvement of open-ness and accountability within organizational decision-making processes [15]. While Saudi organizations strive to improve governance effectiveness, comply with legal obligations, and establish a reputation for ethical behavior by incorporating ethical principles into their HRM strategies [16], the method for quantifying the extent of this contribution remains unclear.
An additional research problem that this study is willing to solves lies with the issue of introducing of integrated functional and strategic aspects of HRM on governance in Saudi Arabia, as high-lighted by Allui and Sahni [17]. The alignment of Saudi Arabia's situation with the integration on the influence of governmental action on both the commercial and public sectors has a substantial effect on the decision-making process of HRM techniques in Saudi Arabia [18]. These procedures are shaped by both the established norms within the sector and the conventions and decisions made by the monarchy Therefore, one may suggest that while the inherent unpredictability of the corporate environment, the possibility of conflicts emerging remains substantiated in governance. HRM processes may sometimes give rise to conflicts in governance, which are considered to be an inherent element of these practices [19]. This is because disputes can work as catalysts for facilitating organizational modifications and transformations [20].
There exists a lack of research investigating the specific strategies employed by firms in Saudi Arabia to incorporate strategic concepts of governance through HRM policies, and the subsequent impact on governance. This study found it necessary to examines the impact of HRM practices on governance outcomes, with a specific emphasis on the key criteria associated to the success of HRM practices. These factors offer valuable and actionable insights for companies seeking to enhance governance procedures. As a result, the current study contributes in the following ways:
  • The study also contributes in highlighting the needs for the integration of ethics and HRM as a crucial aspect of governance. The research emphasizes the significance of incorporating ethical concepts into HRM policies and practices to promote effective governance. The prioritization of ethics offers a distinct framework for businesses seeking to synchronize their principles with their systems of governance.
  • The study acknowledges the importance of HRM in fostering ethical leadership within a business. This study also posits that the implementation of ethical leadership, facilitated by HRM practices, is crucial in fostering governance excellence.
  • The research advocates for a comprehensive approach to HRM and governance, surpassing the basic adherence to regulatory requirements. The promotion of perceiving HRM as an essential component of governance is advocated, urging firms to consider not just compliance with legal requirements but also the cultivation of a corporate environment characterized by accountability, transparency, and ethical obligations.
Apart from this current section, which provides the background of the research, the remaining section are organized as follows: Section 2 presents the theoretical framework of the research. Section 3 pro-vides the research-related work. Section 4 presents the analysis and presentation of the results. Section 5 presents the discussion. Section 6 provides the implications of the study. Section 7 presents the limitations and recommendations for future work. Finally, Section 8 presents the conclusion of the research

2. Theoretical Framework

There is various theoretical framework that can support establishing effective governance through HRM practices. This involves aligning HR processes with the organization's goals, values, and regulatory requirements. Researchers can use these theories as lenses to analyze HR empirical data, draw conclusions towards its impact on governance, and propose practical recommendations for organizations seeking to enhance their governance through HR practices. Therefore, the following theories where adopted: "Cultural Adaptation Theory" and "Ethical Governance and Compliance Theory".

2.1. Cultural Adaptation Theory

Cultural Adaptation Theory, alternatively referred to as the Culture Learning Theory or Cultural Adjustment Theory, is a theoretical framework rooted in sociology and psychology [21]. Its primary objective is to elucidate the process by which individuals hailing from one cultural context acclimate to and engage with a distinct and unfamiliar culture [22]. Furthermore, this approach has been utilized in situations that necessitate interactions with other cultures [23]. Saudi Arabia is home to a significant number of expats, and the implementation of HR policies can play a crucial role in influencing governance outcomes.

2.2. Ethical Governance Compliance Theory

The Ethical Governance and Compliance Theory is a theoretical framework that prioritizes the advancement of ethical behavior, accountability, and conformity to rules in diverse organizational and institutional settings [24]. This theoretical framework focuses considerable stress on the importance of ethical principles and values in the execution of governance operations, with a specific focus on adhering strictly to legal and regulatory norms. The theory is drawn from a multitude of existing hypotheses. The concept in question originated from agency theory, incorporating the implications of moral hazard. It subsequently advanced through the incorporation of stewardship theory and stakeholder theory, and further evolved within resource dependence theory, transaction cost theory, and political theory [25]. Subsequently, additional ideas such as ethics theory, information asymmetry theory, and the theory of efficient markets were incorporated. The theories under consideration are delineated according to the causal factors and consequential outcomes associated with variables such as the composition of the board of directors, the audit committee, the autonomy of managers, the involvement of top management, and their extralegal social connections [26].
As a result, this phenomenon cultivates a feeling of assurance and dependence among employees, stakeholders, and the broader community, so providing a significant contribution to the formation of effective governance and the achievement of sustainable organizational achievements.

3. Related Work

A significant fraction of research inquiries carried out in Saudi Arabia may center on the analysis of human resource management (HRM) practices inside the public sector [27]. The examination of the recruitment, retention, and professional development of government workers is a crucial aspect to consider, as the effectiveness of governance heavily relies on a competent and motivated workforce [28]. Previous academic research has mostly concentrated on examining the impact of HRM practices inside Saudi firms on governance, employing various viewpoints [29]. Numerous scholarly inquiries delve into various facets pertaining to HRM strategies, challenges in governance, the congruence of HR with governance objectives, cultural influences, governmental regulations, leadership dynamics, measurement methodologies, exemplary approaches, and the impediments encountered within these domains [30]. This research provides useful insights into the optimization of HRM processes, specifically within the unique context of Saudi Arabia, with the aim of enhancing governance.
According to Al-Taweel [30], managers exhibit a noticeable deficiency in fully comprehending the prospective impact of high-performance work practices in facilitating the advancement of health services in many domains. This study investigates the impact of implementing high-performance work practices within the realm of human resource management in select healthcare clinics situated in the Kingdom of Saudi Arabia. The results indicate that the implementation of high-performance work practices has a significant role in the attainment of organizational objectives, as it enhances employee performance, productivity, and the overall quality of healthcare services provided by health dispensaries. Additionally, it contributes to the improvement of institutional features and performance.
Abaker et al. [31] identified a gap in the existing body of information regarding middle eastern countries, specifically in relation to empirical research undertaken in Saudi Arabia. Their study aimed to investigate the effects of organizational policies and practices on diversity management within the Saudi private sector. The results indicate that the implementation of Saudization, retention strategies, compensation packages including perks, and health insurance policies have a substantial impact on diversity management within the commercial sector in Saudi Arabia.
Cherif [32] did a study to investigate the correlation among work satisfaction, turnover rate, human resource management, employee job satisfaction, and organizational commitment in the banking industry in Saudi Arabia. The objective of the study was to examine if a strong sense of job satisfaction among bank employees can effectively reduce the occurrence of low turnover rates. The study's results demonstrate a direct relationship between human resource management and both employee job satisfaction and organizational commitment. Conversely, there was a direct association between employee job satisfaction and organizational commitment.
Alshaikhmubarak [33] identified a knowledge vacuum pertaining to human resource management (HRM) practices in the public higher education sector of Saudi Arabia. The study aims to investigate the influence of high-performance HRM practices on the research performance and career success of academics. The Findings indicate that the implementation of effective human resource strategies, such as internal mobility and recognition, significantly influenced the career success of faculty members. Additionally, it was observed that the influence of these policies on career success was mediated by research performance.
According to the research conducted by Salih and Dolah [34], contemporary firms are actively seeking effective strategies to improve their managerial competencies and get desired outcomes in their commercial operations. This study aims to examine the influence of human resources availability on the implementation of business excellence models. The study reveals the identification of five key success factors for the implementation of business excellence models in Saudi nonprofit organizations. These factors encompass the capabilities of data analysis and reporting, effective communication within the organization, the strategy and approach employed during implementation, the utilization of bench-marking practices, and the adoption of a well-defined governance framework.
Qazi and Miralam [35] argue that human resources are a vital organizational asset that enables an organization to maintain its effectiveness and value. They further assert that the banking sector in Saudi Arabia is currently grappling with intense competition, economic challenges, and the implementation of Saudization policies, particularly in relation to human resources. This study aims to investigate the impact of human resource procedures on job satisfaction among employees in the private sector banking industry in Saudi Arabia. The results of the study indicate that training does not have a statistically significant impact on job satisfaction. However, other human resource management strategies such as performance appraisal, teamwork, employee engagement, and remuneration demonstrate a positive and statistically significant influence on job satisfaction.
According to Al Doghan [36], there has been a dearth of research investigating the impact of human resource management techniques and work environment on teacher retention. Therefore, this study aims to investigate the impact of human resource management techniques and work environment on faculty retention in the specific context of Saudi Arabia. The results suggest that faculty retention is positively affected by training and development, remuneration and benefits, and work environment. How-ever, no significant correlation was observed between recruitment and selection, as well as the performance rating system, and faculty retention.
The study conducted by Al-Kazlah and Badkook [37] aimed to assess the efficacy of HRM practices in enhancing employees' intrinsic motivation and originality. The researchers established a connection between HRM practices and the aforementioned outcomes, leading to the investigation of the impact of HRM practices on workers' enthusiasm and ingenuity. The results suggest that job design as a whole has a noteworthy and substantial influence on employees' motivation. Specifically, the dimensions of task significance, feedback, and autonomy are identified as the most influential aspects of job design. Additionally, job training is found to have a considerable and favorable effect on intrinsic motivation.
Al-Hanawi et al. [38] conducted a study to examine the state of healthcare human resource development in Saudi Arabia, given the country's ongoing transformative phase. The study's results indicate that the implementation of Saudization and the 'Nitaqat' program have shown to be influential in advancing the Saudization objectives within the private sector. Furthermore, there exists a significant opportunity to include young, skilled Saudi individuals into the healthcare industry.
This study has identified a "research gap" in the existing literature, as it has observed that previous studies have not adequately considered the "Employee Perspectives" when examining the impact of HR practices on governance. By incorporating insights from employees at different hierarchical levels, this study aims to provide a comprehensive understanding of how HR practices influence governance from multiple viewpoints. Moreover, an additional "gap in the literature" exists in terms of the limited investigation into the viewpoints of other stakeholders, such as governmental bodies, industrial groups, and non-governmental organizations.

4. Research Methodology

This current study adopted Qualitative research methodology and DEMATEL evaluation approach. The qualitative approach is primarily aim at gaining information about the sustainable approach towards uncovering the key sustainable strategies criteria for effective HRM practices by participating in discussions with experts in the relevant filed. The use of this methodology is crucial in addressing the research issue and obtaining the requisite data [39]. Therefore, it is crucial for the research to integrate a wide range of perspectives, conduct a complete analysis of the various facets associated with a sustainable strategy for HRM practices, and provide a clear depiction of the broader context that emerges [40].
The DEMATEL approach is a sophisticated analytical tool employed in decision-making to comprehend the deep interconnections among many components. An appreciation of the interrelationships among various criteria that influence effective HRM practices is advantageous for decision-makers as it will enable them to discern significant factors and associations within their practices. DEMATEL is especially valuable in this kind of scenarios because there are several criteria or variables that interact and influence HRM practices, making it difficult to determine the relative significance or influence of each of these aspects.

4.1. Research Population and Sampling Technique

The procedure of estimating the study population involves the identification of potential participants who are pertinent to the research subject [41]. The main aim of this study is to investigate the obstacles faced by firms in Saudi Arabia while implementing strategies to establish effective governance using HRM techniques. Therefore, the scope of this study includes persons who demonstrate a significant level of expertise in the domain of HRM. The research is centered around individuals who utilize HRM in their professional endeavors.
The research has utilized purposeful sampling as the designated approach for participant selection. The fundamental tenet of qualitative research involves the purposeful inclusion and integration of individuals who possess the most relevant perspectives and knowledge [42]. This methodology is also in same direction with the DEMATEL evaluations in understanding the matter being investigated and enables a comprehensive examination of the research topic. Hence, a purposive sampling technique was employed, resulting in the selection of a cohort including 35 participants for the study.

4.2. The DEMATEL Evaluatio Process

The primary goal of utilising DEMATEL was to obtain expert opinions on specific criteria by thoroughly analysing the different aspects of each criterion. The design of these components is intended to optimise the decision-making process, resulting in improved perspectives and optimal choice outcomes. The steps of the DEMATEL technique are as follows:
Experts assign a numerical value to x i j in order to denote the importance of each criterion's influence. The values are determined using criteria denoted by i and j, which consider cause and effect. For each value of n, an expert's response is obtained. Equation 1 forms a non-negative n×n direct relation matrix:
x y = x i j y n × n
y represents the number of representations for each expert, ranging from 1 to q. The equation produces a matrix q for x1, x2,… xq, where q represents the total number of experts. Equation 2 displays the average aggregated decision matrix for all the expert Z=, z i j .
Z i j = 1 q i = 1 q x i j y
The second step involves the generation of the normalised direct relation matrix. In order to generate the matrix D, which is a representation of the direct relations, equation 3 is utilised.
D = max max 1 i n j = 1 n z i j , max 1 j n i = 1 n z i j ,
In light of this, each and every cell that is contained within matrix Z will have a value that falls somewhere between the range of 0 to 1 in terms of numerical values.
Exponentiating the normalised initial direct-relation matrix D to the power of m; where m represents the indirect impact Dm; this is the third step in the process of generating the total relation matrix. In the matrix that was produced, which is designated by the letter T, the cumulative influence that was generated by the participant's response is displayed. When the direct-relation matrices D+D2+...+Dm are added together, the total relation matrix T can be formed. As the value of Dm approaches zero, we are able to draw the conclusion that T is the same as the direct-relation matrix D that was first used. Therefore, the total relation matrix T may be represented as
T = D + D2 + ... + D. This expression can be further simplified as T= D+D2+…+D is T= lim m D + D 2 + D m = D I D 1 . As a result, equation 4 is derived
T = D I D 1
where I is an identity matrix of dimensions n×n.
The fourth step encompasses the process of developing the rows and columns of the matrix. The vectors that are utilised in order to depict the rows and columns that are a part of the complete relation matrix. If the vectors r and c, respectively, are used to represent the total of the rows of matrix T and the total of the columns of matrix T, then the row and column vector are developed by equation 5:
r = r i n × 1 = j = 1 n t i j n × 1 and   c = c j 1 × n = j = 1 n t i j 1 × n
If j is equal to i, then the influence that criterion i has on j will be represented by the difference between the total of ri and cj. In the event that j is not equal to i, the sum will reveal the overall effects that criteria i has experienced, while the difference will demonstrate the overall influence that criterion i has contributed to the system for the system as a whole. On the other hand, if the value is positive, then the criteria i serves as a primary cause, and if the value is negative, then it serves as a primary effect. It is possible to classify the criteria as belonging to the cause group if the difference between ri and cj is positive. This indicates that the criteria have a considerable influence on the other criteria. On the other hand, if the difference between ri and cj is determined to be negative, this suggests that the criteria in issue are being influenced by the other criteria collectively and ought to be categorised as the "effect." It is for this reason that the sum of r and c is referred to as the "Prominence," while the difference between r and c is referred to as the "Relation."
During the fifth step, the process involves determining a threshold value (α) for the purpose of generating an interaction diagram. It is possible to determine the threshold value for the impact connection by using Equation 6,
α = i = 1 n j = 1 n t i j / N
where α is equal to the sum of the sums of the tij divided by N. A total number of matrix elements will be obtained by calculating the average of the members of the matrix T, and the variable N is a representation of this total number of matrix elements. Through the use of this computation, any impacts that are deemed to be of a modest nature are identified and eliminated. The fact that there will be no impacts that are less severe than the threshold value indicates that the impact connections will not include any consequences that are less severe than the threshold value.
The sixth step involves the creation of a relational diagram that illustrates the causal relationship between the components and the effects they have: For the purpose of constructing the relationship diagram, the correlation between the cause and effect has been assigned to each of the coordinate sets that comprise the entire array of rows and columns. This was done in order to ensure that nothing is overlooked. This graphic contains rows and columns that represent the interactions between the criteria. These rows and columns give essential information that can be used to determine the relative importance of each criterion as well as how they interact with one another.

4.3. Instrumentation for Data Collection

The research employed a qualitative methodology, utilizing a validated instrument comprising a set of open-ended questions. The validation procedure involves the participation of HRM experts, who provided their perspectives on the suggested question. Following the revision of expert opinions, the final interview questions have been created for the upcoming interview, as indicated in Table 1. The interview questions underwent an additional validation process, which led to the development of revised interview questions. The table displays the interview questions corresponding to each Research Objective (RO).
The data collection for this study involved conducting interviews online with respondents from HRM departments of 14 firms and 8 Government ministries in Saudi Arabia. As a result of this phenomenon. The interviews were meticulously recorded and transcribed to guarantee precision and fidelity. The participants were provided with the necessary ethical documentation and expressed their agreement to the conditions outlined, which included the assurance that their personal information would remain confidential and that they would not disclose the details of the interview to any third party.

4.1. Analytical Technique

Thematic analysis was carried out. The goal of conducting a thematic analysis on interview transcripts was to identify recurrent themes that were connected to the reason for conducting the research. The transcripts of the interviews are then methodically categorized based on the reoccurring themes, patterns, and significant insights that emerge from the analysis (see Table 2). The examination of the responses was carried out with the intention of determining whether or not there were any shared qualities, contradictions, or trends in regard to the responses. For each response, it was coded with R-x, where x represent the participant number and R stand for respondent.
According to Arifin [42], the fundamental goal of data analysis in the realm of qualitative research is to condense the collected data into a restricted collection of comprehensive topics, often comprising a range of five to seven themes. As a consequence of this, it was essential, within the context of the current inquiry, to arrange and alter the data that had been obtained in order to make room for subsequent analysis. The technique that was described above entailed improving the quality of the transcribed interviews by creating cohesive connections among the many themes that were chosen. The most common motifs have been included in Table 2, which has examples of each.

5. Data Analysis and Presentation of the Results

The focus of the analysis of the data is on the directions in which the research aims should proceed. When it comes to the objectives of the research, they were formulated in such a way that each aim concentrates on another subject for discussion. Therefore, the themes for each of the study objectives are as follows: "RO1: Cultural norms, Values, and Religious Sensitivities prevalent" "RO2: Enhance employee engagement and performance" "RO3: Customize HR practices to reflect local cultural" "RO4: Assess the impact of culturally adapted HR practices".

5.1. Cultural norms, Values, and Religious Sensitivities prevalent

The primary factors contributing to the attainment of the first research objective involve the examination of cultural norms, values, and religious sensitivities that are present in Saudi Arabia and their influence on human resources practices and governance. A considerable amount of responses was obtained from the 35 participants. The findings indicate that cultural norms in Saudi Arabia place a strong emphasis on the veneration of older individuals and the significance of familial bonds. The aforementioned values exert an influence on individuals' approaches to human resources decision-making and communication. Respondents R-4, R-6, R-13, and R-16 have provided comments that are closely related to a specific response from respondent R-9, who expressed that.:
“Respect for senior staff is highly valued in our organization. Because of this, we have to rethink our approach to team building and leadership."
This implies that exhibiting reverence towards senior personnel within a specific cultural context. The level of respect has a substantial impact on the manner in which teams are structured and leadership decisions are formulated within a certain cultural framework. Likewise, it has been disclosed that the incorporation of religious practices influences the tactics employed for the establishment of efficient governance through human resource management practices. Several respondents (R-1, R-14, R22, R33) share similar responses with respondent R8, indicating that:
"We view faith as a powerful tool for managing employees, complete with regular feedback, goal-setting, and evaluations of progress. Using Islamic principles to create open and honest appraisals of performance.".
This implies that an efficient governance approach through Human Resource Management Practice highlights the significance of integrating religious concepts, namely Islamic values, within the performance management system. This entails the adoption of strategies such as consistent feedback, objective establishment of objectives, and comprehensive assessments of performance, all while ensuring that performance evaluations are handled in a just and transparent manner, in accordance with the norms of Islamic ethics. Moreover, the incorporation of religious sensitivity constitutes a crucial aspect in the formulation of policy codes. They guarantee that personnel conform to Islamic values.
The focus of analysis centers on the effects of good governance. The significance of culture and religion as influential factors in shaping HR practices and governance decisions inside a business was emphasized. The comprehension and acknowledgement of cultural values and norms are crucial in upholding impartiality and equality in human resources practices and governance endeavors. Neglecting to adhere to this practice may result in discrepancies and disputes that impede the efficacy of governance. It is imperative to establish congruence between human resources practices and the objectives and principles of the firm, while simultaneously upholding religious convictions, in order to sustain a workplace atmosphere that fosters unity and inclusivity. Ineffectively managing these sensitivities might result in discriminatory practices or exclusionary measures, so compromising the fundamental tenets of good governance

5.2. Enhancement of Employee Engagement and Performance

The primary factors contributing to the attainment of the second research objective are to the augmentation of employee engagement and performance within the context of Saudi Arabia, hence influencing human resource practices and governance. The analysis of problems and opportunities associated with the integration of cultural adaptation into HR policy is of utmost importance in the context of enhancing employee engagement and performance. According to one participant (R-2), it is disclosed that:
"Making sure all of your teams and departments are on the same page with their cultural adjustments can be difficult. We don't want to set a precedent of inequality."
This implies that ensuring consistent and uniform application of cultural adjustments or changes across various departments and teams within a company poses a challenge. The primary objective is to mitigate the potential for disparities or inequities in the implementation of these cultural adjustments throughout different segments of the business. Put simply, organizations strive to guarantee uniformity in the implementation of cultural changes, aiming to minimize any disparities or variations experienced by individuals within the organization.
Maintaining uniformity within a company can often provide challenges. Companies make concerted efforts to guarantee that all employees derive advantages from these changes. Several participants share a similar perspective on this matter, including respondents R-5, R-7, R-10, R-12, R-19, and R-20. However, respondent R-35 presents an alternative viewpoint:
We observed that regulations that suited different cultures had a positive effect on morale. When employers cater to their workers' cultural preferences, morale soars."
This implies that the firm has noted that when they customize their rules and practices to correspond with the cultural backgrounds and preferences of its employees, it yields a favorable effect on employee morale. In essence, when employees see that their cultural needs and values are acknowledged and honored by the firm, they are inclined to have a greater sense of appreciation and job satisfaction. Consequently, this phenomenon engenders elevated levels of morale, thereby potentially yielding augmented levels of motivation, productivity, and overall job satisfaction within the labor force.
The implementation of cultural modifications by the organization resulted in a discernible improvement in employee satisfaction. The organization values the fact that employees demonstrate concern for their overall welfare. A prevailing perspective among the respondents is that there exists an opportunity to use the advantages brought out by diverse teams. When organizations modify their human resources procedures, they effectively leverage the capabilities and talents of people from diverse backgrounds. One participant (R-15) disclosed that:
"When we modify our approaches to human resources, our multicultural teams flourish. It's incredible to witness firsthand how diversity of thought sparks innovation."
This implies that when organizations adapt their human resources (HR) processes to accommodate the variety of their teams, there is a notable enhancement in the performance of these varied teams. The term "thrive" connotes that these teams not only exhibit efficient functioning, but also demonstrate exceptional performance. The aforementioned statement further emphasizes that the presence of varied experiences and opinions within these teams contributes to the cultivation of a dynamic and innovative atmosphere. The amalgamation of diverse viewpoints and backgrounds ultimately amplifies ingenuity, hence fostering inventive resolutions and methodologies for a multitude of obstacles and endeavors.
Another problem linked with organizational practices in the field of Human Resource Management (HRM) is the need to prevent tokenism. The organization seeks to authentically incorporate cultural modifications rather than only superficially implementing them. One participant (R-21) disclosed that:
""It's more than just checking off a list. We take care to guarantee that the changes are functional, not only attractive."
This suggestion highlights the organization's dedication to surpassing mere cosmetic adherence to specific rules or standards, commonly referred to as "box-ticking." On the contrary, their commitment is in the creation of modifications that are both meaningful and substantial. The term "meaningful" connotes that these alterations possess an authentic intention and importance, surpassing mere symbolism or superficiality. The company prioritizes the implementation of meaningful reforms, particularly in relation to diversity and inclusion, in order to generate substantial and beneficial outcomes, as opposed to only engaging in cosmetic or symbolic actions. The desired outcome of these changes is to yield concrete advantages and enhancements, rather than merely giving the appearance of adherence.
The solution pertaining to the attainment of objective 2 collectively focuses on the significant influence of culturally sensitive human resources practices on the promotion of effective governance within a company. The implementation of HR strategies that are attuned to cultural sensitivities plays a significant role in fostering a favorable work environment and enhancing the effectiveness of governance. This observation highlights the correlation between cultural sensitivity and effective governance. Culturally sensitive practices foster an inclusive and harmonious work environment, being a crucial element of effective governance. This statement highlights the organization's dedication to incorporating cultural sensitivity into its human resources policies and processes, acknowledging the advantageous influence it has on employee engagement and performance. The authors also recognize the difficulties associated with these approaches and underscore their significance in cultivating a favorable work atmosphere and improving overall governance efficacy. The integration of cultural sensitivity with principles of good governance exemplifies a comprehensive and inclusive approach to organizational administration.

5.3. Customize HR Practices to Reflect Local Cultural

The need of customizing HR procedures to incorporate local cultural issues while ensuring consistency with business objectives cannot be overstated in the realm of governance. The accomplishment of research objective 3 is of utmost importance. Typically, the responses pertaining to this matter entail the active involvement of employees in the process. In this manner, companies customize their HR procedures to align with cultural requirements, while also ensuring that these policies effectively contribute to the achievement of business objectives. The user's text is already academic in nature. No rewriting is necessary. One participant (R-18) discloses that:
"The participation of workers is crucial. They shed light on how to better coordinate cultural shifts with long-term objectives."
This underscores the need of engaging employees in the organizational culture change process. The inclusion of employees' thoughts and viewpoints is crucial in order to align these modifications with the strategic objectives of the firm. Employee participation is crucial in ensuring the successful integration of cultural changes into the organization's overarching strategic direction. Moreover, organizations strive to achieve equilibrium by tailoring certain elements while maintaining consistent basic principles. In this manner, cultural respect is upheld while simultaneously maintaining consistency. One participant disclosed [R-11] that:
“Changes need not lead to breakdowns. We strike a balance between localizing for the culture and keeping the structure of the company intact"
This suggests that organizations should prioritize the incorporation of personalized changes to meet cultural differences, while also ensuring that they maintain a sense of equilibrium. This implies that individuals exhibit caution in order to prevent the occurrence of chaos or confusion within the organization. The organization endeavors to accommodate cultural requirements while yet upholding the fundamental structure and systematic nature of its operations. Moreover, leadership assumes a crucial function in providing guidance for endeavors related to cultural adaptation. The commitment and example established by companies establish the prevailing atmosphere within the entire firm. One of the respondents [R-17] indicates that:
"Leaders send a powerful message to the rest of the firm when they actively promote and demonstrate cultural adaptability."
This implies that organizations undervalue the significant impact of leadership in fostering cultural adaptation inside the company. The act of leaders openly demonstrating and endorsing cultural adaptation conveys a significant message to the entire organization. This statement underscores the significance of accepting cultural diversity and promotes the adoption of such behavior among employees, thereby cultivating a more inclusive and culturally sensitive business culture. From an alternative perspective, the human resources practices implemented by firms can be likened to a mosaic, wherein each individual element represents a cultural factor, while simultaneously maintaining a coherent alignment with our organizational objectives. One participant [R-1] discloses that:
"Imagine a mosaic, where each tile stands for a different facet of culture. They make a lovely and harmonious whole when put together"
This suggests that organizations employ the metaphor of a mosaic to communicate the concept that the convergence of diverse cultural subtleties results in a cohesive and integrated organism. Similar to how individual tiles add to the overall aesthetic appeal of a mosaic, the integration and respectful acknowledgement of cultural variations within an organization or community contribute to a diverse and harmonious collective entity.
The comments collectively highlight the organization's dedication to harmonizing human resources processes with cultural norms and strategic objectives, all while upholding principles of justice and uniformity. Furthermore, they acknowledge the significance of leadership in promoting cultural sensitivity and its advantageous effects on effective governance and the unity of a company. The implementation of this comprehensive strategy exemplifies a commitment to advancing concepts of effective governance within a society characterized by cultural diversity.

5.4. Assessing the Impact of Culturally Adapted HR Practices

The primary factors contributing to the attainment of the final research objective are the evaluation of the influence of culturally tailored human resource strategies on governance outcomes, including transparency, accountability, and ethical conduct. Cultural adaption serves to bolster transparency within a business by fostering a sense of value and trust among employees. Individuals are more inclined to participate in open conversation. Several respondents, including R-1, R-6, and R-19, share a same perspective on this issue. However, it is worth noting that respondent R-11 presents a different viewpoint:
There will be more trust between us if we take cultural sensitivity into account. By treating each worker with respect, transparency is fostered naturally."
This implies that fostering an environment of cultural sensitivity inside the firm contributes to the establishment of trust among employees. Transparency is an inherent outcome of recognizing the viewpoints and cultural backgrounds of all employees, once trust has been established. Cultural sensitivity is fundamentally associated with the establishment of trust, which subsequently fosters transparency within the organizational context. Likewise, it has been seen by organizations that the use of culturally tailored human resources practices can effectively mitigate resistance to change. Employees possess a comprehensive understanding that alterations are in accordance with their deeply held principles and beliefs. One participant disclosed that:
"When employees can see that changes are made with their values in mind, they are more likely to embrace the change. A more optimistic outlook on organizational change is fostered as a result"
This finding indicates that employees are more inclined to have a favorable attitude towards organizational changes when they think that these changes align with their values and cultural preferences. Put simply, when adjustments take into account and coincide with the values of employees, it facilitates smoother transitions and enhances the likelihood of the workforce willingly accepting organizational shifts.
Another noteworthy concern pertains to the concept of "Ethical behavior," which is reinforced when employees experience a profound feeling of affiliation. Cultural adaptations have a significant role in fostering a sense of belonging. One participant disclosed that:
"Cultural adjustments foster an atmosphere where workers feel appreciated. Because of this, morality and accountability flourish naturally."
This indicates that cultural sensitivity training helps create a work climate where all employees feel valued. This, in turn, encourages workers to act ethically and gives them a greater feeling of responsibility. Culture-specific adjustments help foster an atmosphere at work that values honesty and responsibility.
Businesses found that when HR policies and procedures were modified to local customs, workers were more likely to come forward with allegations of wrongdoing. The results of one survey showed:
“When workers feel their cultural identities are valued by management, they are more inclined to speak up when problems arise”. When employees think that their firm demonstrates respect for their cultural backgrounds, they are more likely to exhibit a willingness to disclose difficulties or challenges. This phenomenon can be attributed to the fact that the cultivation of respect within the workplace promotes a heightened sense of accountability among employees, hence motivating them to actively engage in the identification and resolution of organizational challenges.

5.5. Findings from DEMATEL Evaluation

"The key sustainable strategies criteria for effective human resource management practices has been uncovered," according to the qualitative interview summary. Four primary criteria were identified: “Cultural Norms”, “Cultural Adaptation”, “Cultural Reflection”, and “Cultural Governance”. As a result, the DEMATEL technique has been applied to uncovered the main interaction among the criteria and also the cause and effect of these criteria.
"The key sustainable strategies criteria for effective HRM practices" is a title or heading that provides an overview of the fundamental components that are required for human resource management practices to be successful and to last for an extended period of time. For the purpose of the DEMATEL analysis, a code that is appropriate for these four criteria has been made available. As a result, Table 3 provides the names of each of them together with the criteria that have been coded.
This research operational definition of “Cultural norms” refer to the collective standards, beliefs, and behaviors that are widely acknowledged and followed within a Saudi Arabi’s community or society. In the realm of human resource management, having a comprehensive grasp of cultural norms is essential for establishing an inclusive workplace atmosphere and promoting efficient communication and collaboration among individuals with varying backgrounds.
Similarly, the “Cultural adaptation” views from this research is the act of modifying one's behavior, beliefs, and expectations to align with the cultural practices, norms, and expectations of a new or unfamiliar cultural setting. In the realm of HR management, cultural adaptation refers to the implementation of policies and procedures that acknowledge and accommodate the cultural variety of employees. This approach aims to enhance employee engagement, contentment, and productivity.
The “Cultural reflection” as defined by this research is the process of carefully analyzing and assessing the cultural dynamics inside an organization, which includes its values, norms, and practices. HR management may foster cultural introspection by facilitating transparent dialogues, feedback loops, and programs that foster self-awareness and comprehension of cultural disparities among employees.
Finally, “Cultural governance” is operationally defined by this research as the methodical administration and supervision of cultural elements within an organization to guarantee they are in line with its values, aims, and objectives. In the realm of HR management, cultural governance refers to the creation of policies, procedures, and systems that aim to foster diversity, justice, and inclusion. It also involves dealing with cultural matters and conflicts in a just and transparent manner.
A Likert scale that spanned from 0 (which indicated "no influence") to 4 (which meant "high influence") was used to link the items that were utilized for the DEMATEL. This scale was used for each and every question. Each and every one of the thirty-five experts provided their responses, which were subsequently incorporated into a non-negative direct relation matrix with dimensions of n×n, based on equation 1, within a spreadsheet that was developed using Microsoft Excel (refer to the matrices that are provided below).:
Preprints 104646 i001
The average of the n×n non-negative direct relation matrix, that is the mean total of decision matrices (Z) is derived from equation 2 and presented in the matrices below:
Preprints 104646 i002
Equation 3 was used to calculate the total decision normalized direct influence matrix. The reason for the calculation of the total decision normalized direct impact matrix serves as a basic of streamlining the data for understanding the complex relationships and dynamics that exist inside a decision-making environment. This, in turn, ultimately contributes to improved decision-making and problem-solving abilities.
The first thing that has to be done is to determine the total number of rows and columns in order to determine which cell in a matrix has the highest value. After that, divide all of the values of the matrices by the largest number in order to obtain the result, which is the normalized matrix D that is presented below:
Preprints 104646 i003
For the purpose of generating the total relation matrix, it is necessary to have an identity matrix i. The total relation matrix is constructed using the identity matrix serving as a baseline or starting point for the construction of the matrix. A square matrix is commonly used to represent the identity matrix in the context of DEMATEL. In this matrix, all of the diagonal members are equal to 1, while all of the other elements are equal to 0. The absence of any links or influences between the factors is represented by this matrix because it is empty. This identity matrix not only assists in determining the direct ties that exist between components, but it also provides assistance in determining the indirect relationships that exist between factors.
Preprints 104646 i004
Similarly, after establishing the identity matrix, the next is to build a matrix by subtracting identity matrix from the direct relationships matrix i-D. The new matrix will establish both direct and indirect relationship. Relationships that are direct indicate the immediate impact of one element on another, while indirect interactions indicate the impact that one factor has on another through intermediate factors. By performing matrix subtraction between the identity matrix and the total relation matrix, it is possible to isolate and analyses the direct relationships between factors individually. T = D I D 1
Preprints 104646 i005
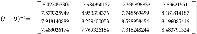
The next is to take the inverse of the matrix above I D 1 . One way to normalize the matrix is by taking its inverse, which ensures that the influence values are confined to a standardized range, making understanding and comparison easier. The use of the inverse operation converts the values in the matrix into influence scores, which accurately represent the magnitude and direction of effect between factors.
Preprints 104646 i006
After finding the inverse matrix, the next step is to establish the total relation matrix T using Equation 4. This matrix is an essential tool for analyzing the interrelationships among various factors or criteria within a complex system. The total relation matrix   T = D I D 1 provides a comprehensive analysis of the relationships between factors, offering valuable insights into the dynamics of the system being studied.
Preprints 104646 i007
From the total relation matrix T, the criteria that are pertinent to the career path can be determine by Equation 5. Where r and c values represent the magnitude and orientation of the associations between criteria. Examining the differences in rows and columns, their sum offers valuable understanding of the cause-and-effect connections between crucial elements and the career paths of academic employees in Saudi Arabia. Negative differences emphasize criteria that are predominantly influenced by other criteria of the academic setting, whereas positive differences show criteria that have a stronger impact on influencing career paths. Gaining insight into these processes can provide valuable information for implementing strategic interventions and policies that aim to foster career progression and empowerment within the academic sector in Saudi Arabia.
In this particular instance, Table 4 demonstrates that there is a negative difference in two criteria. This indicates that these criteria have a greater impact as an outcome rather than as a factor. Within this particular framework, it suggests that the "Cultural Adaptation" and "Cultural Governance" are greatly impacted by "Cultural Norms" and "Cultural Reflection". These criteria can serve as outcomes or consequences of the "Cultural Norms" and "Cultural Reflection" criteria. This means that improvements in "Cultural Adaptation" and "Cultural Governance" are likely to occur as a result of changes in the aspects of "Cultural Norms" and "Cultural Reflection".
On the other hand, a positive difference suggests that the criterion has a greater impact as a cause rather than as an effect. criteria such "Cultural Norms" and "Cultural Reflection" can have a considerable impact on Cultural Adaptation" and "Cultural Governance". The identification of positive differences reveals the criteria that influence changes in many elements of Cultural Adaptation" and "Cultural Governance", indicating specific areas where interventions or initiatives should be focused to improve HRM practices.
The final stage of DEMATEL entails creating an interaction diagram. To do this, the research must determine a threshold value (α) by utilizing Equation 6. Identifying major linkages among components inside the system is essential. The threshold value serves to differentiate between robust and feeble interactions, facilitating a more lucid reading of the interaction diagram. The threshold value (α) is established to distinguish between impactful and non-impactful links. Therefore, the threshold value obtained while using equation 6 is “7.783599781” (see Table 5). The bolded values are the values that are above the threshold. Criteria that have connection strengths above the threshold value are regarded to have substantial interactions, whereas those with connection strengths below the threshold value are deemed to have negligible interactions.
The interaction diagram shown in Figure 1 makes it abundantly evident, through the use of an arrow, that "Cultural Reflection" exerts a more significant influence on all of the criteria. The reason for this is that there are three links emanating from it that point to all of the other criteria, but there is no arrow that points to it. For that reason this research can coclude from DEMATEL evalaution that “Cultural reflection”" is the key sustainable strategies criteria for effective human resource management practices in Saudi Arabia. This means that carefully analysing and assessing the cultural dynamics within an organisation in Saudi Arabia, which includes the Saudi values and practices of the organisation, encourages cultural introspection by making it easier for employees to understand the cultural differences that exist among them.

6. Discussion

The primary outcome of this study is linked to the attainment of the research goals. The primary research objectives are to the analysis of the outcomes within the specified scope. The cultural significance of demonstrating reverence towards older individuals within Saudi Arabian society has been un-veiled. This statement highlights the significance of cultural norms in shaping human resource practices and governance. This discovery is linked to the "Cultural Adaptation Theory." The correlation lies in the adaptation of HR processes to incorporate the principle of respecting elders, which in turn promotes a healthy work environment and enhances governance effectiveness. This implies that when firms modify their human resources strategies to align with cultural demands, it frequently results in increased levels of employee engagement and satisfaction. Consequently, this phenomenon leads to the enhancement of staff morale and, ultimately, augments the overall effectiveness of governance inside the firm. To clarify, the alignment of human resources strategies with cultural requirements can yield favorable outcomes for employee well-being and, as a result, governance results.
In relation to the attainment of the remaining objectives, an additional significant discovery pertaining to them is linked to the concept of "Diversity Benefits." This finding underscores the merits of harnessing heterogeneous teams by means of culturally adapting human resource methods. This suggests that acknowledging the merits of diversity underscores the benefits of employing heterogeneous teams inside a business. The aforementioned benefits are frequently attained through the modification of human resources processes in order to meet diverse cultural backgrounds and individual requirements. The proposition posits that the implementation of cultural adaptation within human resources practices can enable firms to effectively leverage the benefits of diversity, hence exerting a favorable influence on governance and overall performance. This assertion is substantiated by the theoretical framework known as "Diversity and Inclusion Theory." Organizations can harness the potential of diverse view-points, resulting in creativity, employee satisfaction, and effective governance, by modifying their HR policies to accommodate individuals from different backgrounds.
Additionally, it has been disclosed that the concept of "Meaningful Adaptation" emphasizes the significance of authentic cultural adaptations that provide substantial worth, as opposed to cosmetic modifications. It is imperative to underscore the significance of avoiding superficial or token gestures while implementing cultural modifications, as emphasized by T. On the contrary, it is imperative that mission statements possess significance and authentically align with the cultural principles and requirements of the firm and its workforce. The emphasis on meaningful adaptation holds significance in the realm of governance as it guarantees the authentic integration of cultural concerns into an organization's procedures, hence potentially enhancing decision-making processes and improving the efficacy of governance. This assertion is substantiated by the "Ethical Governance and Compliance Theory." The demonstration of authenticity in cultural adaptations is indicative of ethical conduct, fostering trust among employees and facilitating the establishment of effective governance. These interpretations offer a more profound comprehension of Human Resource Management (HRM) within the framework of the study objectives and related theories. The authors illustrate the manner in which each subtheme exemplifies the complexities involved in adjusting human resources procedures to conform with cultural norms, bolster employee engagement, and contribute to efficient governance within the context of Saudi Arabia.

7. Conclusions

This study examined the complex relationship between HRM practices and effective governance in Saudi Arabia's distinctive culture. The research has illuminated how businesses adapt to cultural differences to promote open, accountable, and ethical governance. The findings verified Cultural Adaptation Theory and deepened Saudization and Workforce Localization Theories. The study examined cultural adaption issues, diversity, and ethical governance to show how HRM practices affect governance results. This research provides Saudi Arabian organizations with practical advice. The research shows that HR policies can incorporate cultural norms and religious practices to foster respect and trust. Transparent communication and accountability promote ethical governance, employee engagement, and organizational reputation. It was also shown that firms might intentionally adopt Saudization policies to develop Saudi talent. Expatriate knowledge and workforce localization are essential for regular-tory compliance and a diverse, competent workforce. Leveraging worker diversity boosts innovation and creativity. HR methods that embrace diverse cultural origins allow firms to tap into various viewpoints, improving problem-solving and governance strategies. Leadership cultural adaptation sets the tone for the organization. Leaders that promote cultural sensitivity boost staff enthusiasm, engagement, and governance effectiveness. This research helps in understanding that effective HRM practices in Saudi Arabia require a thorough analysis of the cultural dynamics within an organization. This involves understanding the values and practices of Saudi employees and promoting cultural introspection. By fostering transparent comprehension of cultural disparities among employees, sustainable strategies can be developed.

Funding

This research received no external funding

Institutional Review Board Statement

N/A.

Informed Consent Statement

Written informed consent has been included in the research items and participants are asked to read and agree before responding.

Data Availability Statement

Data will be provided on demand.

Acknowledgments

This is to acknowledge the Human Resource Management department, University of Jeddah, Saudi Arabia for their supports and the students who help in this research.

Conflicts of Interest

The author declare no conflicts of interest.

References

  1. Purwanto, A.; Purba, J.T.; Bernarto, I.; Sijabat, R. Investigating the role digital transformation and human resource management on the performance of the universities. 2023; Available at SSRN. [Google Scholar]
  2. Pham, N.T.; Tučková, Z.; Jabbour, C.J.C. Greening the hospitality industry: How do green human resource management practices influence organizational citizenship behavior in hotels? A mixed-methods study. Tourism management 2019, 72, 386–399. [Google Scholar] [CrossRef]
  3. Kjaer, A.M. Governance, John Wiley & Sons. Polity Press: Cambridge CB2 UK, 2023.
  4. Tabiu, A. Impact of ethical leadership, HRM practices and ethical climate on organizational citizenship behaviors in Nigerian local governments. International Journal of Public Leadership 2023. [Google Scholar] [CrossRef]
  5. Mazzetto, S.; Vanini, F. Urban Heritage in Saudi Arabia: Comparison and Assessment of Sustainable Reuses. Sustainability 2023, 15, 9819. [Google Scholar] [CrossRef]
  6. Parvez, Z. Tribalism and National Identity in Qatar: History and Emerging Trends. In GLOBAL NATIONALISM: Ideas, Movements and Dynamics in the Twenty-First Century; 2023; pp. 213–233. [Google Scholar]
  7. Al-Saeedi, S. Unorganized Politics: A Framework for Identifying and Mapping Elites in Saudi Arabia. 2023; Available at SSRN 4441693. [Google Scholar]
  8. Yamin MA, Y. The mediating role of ethical organisational climate between HRM practices and HR outcomes in public sector of Saudi Arabia. International Journal of Business Excellence 2019, 19, 557–573. [Google Scholar] [CrossRef]
  9. Reuters. 2023. https://www.reuters.com/world/middle-east/saudi-population-322-mln-median-age-29-years-old-general-authority-statistics-2023-05-31.
  10. Harney, B.; Alkhalaf, H. A quarter-century review of HRM in small and medium-sized enterprises: Capturing what we know, exploring where we need to go. Human Resource Management 2021, 60, 5–29. [Google Scholar] [CrossRef]
  11. AlDakhil, L.; Yenugadhati, N.; Al-Seraihi, O.; Al-Zoughool, M. Prevalence and associated factors for needlestick and sharp injuries (NSIs) among dental assistants in Jeddah, Saudi Arabia. Environmental health and preventive medicine 2019, 24, 1–7. [Google Scholar] [CrossRef]
  12. Burke, C.M.; Morley, M.J. Toward a non-organizational theory of human resource management? A complex adaptive systems perspective on the human resource management ecosystem in (con) temporary organizing. Human Resource Management 2023, 62, 31–53. [Google Scholar] [CrossRef]
  13. Sawmar, A.A.; Mohammed, M.O. Enhancing zakat compliance through good governance: a conceptual framework. ISRA International Journal of Islamic Finance 2021, 13, 136–154. [Google Scholar] [CrossRef]
  14. Karman, A. Understanding sustainable human resource management–organizational value linkages: The strength of the SHRM system. Human Systems Management 2020, 39, 51–68. [Google Scholar] [CrossRef]
  15. Rodgers, W.; Murray, J.M.; Stefanidis, A.; Degbey, W.Y.; Tarba, S.Y. An artificial intelligence algorithmic approach to ethical decision-making in human resource management processes. Human Resource Management Review 2023, 33, 100925. [Google Scholar] [CrossRef]
  16. Jelili Amuda, Y.; Alabdulrahman, S. Reinforcing policy and legal framework for Islamic insurance in Islamic finance: towards achieving Saudi Arabia Vision 2030. International Journal of Law and Management 2023. [Google Scholar] [CrossRef]
  17. Allui, A.; Sahni, J. Strategic human resource management in higher education institutions: empirical evidence from Saudi. Procedia-Social and Behavioral Sciences 2016, 235, 361–371. [Google Scholar] [CrossRef]
  18. Alomari, M.A.; Heffron, R.J. Utilising law in the transition of the Kingdom of Saudi Arabia to a low-carbon economy. Environmental Innovation and Societal Transitions 2021, 39, 107–118. [Google Scholar] [CrossRef]
  19. Cooke, F.L.; Wood, G. Closer, stronger, and brighter: bringing IB and IHRM together through the lens of Sustainable Development Goals. The International Journal of Human Resource Management 2023, 1–27. [Google Scholar]
  20. Schreiber, F.; Fokdal, J.; Ley, A. A Catalyst for Innovation? A Conceptual Framework for Analyzing the Potential of Urban Experiments to Transform Urban Planning Practices. Planning Theory & Practice 2023, 1–18. [Google Scholar]
  21. Hernández López, E.M. Traditional Theories For Cross-Cultural Adaptation: Revisiting Their Current Applicability On The Transition Of Mexican Postgraduate Students To Life In The UK. Journal of Comparative and International Higher Education 2021, 13, 59–72. [Google Scholar] [CrossRef]
  22. Zhao, X.; Schartner, A. Revisiting the ‘U-curve’hypothesis: international students’ academic, sociocultural, and psychological adjustment trajectories at a British university. European Journal of Higher Education 2023, 1–24. [Google Scholar]
  23. Muntlin, Å.; Jangland, E. Translation and cultural adaptation of the fundamentals of care framework: Are we there yet? Journal of Advanced Nursing 2023, 79, 1107–1118. [Google Scholar] [CrossRef]
  24. Yusoff, W.F.W.; Alhaji, I.A. Insight of corporate governance theories. Journal of Business & Management 2012, 1, 52–63. [Google Scholar]
  25. Clarke, T. Theories of corporate governance. The Philosophical Foundations of Corporate Governance, Oxon 2004, 12, 244–266. [Google Scholar]
  26. Madhani, P.M. Diverse roles of corporate board: Review of various corporate governance theories. The IUP Journal of Corporate Governance 2017, 16, 7–28. [Google Scholar]
  27. Alharbi, J.; Pont, S.; Tee, S.; Maxwell, S.J. The role of human resource management and governance in addressing bullying, burnout and the depersonalization of junior and senior psychiatric nurses in Saudi Arabia. International journal of mental health nursing 2023. [Google Scholar] [CrossRef]
  28. Bahuguna, P.C.; Srivastava, R.; Tiwari, S. Two-decade journey of green human resource management research: a bibliometric analysis. Benchmarking: An International Journal 2023, 30, 585–602. [Google Scholar] [CrossRef]
  29. Wasiq, M.; Kamal, M.; Ali, N. Factors Influencing Green Innovation Adoption and Its Impact on the Sustainability Performance of Small-and Medium-Sized Enterprises in Saudi Arabia. Sustainability 2023, 15, 2447. [Google Scholar] [CrossRef]
  30. Chowdhury, S.; Dey, P.; Joel-Edgar, S.; Bhattacharya, S.; Rodriguez-Espindola, O.; Abadie, A.; Truong, L. Unlocking the value of artificial intelligence in human resource management through AI capability framework. Human Resource Management Review 2023, 33, 100899. [Google Scholar] [CrossRef]
  31. Al-Taweel, I.R. Impact of high-performance work practices in human resource management of health dispensaries in Qassim Region, Kingdom of Saudi Arabia, towards organizational resilience and productivity. Business Process Management Journal 2021, 27, 2088–2109. [Google Scholar] [CrossRef]
  32. Abaker, M.O.S.M.; Al-Titi, O.A.K.; Al-Nasr, N.S. Organizational policies and diversity management in Saudi Arabia. Employee Relations: The International Journal 2019, 41, 454–474. [Google Scholar] [CrossRef]
  33. Cherif, F. The role of human resource management practices and employee job satisfaction in predicting organizational commitment in Saudi Arabian banking sector. International Journal of Sociology and Social Policy 2020, 40, 529–541. [Google Scholar] [CrossRef]
  34. Alshaikhmubarak, A.; Da Camara, N.; Baruch, Y. The impact of high-performance human resource practices on the research performance and career success of academics in Saudi Arabia. Career Development International 2020, 25, 671–690. [Google Scholar] [CrossRef]
  35. Salih, O.; Dolah, R. Implementing business excellence models in Saudi nonprofit organizations and the impact of human resources availability. Measuring Business Excellence, (ahead-of-print). 2022, 27, 261–276. [Google Scholar] [CrossRef]
  36. Qazi, S.A.; Miralam, M.S. Human Resources Management Practices And Job Satisfaction In Critical Economy: An Empirical Study Of Private Banking Sector Of Saudi Arabia. International Journal of Business Management & Research (IJBMR) 2017, 7, 43–52. [Google Scholar]
  37. Al Doghan, M.A. Faculty retention among higher educational institutions (HEI’s) of Saudi Arabia: Role of work environment and human resource management practices. Eurasian Journal of Educational Research 2022, 97, 202–215. [Google Scholar]
  38. Al-Kazlah, S.A.H.; Badkook, R.O. The Effect of Human Resource Management Practices on Employees’ Motivation and Creativity in the Private Sector of Saudi Arabia. International Review of Management and Marketing 2022, 12, 1. [Google Scholar] [CrossRef]
  39. Al-Hanawi, M.K.; Khan, S.A.; Al-Borie, H.M. Healthcare human resource development in Saudi Arabia: emerging challenges and opportunities—a critical review. Public health reviews 2019, 40, 1–16. [Google Scholar] [CrossRef] [PubMed]
  40. Creswell, J.W.; Poth, C.N. Qualitative inquiry and research design: Choosing among five approaches; Sage publications, 2016. [Google Scholar]
  41. Huberman, M.; Miles, M.B. The qualitative researcher's companion; sage, 2002. [Google Scholar]
  42. Malterud, K.; Siersma, V.D.; Guassora, A.D. Sample size in qualitative interview studies: guided by information power. Qualitative health research 2016, 26, 1753–1760. [Google Scholar] [CrossRef]
  43. Arifin, S.R.M. Ethical considerations in qualitative study. International journal of care scholars 2018, 1, 30–33. [Google Scholar] [CrossRef]
Figure 1. The Impactful and Non-Impactful Links.
Figure 1. The Impactful and Non-Impactful Links.
Preprints 104646 g001
Table 1. Interview Questions.
Table 1. Interview Questions.
RO1 Cultural norms, Values, and Religious Sensitivities prevalent
How do you perceive the cultural values and norms that influence HR practices and governance within your organization?
Can you provide examples of how cultural factors impact decision-making processes related to HR policies and governance initiatives?
How do you navigate religious sensitivities while implementing HR practices that align with organizational goals and values?
In your experience, what are the key challenges in reconciling cultural differences with the need for effective governance within your organization?
RO2 Enhance employee engagement and performance
How do you approach the task of customizing HR policies to accommodate cultural differences while promoting effective governance?
Can you share examples of cultural adaptation initiatives that have positively impacted employee engagement and performance?
What challenges have you encountered when implementing culturally adapted HR policies, and how have you addressed them?
In your opinion, how do culturally sensitive HR practices contribute to fostering a positive work environment and overall governance effectiveness?
RO3 Customize HR practices to reflect local cultural
What strategies do you employ to ensure that HR practices are tailored to local cultural norms while supporting the organization's strategic objectives?
Can you describe instances where HR practices have been successfully aligned with both cultural expectations and organizational goals?
How do you strike a balance between adapting HR practices for cultural sensitivity and maintaining consistency across the organization?
What role does leadership play in ensuring that customized HR practices contribute to effective governance while maintaining organizational cohesion
RO4 Assess the impact of culturally adapted HR practices
How do you perceive the influence of culturally adapted HR practices on fostering transparency and accountability within your organization?
Can you share examples of how culturally sensitive HR practices have contributed to ethical behavior and compliance with governance standards?
What indicators do you observe that suggest a link between culturally adapted HR practices and positive governance outcomes?
In your experience, how do culturally adapted HR practices contribute to building a culture of trust and ethical behavior among employees, enhancing overall governance?
Table 2. The Synthesis of main themes.
Table 2. The Synthesis of main themes.
Subthemes Sample Quotations Coded themes
Objective 1: Investigate Cultural Norms, Values, and Religious Sensitivities
Cultural Values "It's very important in our culture that we treat our older workers with dignity." Respect for Elders
Religious Practices “We rearrange schedules to accommodate religious observances when necessary”. Ritual Adaptation
Policy Code “Those who work for us can rest assured that our policy code adheres to Islamic practices”. Respect Islamic costume
Challenges “Finding a happy medium is challenging. We plan to modify how we assess productivity” Cultural Adaptation Challenges
Objective 2: Analyze Challenges and Opportunities of Cultural Adaptation
Consistency "It can be difficult to ensure uniformity throughout the company." Consistent Adaptation
Morale Boost “Employee satisfaction rose after we implemented these cultural shifts”. Improved Morale
Leveraging Diversity “When we modify our approach to human resources, our multicultural teams flourish”. Diversity Benefits
Avoiding Tokenism "It's more than just checking off a list. We take effort to make sure the changes actually mean anything”. Meaningful Adaptation
Objective 3: Examine Customization of HR Practices with Cultural Reflection
Employee Involvement “The participation of workers is crucial. They shed light on how to harmonize cultural modifications, which is crucial”. Employee Contribution
Balance “Customization doesn't have to lead to chaos. When it comes to cultural sensitivity, we try to strike a happy medium”. Adaptation Balance
Leadership Role “Leaders send a powerful statement when they advocate for and demonstrate cultural adaptation”. Leadership Influence
HR Practices as Mosaic “Imagine a mosaic, with each tile representing a different facet of culture”. Mosaic of Adaptation
Objective 4: Assess Impact of Culturally Adapted HR Practices on Governance
Trust and Transparency “Trust increases when we account for people's different cultural backgrounds. It's inevitable that openness will follow”. Trust and Transparency
Reduced Resistance "People are more open to change if they can see that changes are made with their values in mind." Change Acceptance
Sense of Belonging "Cultural adjustments foster an atmosphere where workers know they are appreciated." Belonging and Value
Reporting Misconduct "Workers are more likely to report problems when they feel the company values their cultural background." Reporting Encouragement
Table 3. The Code for the criteria.
Table 3. The Code for the criteria.
Criteria Code
Cultural Norms CN
Cultural Adaptation CA
Cultural Reflection CR
Cultural Governance CG
Table 4. The complete relation status among the criteria.
Table 4. The complete relation status among the criteria.
Criteria ri cj. ri + cj. ri - cj. Identity
CN 30.84452 30.71395 61.55846 0.130569 Cause
CA 31.7631 31.93707 63.70017 -0.17397 Effect
CR 31.87258 30.12867 62.00126 1.743912 Cause
CG 30.05739 31.75791 61.8153 -1.70051 Effect
Table 5. The Criteria Values for Interaction diagram.
Table 5. The Criteria Values for Interaction diagram.
Criteria CN CA CR CG
CN 7.4275 7.9850 7.5359 7.8962
CA 7.8793 7.9534 7.7486 8.1818
CR 7.9181 8.2294 7.5290 8.1961
CG 7.4890 7.7693 7.3152 7.4838
Disclaimer/Publisher’s Note: The statements, opinions and data contained in all publications are solely those of the individual author(s) and contributor(s) and not of MDPI and/or the editor(s). MDPI and/or the editor(s) disclaim responsibility for any injury to people or property resulting from any ideas, methods, instructions or products referred to in the content.
Copyright: This open access article is published under a Creative Commons CC BY 4.0 license, which permit the free download, distribution, and reuse, provided that the author and preprint are cited in any reuse.
Prerpints.org logo

Preprints.org is a free preprint server supported by MDPI in Basel, Switzerland.

Subscribe

Disclaimer

Terms of Use

Privacy Policy

Privacy Settings

© 2026 MDPI (Basel, Switzerland) unless otherwise stated