Preprint
Review

This version is not peer-reviewed.

Novel Technologies towards the Implementation and Exploitation of “Green” Wireless Agriculture Sensors

A peer-reviewed article of this preprint also exists.

Submitted:

23 April 2024

Posted:

24 April 2024

You are already at the latest version

Abstract
The manuscript presents the use of three novel technologies for the implementation of wireless green battery-less sensors that can be used in agriculture. The three technologies, namely additive manufacturing, energy harvesting, and wireless power transfer from airborne transmitters carried from UAVs, are considered for smart agriculture applications. Additive manufacturing is exploited for the implementation of both RFID based sensors and passive sensors based on humidity sensitive materials. A number of energy-harvesting systems at UHF and ISM frequencies are presented which are in position to power platforms of wireless sensors, including humidity and temperature IC sensors used as agriculture sensors. Finally, in order to provide the wireless energy to the soil-based sensors with energy harvesting features, wireless power transfer (WPT) from UAV carried transmitters is utilized. The use of these novel technologies can facilitate the extensive use and exploitation of battery-less wireless sensors which are environmentally friendly and thus “green”. Additionally, it can potentially drive precision agriculture in the next era, through the implementation of a vast network of wireless green sensors which can collect and communicate data, to airborne readers so as to support with data the Artificial Intelligence and Machine Learning based, decision making platforms.
Keywords: 
;  ;  ;  ;  ;  ;  ;  ;  

1. Introduction

The advances in technology and the need for sustainable agricultural practices are driving Precision Agriculture (PA) and Smart Farming (SF) [1]. The most widely used technologies involve the use of IoT devices, UAVs, AI, and big data analytics [2] to optimize crop production, water and nutrients allocation, and decision-making procedures. By integrating data from various types of sensors, farmers can precisely monitor and manage field conditions, leading to increased yields, while ensuring minimized negative environmental impact. The potentials of PA and SF smart farming include improved efficiency, cost savings, and the ability to address global food security challenges through data-driven agricultural practices tailored to local conditions.
The deployment of agriculture wireless sensors [3] has revolutionized farming practices by providing real-time data crucial for optimal crop management. The most widely used sensors in agriculture are moisture/humidity [4,5] and temperature sensors [6,7]. Soil moisture sensors aid in precise irrigation scheduling, while temperature sensors help prevent frost damage and optimize growing conditions. Crop health sensors, often utilizing multispectral imaging, enable early detection of pests and diseases. Since many sensors are wireless and widely scattered in large area fields, their precise location must also be monitored. For wireless IoT sensors [8,9], additive manufacturing [10] can provide an environment friendly biodegradable package [11]. In addition, additive manufacturing enables the rapid production of customized housing for wireless agriculture sensors, tailored to specific environmental conditions. By 3D printing sensor enclosures, farmers can design shapes optimized for the sensing feature and the deployment conditions. Overall, it streamlines sensor deployment [12], maintenance, and innovation in modern farming practices.
RF energy harvesting circuits [13] capture electromagnetic energy from ambient radio frequency signals, converting it into electrical power to sustain battery-less wireless IoT sensors [14,15]. Designated transmitters utilize the Wireless Power Transfer (WPT) [16] principle and emit radiation which is collected by wireless sensors with Energy Harvesting feature. This additional feature allows the wireless sensor platforms to eliminate the need for physical connections or batteries. By harvesting RF energy from surrounding wireless communication networks, or designated transmitters these circuits enable continuous operation of sensors in various environments. This approach enhances scalability and reliability while reducing maintenance costs and environmental impact, making it ideal for IoT deployments and remote monitoring applications. It is possible for these WPT transmitters to be carried from UAVs [17] in order to allow a short distance between the transmitter and the ground-based sensors. This customized WPT transmitter can be added to already used UAVs which are already exploited in PA [18] through high-resolution imaging, that allows farmers to monitor crops with precision and detect issues such as nutrient deficiencies, pest infestations, or irrigation problems. UAVs can swiftly cover large agricultural areas, providing timely data and potentially charge wirelessly a large number of IoT wireless sensors with Energy Harvesting capabilities.
The current manuscript presents methods of utilizing novel technologies such as a) additive manufacturing, b) RF energy harvesting and c) use of UAVs as WPT transmitter carriers, so as to support the implementation and exploitation of battery-less “green” wireless sensors.
Figure 1. Conceptual diagram of precision agriculture.
Figure 1. Conceptual diagram of precision agriculture.
Preprints 104623 g001

2. Additively Manufactured Passive Humidity Sensors

Soil humidity is one of the most important parameters that needs to be monitored and controlled for most agriculture crops. Therefore, the implementation of soil moisture sensors was set as one of the primary objectives of the ICARUS project. The use of additive manufacturing for the implementation of battery-less “green” sensors led to the design and manufacturing of passive humidity sensors where the sensing principle is based on the frequency shift that is caused from the wireless sensor’s antenna, as a result of the humidity variation. Two solutions were investigated. The first one was the use of a compact dipole antenna at 3.5 GHz, where the humidity sensitive PEDOT: PSS material was used, and the second one was the use of a UHF RFID antenna embedded in soil, which exploited the effective dielectric constant change, associated with the surrounding soil’s moisture.

2.1. A 3.5 GHz 3D Printed Dipole

The implemented dipole [19] consists of two metallic spirals and the termination load that consists of an inkjet-printed PEDOT: PSS material which is sensitive to humidity changes. 3D printing was used to implement the carriers of the metallic spirals and the sensing material cage that was porous in order to allow the penetration of the soil in the sensing material compartment. Figure 2 indicates the dipole’s geometric characteristics. The PEDOT: PSS block implements a termination load for the dipole and its effective impedance changes with different humidity levels. As a result, the effective resonance of the 3.5 GHz dipole shifts for different humidity levels and therefore the humidity can be indirectly identified. Table 1 presents the association of the effective εr with the recorded and verified moisture percentage for two frequencies, the introduced one at 3.5 GHz and the subsequent case where a UHF dipole at 915 GHz is used instead.
Figure 3 presents the frequency shifts of the 3D printed dipole associated with the varying dielectric constant which is the result of different humidity levels. Despite the simplicity of the passive humidity sensing, there are two important drawbacks that limit its applicability and usefulness. The first one is based on the repeatability and reliability of the used method. Effective εr can be affected by other parameters as well, such as the salinity of minerals in the soil, and as a result the detected frequency shifts cannot be exclusively associated with humidity changes. This can lead to inaccurate humidity readings. The second one is associated with the operation frequency. At 3.5 GHz the propagation in soil is very lossy and consequently the reading range of the wireless sensors is limited. In order to overcome the first drawback, the use of more reliable IC based digital sensors was preferred and it is discussed in Section 3. To overcome the read range limitations, the use of sensors operating at lower frequencies (under 1 GHz) was decided.

2.2. UHF 3D Printed Dipole

For the implementation of additively manufactured RFID based sensors [19], a paper substrate and inkjet printed conductive nano-particle ink is used. The printed planar folded dipole is depicted in Figure 4 and a 3D printed protective cover is used to protect the sensitive paper substrate. The capacitive load of the IC has impedance 13.3-j122, and the folded arms of the dipole add inductive load for the conjugate matching. Self-resonance in free space occurs at 915 MHz and when the sensor is embedded in soil the self-resonance shifts as can be seen in Figure 5. The higher the effective dielectric constant, the lower the self-resonance occurs. The association of the effective εr with the moisture percentage has been presented in Table 1. Although the read range is improved as a result of the lower propagation loss at the UHF frequency, the reliability and repeatability issues for the readings remain and this is why the use of IC humidity sensors has been preferred. To achieve high radiation efficiency UHF radiators need to be relatively large (in the order of half-wavelength) therefore part of the research effort was focused on the miniaturization of the antennas of the wireless sensors.

3. Agriculture Sensors with Energy Harvesting Feature

For the extensive use of wireless sensors which are needed for Precision Agriculture, battery-less sensors should be used to avoid the cost and time consumption from battery replacement and to avoid possible soil contamination from the batteries’ chemicals. PV cells are often used to power agriculture sensors, but this requires a large size sensor, and a large area and high-cost photovoltaic cell. It also requires direct exposure to the sun, in other words, it cannot be used for sensors which are implanted in soil. An alternative possibility is the use of RF energy harvesting. Any radiation transmitter that is used for communication purposes can be also used as a potential source of RF power. An antenna in combination with a rectifier (rectenna) can collect this RF power and convert it to DC power. This harvested energy can be used to power low-power sensors which act as transmitters for a short period of time, usually when interrogated by a designated reader, while they can remain in “listening mode” for a much longer period of time. During this period of time, they can harvest ambient RF power, or they can receive purposely transmitted wireless power in a designated Wireless Power Transfer (WPT) scheme, in order to power the associated sensor. If the real time converted power is insufficient for the needs of the sensors, a power management unit is also needed. The concept of the harvested energy in a wireless power transfer scheme is presented schematically in Figure 6. Depending on the implementation, the wireless sensor may use a common antenna for the communication and for the Energy Harvesting system, or it more often uses dual antennas with the first designated for the communication system and the second used for the Energy Harvesting system.
In the current section two implementations which use the UHF, and the ISM bands are presented.

3.1. ISM Transmitter for Sensors Integration with UHF Harvesting Feature

The dual frequency system uses a meander UHF antenna [20], integrated with a lumped elements rectifier and a power management unit (PMU) based on the e-peas AEM30940 IC [21]. For the communication module, a truncated- corners patch antenna with circular polarization is used which is connected to the TI CC2530 radio transceiver [22], integrating an Intel 8051 MCU, which adopts a protocol for communication named Simplicity. The TI developed module is suitable for integration with a variety of digital sensors including temperature and humidity sensors. The implemented wireless sensors platform with the integrated Energy Harvesting feature is presented in Figure 7.
A UHF meander monopole is used so as to reduce the overall size of the antenna. A radial stub is used to achieve the matching with the lumped elements rectifier. In order to avoid the large area required when distributed elements are used, lumped components are used instead. The equivalent circuit of the rectifier, with its return loss, and efficiency plots are presented in Figure 8. The implemented rectifier is composed of a lumped input matching network (an RF capacitor CMN1=0.5 pF, and a shorted RF inductor in parallel LMN=23 nH), two Schottky diodes D1 and D2 (Skyworks SMS7630-079LF [23]), two RF capacitors at 1 nF (CD=CLOAD). The termination resistive load is 12.9 KΩ (RLOAD) and is setting the cut-off frequency of the output low-pass filter before the input stage of the subsequent PMU module.
For the implementation of the PMU e-peas AEM30940 IC has been selected. This IC can support a cold start from 380 mV which can be activated for an input power equal to –22 dBm. After the cold start, assuming that the input voltage is between 50 mV and 5 V, the PMU integrated boost converter can extract the available power from the source. This performance makes the specific lumped elements rectifier operational for input power as low as –32 dBm. This proposed PMU IC is able to supply with low-voltages (up to 1.8 V) and typically drive a low-power microcontroller unit (MCU) like the used TI CC2530 IC which is powered without the need of a battery source, providing a battery-less platform for agriculture sensors.

3.2. UHF Sensor Platform with an ISM Integrated Energy Harvesting Feature

An IC sensor for temperature and humidity sensing capabilities is integrated in a similar platform where the UHF band is used for the communication module and the ISM band is used for the Energy Harvesting [24]. A PIFA antenna and a series rectifier operating at 2.45 GHz (ISM band), implement the energy harvesting unit that in combination with the PMU, replace the need for a battery. The PMU based on the e-peas AEM30940 IC provides a regulated 1.8V DC voltage to the RFID tag IC (ROCKY100 [25]) assuming that the input RF power is higher than -22 dBm. For the sensing information communication, a UHF meander dipole antenna is used that operates at 915 MHz. When the regulated 1.8V is supplied from the PMU, the tag IC operates in semi-passive mode, and it effectively increases its read range. The used RFID IC is the ROCKY100 which is EPC C1G2 compliant and is compatible with power harvesting modules and SPI communication. This makes it compatible with the PMU and with the HTS221 humidity and temperature IC sensor [26] which can be used for agriculture applications that involve soil measurements. The conceptual module and the IC layout of the proposed UHF platform with the integrated Energy Harvesting feature can be seen in Figure 9. The process for measuring the relative humidity and temperature is controlled with a Texas instrument mixed signal microcontroller including two SPI interfaces to communicate with the RFID IC. Upon receiving a SPI directed read request from the RFID reader, the ROCKY100 SPI bridge requests the value of the last measurement. Then, the recorded reading from the HTS221 IC is sent to the RFID IC and from there to the RFID reader. The use of the integrated energy harvesting feature results in the enhancement of the read range of the wireless sensor and a battery-less and thus “Green” operation.
The commercially available HTS221 is a sensor for relative humidity and temperature sensing that includes a sensing element and can operate over a temperature range of -40o C to +120o C. The sensor IC requires a low supply voltage that can be covered from the low voltage output terminal of the PMU which is regulated at 1.8 V. The sensing element is integrated with an IC able to communicate the sensed information in the form of a digital signal to the microcontroller through the I2;C/SPI (Inter-Integrated Circuit)/ (Serial port interface) interface. Considering that a commercially available temperature and humidity IC sensor is used, emphasis is given on the implementation of the Energy Harvesting module and the UHF communication antenna. The two antennas with their measured insertion loss are presented in Figure 10.
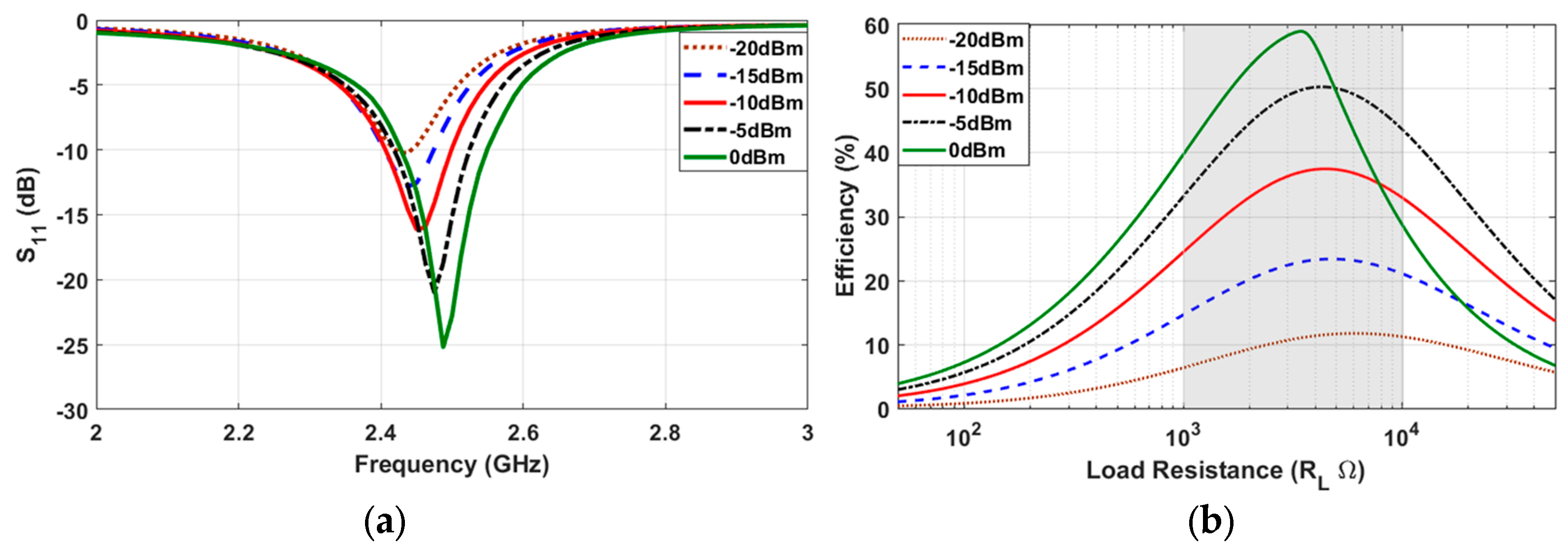
A voltage doubler topology is used as a rectifier. Despite its inherent non-linear nature, it is well matched for different levels of input power ranging from -20 dBm to 0 dBm, as can be seen in the response in Figure 11. The effective RF-to-DC efficiency depends heavily on the input power, and it has a peak value at almost 60% for input power at 0 dBm (Figure 11).
The presented battery-less RFID based humidity and temperature sensor with the integrated Energy Harvesting feature presents a “green” solution for agriculture applications. The sensing module utilizes the harvested power from the PMU to power up the ROCKY100 RFID IC. With the provided power, the IC operates in semi-passive mode, and it significantly increases its read range. The sensing information is communicated as a digital signal from the digital capacitive HTS221 humidity sensor using the SPI and I2C interface pins, and the data is transferred to the RFID IC through the MSP430 ultra-low-power microcontroller [27]. When an interrogation read command is received, the sensor data is transmitted to the RFID reader along with the RFID tag ID, through the RFID UHF meander dipole.

4. Wireless Power Transfer from UAV Carried Transmitters

Energy Harvesting feature of green wireless sensor platform is utilized when a transmitter is designated with the wireless charging of the sensors. This can be accomplished with Wireless Power Transfer which is the radiation of un-modulated waves (power) directed in high gain beams in order to increase the power density at the receivers. Considering the free space losses, it is often critical to maintain a small distance between the transmitter and the receiver modules. Carrying the transmitter on a flying UAV provides some control on the distance between a mobile transmitter and a stationary ground-based receiver.

4.1. WPT at 915 MHz

Wireless charging from a UAV-carried transmitter towards ground-based sensor platforms with Energy Harvesting feature has been tested. In the described experiment the block diagrams of both the transmitter and receiver modules are presented in Figure 12.
For the experimental setup of wireless power transfer from a UAV carried Transmitter (TX) to the ground based, sensors, the 915 MHz (UHF) frequency was used so as to minimize the free space losses. In order to integrate the entire TX system on a flying UAV, a portable signal generator was used that produces 0 dBm output power at 915MHz and was powered by a light-weight power bank. For boosting the TX power purposes, a power amplifier at 915 MHz was used that had 30 dB gain. For the transmitter antenna a compact patch with gain 2 dBi was used.
On the receiver (RX) side, the compact circularly polarized antenna with gain 2 dBi was used in combination with a voltage doubler rectifier at 915MHz. The rectified voltage was stored in a commercially available Power Management Unit (PMU) with a 4.7 mF capacitor as the power storage element.
For the experimental setup, a UAV with the transmitter was hovering at a height of 1.6 m from the ground. One Energy Harvesting receiver (Figure 11) was placed in each of the 25 grid points (Figure 13) and the voltage on the 4.7 mF storage capacitor was monitored until it reached the maximum output voltage from the PMU.
There are six cases presented in Table 2, where the Energy Harvesting receiver was placed at six different positions which are numbered on the rectangular grid on the ground. For each case and considering that the UAV was hovering at a fixed position 1.6 m over square 13, the elevation and azimuthal angles are marked. The charging times which are recorded indicate the time that is needed, under the aforementioned conditions, for the 4.7 mF storage capacitor, to reach 1.2V, 1.8V, 3.3V and 3.5V respectively. These voltage levels are associated with the output voltage which can be provided from the PMU. According to the PMU specifications, the maximum voltage that can be supplied to the storage element is 4V. The storage capacitor provides the necessary power to the sensing board that is connected to the PMU when there is no RF power available. The graphs of all six cases energy storage (mJ) in a charging capacitor versus charging time (mins) are plotted in Figure 14. Expectedly the closer a rectenna is the higher level of power it receives and consequently, the faster the charging element acquires sufficient energy to power the communication module. In conclusion, the experimental setup indicated that the implemented Energy Harvesting module can provide sufficient power to allow the battery-less operation of the used sensors and for the given transmitter specifications the RF energy harvesting was possible for a maximum distance of 18 m under optimum antenna orientation and polarization conditions.

4.2. Communication Range between the UAV-Carried RFID Reader and the UHF Communication Module

The block diagram of the UAV-carried communication system is presented in Figure 15. The communication module consists of three sub-systems. The WPT system has been described in the previous section. There is also a portable UAV reader for the communication with the RFID-enabled sensors as well as a module that communicates with a base station over WiFi. This is implemented using an Arduino UNO microcontroller board with an ESP8266 Wi-Fi communication module.
Based on the power consumption data in Table 3 which summarizes the power consumption of the individual sensing components, the entire sensing module consumes around 0.5 mW that can be easily provided by the PMU storage capacitor which can store up to 30 mJ or energy. This power can be provided for sufficient time for tens of read cycles from the RFID reader. The charging time depends upon the receiver’s distance from the transmitter. As per the measured data extracted from Table 2, if the receiver is placed 1.6-1.87 m away from the transmitter, it will take approximately one minute for the PMU to charge the capacitor and be in position to provide 0.5 mW to the sensing module for its operation. Similarly, if the receiver is placed 2-2.5m far from the WPT transmitter, it will need approximately 2 minutes for the PMU to get charged and be able to provide 0.5 mW to the sensing module.
For the conducted experiment, the UHF Foncan reader [28] used transmission (TX) power 23 dBm and the gain of the transmitter antenna was 2dBi. Under these conditions, the maximum read-range of the passive tag was up to 2m and in the semi-passive or WPT enabled mode the best case scenario read range was almost 5 m. When a power amplifier is added and a higher gain (7 dBi) antenna is used as the transmitter antenna, the transmitter power rises at 33 dBm, the read-range of the passive UHF tag with the ROCKY100 RFID IC was tested up to 11 m and for the semi-passive tag with the Energy Harvesting feature that was described in section 3, the read range was 25m (under optimal antenna orientation and polarization conditions).
The RFID tag read range was enhanced by operating the tag in semi-passive mode when the required DC power was provided from the RF energy harvesting module that was integrated with the humidity sensors. For the on-field testing, a customized UAV carried reader and the customized sensors were used. Each sensing module consumes approximately 0.5 mW of power. This power can be provided for sufficient time from the energy that is stored in the storage capacitor (~ 30 mJ) assuming that the high voltage terminal of the PMU is used. The point-to-point communication between two microcontrollers (one deployed on the flying UAV and another at the base station) is effective up to 50 m using omni-directional antenna at the base station. The maximum reading distance of the UAV reader depends on the EIRP. For the maximum transmitted power at +33dBm and transmitter antenna gain at 7 dBi, the maximum reading range was 25 m for the semi-passive tag and 11 m for the tag operating in the passive mode. The RFID reader can simultaneously read more than 20 sensors scattered in an open field. The flying time of the UAV depends on the external load and the size of the battery.
The on-field testing demonstrated the feasibility of WPT from a UAV to wireless sensors with Energy Harvesting feature. The conducted experiment demonstrated the effectiveness and the usefulness of using UAV-carried readers, to collect data from battery-less “green” agriculture sensors.

4.3. UAV Readers with Beam-Forming Capability

The experiments indicated that using high gain antennas can significantly increase the charging and the reading distances, and can also support the simultaneous charging of several wireless sensor platforms with Energy Harvesting feature. This observation led to the design of a UAV-carried beam-forming array which can direct the maximum gain of the radiation beam in 5 different pre-determined directions along two perpendicular planes [29]. The concept idea and a prototype conformal cross-shaped array designed for the ISM band at 2.4 GHz are presented in Figure 16.
For the prototype implementation, the ISM band was preferred because the two 3x1 linear arrays of patch radiators would be much bigger if the UHF band was used instead. Beam forming is supported using a reconfigurable phase shifter in series with a power combiner. For the three radiating elements in each of the two 3x1 arrays, the power ratios at 1:2:1 and the phase difference of the three adjacent driving currents can be either 0o or +120o or -120o. As a result, the main beam can be directed underneath the UAV, to form a 37o angle with the vertical axis, either to the left or to the right. The maximum gain for the 3x1 array is 9 dBi and, under optimum orientation conditions, it can quadruple the reading range between the UAV-carried reader and a ground-based sensor.

5. Conclusions

The manuscript provides a comprehensive report of the research findings of the research project ICARUS [30] that investigated the use of additive manufacturing, energy harvesting, and the use of UAVs as carriers of Wireless Power Transfer transmitters and their implementations as part of Precision Agriculture applications. 3D printing and inkjet printing were demonstrated for the implementation of passive humidity sensors. Based on the accuracy and repeatability limitations, the use of commercially available humidity and temperature IC sensors was considered. The IC sensors were integrated on sensor platforms that were using emerging harvesting circuits. Both UHF and ISM bands were used for communication and the energy harvesting module. It was demonstrated that a semi-passive RFID based humidity sensor can quadruple its read range (+ 6 dB) when it was powered by harvested RF energy that was collected by the Energy Harvesting system integrated in the sensor’s platform.
Finally, an experimental setup was described that used a UAV-carried WPT transmitter to charge a 4.7 mF capacitor used to store the harvested energy from a ground-based sensor platform. The efficient and effective charging of the customized Energy Harvesting system was demonstrated for distances up to several meters. Wireless charging was demonstrated with uni-directional antennas on the transmitter and the receiver for a distance up to 5 m and, under optimal orientation and polarization conditions, it could be supported for a distance up to 18 m. The harvested energy was used to power the RFID IC that was able to increase its read range from 9 m to 25 m proving that UAVs can be used to collect data and power RFID-based ground sensors, suitable for Precision Agriculture applications.

Author Contributions

“Conceptualization, L.V. and S.N.; methodology, A.N. and D.C.; validation, A.N., D.C. and L.V.; formal analysis, A.N., D.C.; investigation, L.V.; resources, L.V. and A.N.; data curation, A.N.; writing—original draft preparation, L.V., S.N, ; writing—review and editing, S.N., P.V. ; visualization, A.N.; supervision, P.V.; project administration, S.N.; funding acquisition, S.N. All authors have read and agreed to the published version of the manuscript.

Funding

This research was funded by Cyprus Research and Innovation Foundation under the Project SMALL SCALE INFRASTRUCTURES/1222/0087 LARISSA-6G that is implemented under the Cohesion Policy Funds “THALEIA 2021-2027” with EU co-funding. This work was also supported in part by the European Commission Horizon 2020 programme via the CompSafeNano (Grant Agreement No. 101008099) project.

Conflicts of Interest

The authors declare no conflicts of interest.

References

  1. Singh, V. Advances in Precision Agriculture Technologies for Sustainable Crop Production. Journal of Scientific Research and Reports. 2024, 30, 61–71. [Google Scholar] [CrossRef]
  2. Misra, N. N.; Dixit, Y.; Al-Mallahi, A.; Bhullar, M. S.; Upadhyay, R.; Martynenko, A. IoT, Big Data, and Artificial Intelligence in Agriculture and Food Industry. IEEE Internet of Things Journal. 2022. vol. 9, no. 9, pp. 6305–6324.
  3. Tagarakis, A.C.; Kateris, D.; Berruto, R.; Bochtis, D. Low-Cost Wireless Sensing System for Precision Agriculture Applications in Orchards. Appl. Sci. 2021, 11, 5858. [Google Scholar] [CrossRef]
  4. Bošković, M.V.; Šljukić, B.; Vasiljević Radović, D.; Radulović, K.; Rašljić Rafajilović, M.; Frantlović, M.; Sarajlić, M. Full-Self-Powered Humidity Sensor Based on Electrochemical Aluminum–Water Reaction. Sensors 2021, 21, 3486. [Google Scholar] [CrossRef] [PubMed]
  5. Kim, J.; Cho, J.-H.; Lee, H.-M.; Hong, S.-M. Capacitive Humidity Sensor Based on Carbon Black/Polyimide Composites. Sensors 2021, 21, 1974. [Google Scholar] [CrossRef] [PubMed]
  6. Martins, J. E. M. P. Physical Analysis of a Waterproof Temperature Sensor Responsiveness for Agricultural Applications. Journal of Agricultural Informatics, 2023, 13.
  7. Song, C.; Liu, P.; Liu, X.; Liu, L.; Yu, Y. Configuration Optimization of Temperature–Humidity Sensors Based on Weighted Hilbert–Schmidt Independence Criterion in Chinese Solar Greenhouses. Agriculture 2024, 14, 311. [Google Scholar] [CrossRef]
  8. Xu, J.; Gu, B.; Tian, G. Review of agricultural IoT technology, Artificial Intelligence in Agriculture, Volume 6, 2022, Pages 10-22, ISSN 2589-7217.
  9. Chai, K. H. , Azizi, M. M. F., Romeli, S., & Lau, H. Y. A Deployment of IoT sensors in the revolution of agriculture: IoT sensors in agriculture. RA Journal of Applied Research 2023, 9, 306–330. [Google Scholar]
  10. Bhandari, S. ; Krishnanand, Singh A., Taufik M. 3D printing methods and materials for sensor fabrication, Materials Today: Proceedings, 2023, ISSN 2214-7853.
  11. Gopalakrishnan, S. , Waimin, J. , Zareei, A. et al. A biodegradable chipless sensor for wireless subsoil health monitoring. Sci Rep 2022, 12, 8011. [Google Scholar]
  12. Hassan, M.S.; Zaman, S.; Dantzler, J.Z.R.; Leyva, D.H.; Mahmud, M.S.; Ramirez, J.M.; Gomez, S.G.; Lin, Y. 3D Printed Integrated Sensors: From Fabrication to Applications—A Review. Nanomaterials 2023, 13, 3148. [Google Scholar] [CrossRef] [PubMed]
  13. Bougas, I.D.; Papadopoulou, M.S.; Boursianis, A.D.; Kokkinidis, K.; Goudos, S.K. State-of-the-Art Techniques in RF Energy Harvesting Circuits. Telecom 2021, 2, 369–389. [Google Scholar] [CrossRef]
  14. Dang, T. H.; Tran, V. T.; Chung, W. Y. B2EH: Batteryless BLE Sensor Network Using RF Energy Harvesting. In IEEE Applied Sensing Conference (APSCON), Bengaluru, India, 2023, pp. 1–4.
  15. Grosinger, J.; Görtschacher, L.; Bösch, W. Sensor add-on for batteryless UHF RFID tags enabling a low cost IoT infrastructure. In IEEE MTT-S International Microwave Symposium (IMS), San Francisco, CA, USA, 2016, pp. 1–4.
  16. Ayir, N.; Riihonen, T. Impact of Software-Defined Radio Transmitter on the Efficiency of RF Wireless Power Transfer. In IEEE Wireless Power Transfer Conference (WPTC), Seoul, Korea (South), 2020, pp. 83–86.
  17. Chien, W. C.; Hassan, M. M.; Alsanad, A.; Fortino, G. UAV–Assisted Joint Wireless Power Transfer and Data Collection Mechanism for Sustainable Precision Agriculture in 5G. In IEEE Micro, vol. 42, no. 1, 1 Jan-Feb 2022, pp. 25–32.
  18. Liu, Z.; Li, J. Application of Unmanned Aerial Vehicles in Precision Agriculture. Agriculture 2023, 13, 1375. [Google Scholar] [CrossRef]
  19. Chatzichristodoulou, D.; Quddious, A.; Vassiliou, L.; Shoaib, N.; Vryonides, P.; Nikolaou, S. Additive manufacturing techniques for 5G IoT antennas and sensors. In IEEE 15th European Conference on Antennas and Propagation (EuCAP), 2021, March, pp. 1–5.
  20. Chatzichristodoulou, D.; Quddious, A.; Paolini, G.; Masotti, D.; Costanzo, A.; Vryonides, P.; Nikolaou, S. UHF and ISM Band MIMO Antenna for an Energy-Autonomous SWIPT system. In 2022 IEEE International Symposium on Antennas and Propagation and USNC-URSI Radio Science Meeting (AP-S/URSI), July 2022, pp. 191–192.
  21. E-peas. Available online: https://e-peas.com/product/aem30940/ (accessed on Wednesday January 2024).
  22. Texas Instruments. Available online: https://www.ti.com/product/CC2530 (accessed on Monday March 2023).
  23. Skyworks. Available online: https://www.skyworksinc.com/Products/Diodes/SMS7630-Series (accessed on Thursday December 2022).
  24. Nadeem, A.; Chatzichristodoulou, D.; Vassiliou, L. ; Vryonides, P; Nikolaou, S. Energy Harvesting Supported Humidity Sensor for Agriculture Applications. In proceedings of Sensors and Electronic Instrumentation Advances (SEIA) 2022; p. 161.
  25. Rtutech. Available online: http://www.rtutech.com/28web/Upload/20181225105747967.pdf (accessed on Monday October 2023).
  26. ST Microelectronics. Available online: https://www.st.com/en/mems-and-sensors/hts221.html (accessed on Sunday May 2023).
  27. Texas Instruments. Available online: https://www.ti.com/sc/docs/products/micro/msp430/39113.pdf (accessed on Monday December 2023).
  28. Alibaba. Available online: https://www.alibaba.com/product-detail/support-Android-Windows-OS-FM-503_62118504782.html (accessed on Sunday April 2024).
  29. Nadeem, A.; Chatzichristodoulou, D.; Kiani, H.; Quddious, A.; Vassiliou, L.; Shoaib, N.; Vryonides, P.; Nikolaou, S. Transmitter Considerations for 5G Wireless Powered Sensor Networks. In 16th European Conference on Antennas and Propagation (EuCAP), March 2022, pp. 1–5.
  30. Frederick. Available online: https://icarus.frederick.ac.cy/ (accessed on Friday April 2024).
Figure 2. 3D printed dipole for humidity sensing; Dimensions (mm): W=15.1, L=68, l1=10, l2=3, l3=9, l4=8.5, w1=3, w2=5, N=3.5.
Figure 2. 3D printed dipole for humidity sensing; Dimensions (mm): W=15.1, L=68, l1=10, l2=3, l3=9, l4=8.5, w1=3, w2=5, N=3.5.
Preprints 104623 g002aPreprints 104623 g002b
Figure 3. Self-resonance shifts in the presence of varying moisture soil.
Figure 3. Self-resonance shifts in the presence of varying moisture soil.
Preprints 104623 g003
Figure 4. RFID dipole for humidity sensing; Dimensions (mm): W= 16, L= 96, l1= 20, l2= 19, l3= 12, l4= 2.5, l5= 31, w1= 13.6, w2= 2.5, w3= 2.4, w5= 6.
Figure 4. RFID dipole for humidity sensing; Dimensions (mm): W= 16, L= 96, l1= 20, l2= 19, l3= 12, l4= 2.5, l5= 31, w1= 13.6, w2= 2.5, w3= 2.4, w5= 6.
Preprints 104623 g004
Figure 5. Self-resonance shifts in the presence of varying moisture soil.
Figure 5. Self-resonance shifts in the presence of varying moisture soil.
Preprints 104623 g005
Figure 6. Wireless Power Transfer to a sensor with Energy Harvesting feature.
Figure 6. Wireless Power Transfer to a sensor with Energy Harvesting feature.
Preprints 104623 g006
Figure 7. (a) Schematic of the modules’ antennas; Dimensions (mm): L= 100, W= 47, la1= 18.4, la2= 16.5, la3= 37.5, la4= 62, lb= 24.5, lg= 75, wa1= 18.4, wa2= 18.4, wb= 24.5, wg= 35. (b) Prototype with the embedded circuits implementation with the rectifier, the PMU, and the communication module in a single board.
Figure 7. (a) Schematic of the modules’ antennas; Dimensions (mm): L= 100, W= 47, la1= 18.4, la2= 16.5, la3= 37.5, la4= 62, lb= 24.5, lg= 75, wa1= 18.4, wa2= 18.4, wb= 24.5, wg= 35. (b) Prototype with the embedded circuits implementation with the rectifier, the PMU, and the communication module in a single board.
Preprints 104623 g007
Figure 8. Lumped elements rectifier with insertion loss (|S11|) and efficiency (PEC) plots.
Figure 8. Lumped elements rectifier with insertion loss (|S11|) and efficiency (PEC) plots.
Preprints 104623 g008
Figure 9. Block diagram and IC layout of the implemented module.
Figure 9. Block diagram and IC layout of the implemented module.
Preprints 104623 g009
Figure 10. PIFA antenna for the Energy harvesting ISM module and meander monopole for the communication UHF module.
Figure 10. PIFA antenna for the Energy harvesting ISM module and meander monopole for the communication UHF module.
Preprints 104623 g010
Figure 11. Matching and efficiency of the implemented voltage doubler rectifier.
Figure 11. Matching and efficiency of the implemented voltage doubler rectifier.
Preprints 104623 g011
Figure 12. WPT experiment – TX and RX building blocks.
Figure 12. WPT experiment – TX and RX building blocks.
Preprints 104623 g012
Figure 13. 5x5 square grid for the experimental setup.
Figure 13. 5x5 square grid for the experimental setup.
Preprints 104623 g013
Figure 14. Charging time for a 4.7 mF capacitor to reach the maximum voltage of 3.5 V when the distance between the transmitter and the Energy Harvesting system is varied.
Figure 14. Charging time for a 4.7 mF capacitor to reach the maximum voltage of 3.5 V when the distance between the transmitter and the Energy Harvesting system is varied.
Preprints 104623 g014
Figure 15. Communication module consists of RFID reader and WPT transmitter.
Figure 15. Communication module consists of RFID reader and WPT transmitter.
Preprints 104623 g015
Figure 16. Beam forming concept and the insertion loss of the prototype cross-shaped array at 2.4 GHz.
Figure 16. Beam forming concept and the insertion loss of the prototype cross-shaped array at 2.4 GHz.
Preprints 104623 g016
Table 1. The real part of permittivity and loss tangent associated with verified humidity percentage.
Table 1. The real part of permittivity and loss tangent associated with verified humidity percentage.
For 3.5 GHz
εr 2 4 7 8 10 12 15 19
tanδ 0.05 0.13 0.15 0.19 0.22 0.25 0.28 0.31
% of moisture 0 5 10 13 15 17 20 25
For 915 MHz
εr 2 5 8 9 11 14 18 22
tanδ 0.08 0.16 0.22 0.25 0.30 0.31 0.36 0.4
% of moisture 0 5 10 13 15 17 20 25
Table 2. Measurement data of six cases.
Table 2. Measurement data of six cases.
Grid No. Distance (m) θangle (degree) φangle
(deg)
Charging time (mins)
(1.2 V) 3.38 mJ (1.8 V)
7.61 mJ
(3.3 V)
25.6 mJ
(3.5 V)
28.8 mJ
13 1.6 0 0 3.5 5.5 8 9
14 1.87 0 30 4 6.5 10 12
15 2.56 0 50 5.5 8.5 17 19
10 2.75 25 55 5.5 8 15 19
9 2.14 45 40 5 7 13 14
5 3.25 45 60 7 10 18 22
Table 3. Power consumption of sensing module.
Table 3. Power consumption of sensing module.
Components Power Consumption
Consumed Power Unit
RFID IC
ROCKY100
12.6 μW
MCU
MSP430FR2355
468.6 μW
Humidity and Temperature Sensor
SHT40
1.6 μW
Disclaimer/Publisher’s Note: The statements, opinions and data contained in all publications are solely those of the individual author(s) and contributor(s) and not of MDPI and/or the editor(s). MDPI and/or the editor(s) disclaim responsibility for any injury to people or property resulting from any ideas, methods, instructions or products referred to in the content.
Copyright: This open access article is published under a Creative Commons CC BY 4.0 license, which permit the free download, distribution, and reuse, provided that the author and preprint are cited in any reuse.
Prerpints.org logo

Preprints.org is a free preprint server supported by MDPI in Basel, Switzerland.

Subscribe

Disclaimer

Terms of Use

Privacy Policy

Privacy Settings

© 2026 MDPI (Basel, Switzerland) unless otherwise stated