Preprint
Article

This version is not peer-reviewed.

Detecting DoS Attacks through Synthetic User Behavior with Long-Short Term Memory Network

A peer-reviewed article of this preprint also exists.

Submitted:

14 April 2024

Posted:

19 April 2024

You are already at the latest version

Abstract
With the escalation of size and complexity of modern Denial of Service attacks, there is a need for research in the context of Machine Learning (ML) used in attack execution and defense against such attacks. This paper investigates the potential use of ML in generating behavioral telemetry data using Long-Short Term Memory network and spoofing requests for the analyzed traffic to look legitimate. For this research, a custom testing environment was built, that listens for mouse and keyboard events and analyzes them accordingly. While the economic feasibility of this attack currently limits its immediate threat, advancements in technology could make it more cost-effective for attackers in the future. Therefore, proactive development of countermeasures remains essential to mitigate potential risks and stay ahead of evolving attack methods.
Keywords: 
;  ;  ;  

1. Introduction

Modern Denial of Service (DoS) attacks are becoming larger and more sophisticated every year, which imposes the need for robust defense mechanisms utilizing cutting-edge technologies [1,2,3]. With ML emerging as a promising tool in not only defence but also attack execution, it becomes necessary to explore its potential usage by attackers and to stay ahead of evolving threats. This study investigates the feasibility of leveraging ML for DoS attack detection by generating behavioral telemetry data using Long-Short Term Memory (LSTM) network [4] and Bezier Curves and crafting spoofing requests to make the analyzed traffic appear legitimate.
While previous research has explored ML-based approaches for DoS attack detection and mitigation [5,6], few have examined the potential of generating realistic attack traffic through ML itself. Those mainly revolve around adversarial ML attacks using generative adversarial networks (GANs) that can successfully evade an ML-based Intrusion Detection System (IDS) [7,8]. This gap presents an opportunity to deepen our understanding of attacker capabilities and develop proactive countermeasures.
This research contributes to the field by:
  • Demonstrating the potential of LSTM networks to generate realistic behavioral telemetry data that can be used for DoS attack simulations.
  • Evaluating the effectiveness of spoofing requests in masking attack traffic and challenging current detection methods.
  • Analyzing the economic feasibility of ML-based DoS attacks and highlighting the need for proactive countermeasures despite current limitations.
Our findings aim to advance the development of ML-based DoS attack detection systems by providing valuable insights into attack methodologies and potential blind spots in existing defenses.

2. Related Work

In paper [9], the authors propose an adversarial DBN-LSTM method for detecting and defending DDoS attacks. The key point of the system is the adversarial DBN-LSTM anomaly detection method. It can generate several adversarial samples and build adversarial datasets using the GAN model. Moreover, other proposal have been presented to improve the performance of the system:
  • implementation of DBN for data dimensionality reduction,
  • implementation of LSTM to extract sample timing features to detect IP flow records and identify adversarial DDoS attacks.
The simulation experiments show that the proposed method can effectively detect DDoS attacks and improves system sensitivity to adversarial attacks. In this paper, we propose some new techniques to protect systems against the ML-based DoS attacks.
The authors of [10] presented a CGAN-based intrusion detection system against DDoS attacks on IoT networks. The core of the system is the mechanism which generates synthetic traffic mapping known patterns and completely new network discriminator network to detect anomalies. The obtained results confirm that the generated dataset significantly improved the detection effectiveness. An important element of the entire solution is the mechanism based on deep learning classifiers. In our proposal, we use different ML-based models to detect specific DoS attacs.
In [11], the LSTM-based system was proposed to detect and prevent DDoS attacks in a public cloud networks. The system was designed based on a signature-based attack detection approach. The accuracy rate is on the level of 99.83% according to the CICDDoS2019 data set. The simulation results confirm that the prevention part of the system obtained a performance as good as for the previous studies conducted with different DL algorithms on the same and different datasets. In our approach, we use the LSTM-based system with data generated by behavioral telemetry. This is unique for currently known studies.
The review of currently known deep learning based approaches for detecting DDoS attacks is presented in [12]. The review is provided classifying the papers into five main research areas:
  • types of DDoS attack detection deep learning approaches,
  • methodologies, strengths, and weaknesses of existing deep learning approaches for DDoS attacks detection,
  • benchmarked datasets and classes of attacks in used datasets,
  • the preprocessing strategies, hyperparameter values, experimental setups, and performance metrics,
  • the research gaps, and future directions.
Another review which presents different approaches to detecting DDoS attacks, using machine learning techniques is presented in [13]. Analyzed techniques, such as k-means, K-Nearest Neighbors, and Naive Bayes used in intrusion detection systems and flow-based intrusion detection systems were considered for review. In the review the high-speed network accuracy evaluation factors are highlighted. They provide a detailed DDoS attack taxonomy, and classifies detection techniques. Sevelat types of attacs were considered, e.g., Zero-Day Attacks, Reflection Attacks, DNS Amplification or SYN Flood.
The mechanism proposed in our paper has not been noticed in the analyzed literature presented in both review papers presented above.

3. Testing Environment

The testing environment simulates a simple login/register website utilizing JavaScript listeners for background data collection. Upon a user’s visit to the application, a continuous stream of requests to "telemetry.js" is initiated. This script captures both mouse position and keyboard key press timestamps, sending them to the server via POST requests. The pseudocode in Algorithm 1 outlines the implemented logic.
Algorithm 1 Telemetry Data Collection
  • upon Document is fully loaded do  
  •      on KeyDown event on window do  
  •            t i m e s t a m p Current timestamp  
  •           Call SendTelemetryData with ’keyboard’ and t i m e s t a m p   
  •      end on  
  •      on MouseMove event on window do  
  •            t i m e s t a m p Current timestamp  
  •            m o u s e X Mouse X coordinate from event  
  •            m o u s e Y Mouse Y coordinate from event  
  •           Call SendTelemetryData with ’mouse’, t i m e s t a m p , m o u s e X , m o u s e Y   
  •      end on  
  •      function SendTelemetryData(eventType, timestamp, x, y)  
  •           Send POST request to ’/track_telemetry’ with event data  
  •           on Response received do  
  •                Log response message  
  •           end on  
  •      end function  
  • end upon
Collected data is stored in two dedicated databases:
  • Telemetry Database, which captures user interactions with the website, including:
    • Event ID (unique identifier),
    • IP address and source port,
    • Event type (keyboard or mouse),
    • Timestamp,
    • Mouse X and Y coordinates (applicable only for mouse events);
  • Request Database, which logs information about individual requests made to the website, such as:
    • Request ID (unique identifier),
    • Telemetry data hash (linking request to interaction),
    • IP address and source port,
    • Timestamp (time of current request),
    • HTTP headers, status code, method, hostname, path,
    • Interaction start time (when was first GET request to critical endpoint sent).
To enhance security, user behavior data (telemetry) is collected only on critical pages like login and register. This allows us to focus verification efforts on areas with heightened risk of bot activity. Specifically, a unique telemetry hash is calculated after credentials are submitted via a POST request.
The hash generation process, outlined in Algorithm 2, considers two key factors:
  • Mouse movement: We capture a string representing mouse position points throughout the interaction,
  • Keystroke cadence: The average time between key presses is calculated based on timestamps collected since the page loaded successfully.
Algorithm 2 Telemetry Data Hash
  • function SendRequestData  
  •       t i m e s t a m p Current datetime  
  •       r e s p Request headers as dictionary  
  •       t e l e m e t r y _ h a s h ’N/A’  
  •      Initialize database cursor c o n n   
  •      if Request method is ’POST’ then  
  •           Retrieve telemetry data between interaction start and current timestamp  
  •            d a t a Fetched data  
  •           if  d a t a is not empty then  
  •                 Initialize t e l e m e t r y _ s t r , k e y _ t i m e s t a m p s , t o t a l _ t i m e _ d i f f , c o u n t   
  •                 for each entry d in d a t a  do  
  •                      if  d [ 3 ] is ’mouse’ then  
  •                            Append mouse coordinates to t e l e m e t r y _ s t r   
  •                      else if  d [ 3 ] is ’keyboard’ then  
  •                            Add d [ 4 ] to k e y _ t i m e s t a m p s   
  •                      end if  
  •                 end for  
  •                 Calculate average time between key presses  
  •                 Append average time to t e l e m e t r y _ s t r   
  •                 Compute hash of t e l e m e t r y _ s t r   
  •           end if  
  •           Insert request data into the database  
  •      end if  
  •      Commit changes to the database  
  •      Close database connection  
  • end function

3.1. Attack Execution

The attack begins by stealthily gathering crucial information about the target login page. This involves pinpointing the exact positions of input boxes and the submit button, as meticulously outlined in Algorithm 3.
Algorithm 3 Get Initial Position of Element
  • function GetInitialPosition(host, path, element_id, offset)  
  •       Initialize headless Chrome browser with fullscreen and SSL error ignore options  
  •       Navigate browser to "https://{host}{path}"  
  •       Find the element on the webpage by its ID  
  •       Get the screen dimensions using PyAutoGUI  
  •       Retrieve browser window position  
  •       Calculate the center coordinates of the element  
  •       Adjust coordinates to be within screen limits and apply offset  
  •       Quit the browser  
  •       return Screen coordinates (screen_x, screen_y)  
  • end function
Armed with this knowledge, the attack commences by sending a carefully crafted stream of POST requests. Each request bears a deceptive payload: meticulously crafted mouse position data, designed to mimic genuine human interaction. This process, detailed in Algorithm 4, aims to evade detection by blending seamlessly with typical user behavior.
Algorithm 4 Send Telemetry Request
  • function SendTelemetryRequest(event_type, timestamp, x (optional), y (optional))  
  •       Define path as ’/track_telemetry’  
  •       Construct data as a JSON string with event_type, timestamp, x, and y  
  •       Define headers with necessary information including host, session, and browser details  
  •       Call send_post_request with path, data, and headers  
  • end function
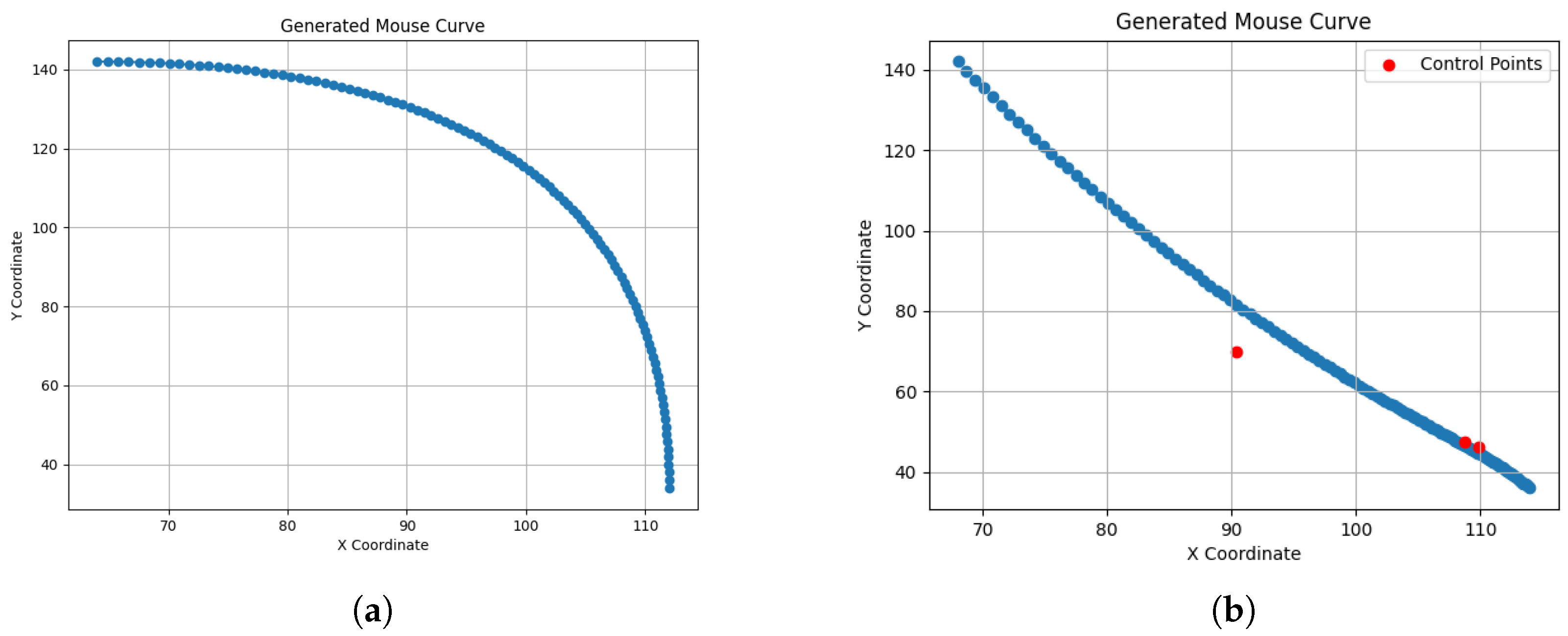
Mouse positions are calculated, leveraging Bézier curves, widely used in computer graphics, game development, and image processing, to generate realistic mouse trajectories. These curves offer flexibility and smooth transitions, crucial for mimicking natural user behavior. Important to understand is that those curves can be exchanged with new ML models, such as "SapiAgent", to generate even more human-like mouse trajectories [14]. However, for simplicity, we will operate on the Bézier curves. They are defined by Bernstein polynomials as shown in Equation 1 [15],
B Z ( t ) = i = 0 n n i t i ( 1 t ) n i P i , 0 t 1
where:
  • n - the degree of the Bézier Curve (number of control points minus one),
  • t - the parameter of the Curve (position along the curve ranging between 0 to 1),
  • the binomial coefficients are given by Expression 2:
n i = n ! i ! ( n i ) ! , if 0 i n , 0 , otherwise .
We strategically choose three control points for each curve:
  • Start point A
  • End point B
  • Three random points on the line connecting A and B, with a random perpendicular offset.
This point selection process is elucidated in Algorithm 5.
Algorithm 5 Generate Random Point on Line
1:
function GenerateRandomPointOnLine(point_a, point_b, randomness)  
2:
        t Random number between 0 and 1  
3:
        x ( 1 t ) × p o i n t _ a . x + t × p o i n t _ b . x   
4:
        y ( 1 t ) × p o i n t _ a . y + t × p o i n t _ b . y   
5:
       Calculate the directional difference d x , d y between p o i n t _ b and p o i n t _ a   
6:
       Determine perpendicular direction p e r p _ d x , p e r p _ d y   
7:
       Normalize the perpendicular direction  
8:
       Calculate r a n d o m _ d i s t a n c e based on r a n d o m n e s s   
9:
       Adjust x, y coordinates by applying r a n d o m _ d i s t a n c e in the perpendicular direction  
10:
      return x, y  
11:
end function
By leveraging Equation 1, we numerically calculate the Bézier curve points, as outlined in Algorithm 6.
Algorithm 6 Generate Bézier Curve Points
1:
function GenerateBezierCurve(control_points, num_points)  
2:
       t Create a list of n u m _ p o i n t s evenly spaced values between 0 and 1  
3:
      Initialize c u r v e as a n u m _ p o i n t s × 2 zero matrix  
4:
       n Number of control points minus 1  
5:
      for  i 0 to n u m _ p o i n t s 1  do  
6:
            for  j 0 to n do  
7:
                 Calculate Bernstein polynomial b e r n s t e i n _ p o l y   
8:
                  c u r v e [ i ] c u r v e [ i ] + b e r n s t e i n _ p o l y × c o n t r o l _ p o i n t s [ j ]   
9:
            end for  
10:
      end for  
11:
      return  c u r v e   
12:
end function
To visualize the generated curves and enhance understanding, we present them in Figure 1.
Once the simulated mouse reaches its intended input field, the attack shifts its focus to simulating keyboard activity. This attack leverages the assumption that attackers can readily build a database of keyboard dynamics for their use. To simulate real user behavior, a simple keylogger was implemented. The code samples 128 random passwords from the "rockyou.txt" file [16], one at a time. For each password, it meticulously records every keystroke, capturing both the exact moment the key is pressed (key_down) and released (key_up). This precise timing data continues until the user presses "Enter", signaling the completion of the typed word. Captured data is then stored in a comma-separated values (CSV) file. The structure of this database is outlined in Table 1.
Each row uniquely identifies a keystroke with a timestamp (recorded in milliseconds), and associates it with the typed word (using an internal Word_ID) and the corresponding ASCII code.
A Long Short-Term Memory (LSTM) model serves as the backbone for predicting the intervals between keystrokes. This choice leverages the inherent sequential nature of keystroke timing data, allowing the model to capture and learn crucial temporal dependencies. Figure 2 visually represents the model’s structure. The model loss is shown on the figure number Figure 3.
Specifically, the model uses 34 input features, representing the maximum password length from the generated database. This allows the model to understand the potential range of keystroke sequences. An LSTM layer then processes this information, effectively extracting relevant patterns and dependencies from the data. Finally, the output layer utilizes these learned patterns to predict the time a key should be held for, as well as the interval between the current and next keystroke.
Algorithm 7 precisely predicts key press and release timings, ensuring a natural typing cadence. These meticulously timed events are then transmitted to the server, further solidifying the illusion of human presence.
Algorithm 7 Type In Current Input Field
  • function TypeInCurrentField(word)  
  •     global timestamp  
  •     times ← predict_hold_and_release_times(word)  
  •     for each time in times do  
  •           offset ← create time delta from time[0]  
  •           send_telemetry_request("keyboard", timestamp + offset)  
  •           increment timestamp by offset and additional time from time[1]  
  •     end for  
  • end function
After successfully filling each input field, the attack seamlessly resumes its simulated mouse movements, guiding the cursor towards the submit button. Upon reaching this critical element, the attack culminates in the final submit button click. To maximize the likelihood of success, the attack relentlessly repeats this intricate sequence, relentlessly attempting passwords from the expansive "rockyou.txt" file. This unwavering persistence ensures that no potential password combination is overlooked.

4. Results

We examined the request data, focusing on the following key columns:
  • ID,
  • Telemetry Hash,
  • IP Address,
  • Port,
  • Timestamp.
To illustrate the differences introduced by behavioral telemetry, we present excerpts of request data from two sets of simulations:
  • Without Behavioral Telemetry: As shown in Table 2, requests lack unique telemetry hashes. Bot traffic resulted in generating likewise hashes, making it potentially easier to mark as fraudulent.
  • With Behavioral Telemetry: Table 3 demonstrates the presence of randomized telemetry hashes, indicating the traffic was more sophisticated in the way behavioral telemetry was used. These unique identifiers, generated based on user behavior simulated during the attack, add a layer of complexity and potentially enhance the attack’s ability to evade detection.
Executing the attack yielded several clues about its impact on the server. First one being the frequent number of 500 Internal Server Errors being logged. These responses suggest the server struggled to handle the influx of requests, potentially overloading resources. Another suggestion is the "ConnectionResetError" seen at the peak of traffic received by the server. This error indicates the server actively terminated connections, likely as a defense mechanism.
To gauge the attack’s resource consumption, we instrumented the server with dedicated threads. One thread continuously recorded Central Processing Unit (CPU) usage at a specified interval, while the other tracked memory usage. Figure 4 reveals how the attack affected CPU utilization. Unlike legitimate traffic, which exhibits periods of lower usage (subfigure_b), CPU usage during the attack remained consistently high (subfigure_a). This indicates the server struggled to process the influx of requests, likely exceeding its capacity. Furthermore, the lack of clear data at the end of the attack period (subfigure_a) suggests that resources were saturated, preventing complete file writing. As a result, the recorded data had to be truncated.
While CPU usage offered clear insights, Figure 5 shows no significant differences in memory consumption on the web application server during the attack (subfigure_a) compared to normal use (subfigure_b). This suggests the attack primarily impacted CPU resources. However, we expect the changes to be reflected in storage utilization on the Windows MySQL server, which requires further investigation.
Figure 6 compares the CPU usage of the attacker’s machine with the server throughout the attack. While the server experienced sustained high usage, the attacker’s CPU usage dropped to 0% just when the server shut down.
While the attack demonstrably impacted server resources, its efficiency from the attacker’s perspective is questionable. Many other DoS techniques offer a better "workload-result ratio," meaning they achieve similar disruption with less resource investment. However, this advantage comes at the cost of easier detection. Table 4 illustrates a captured request sent during the attack. Generally, for the application itself, headers appear legitimate and do not differ from a typical request sent by a legitimate user.

5. Discussion

This study examined a DoS attack utilizing spoofed telemetry data, aiming to mimic legitimate user behavior and evade detection. Our analysis revealed:
  • Deceptive Nature: The attack exploited the system’s reliance on telemetry data for user identification and resource allocation. This highlights the inherent vulnerabilities of trust-based security models in complex systems.
  • Challenges in Detection: The attack’s ability to blend in with typical user behavior necessitates advanced detection methods that move beyond simple anomaly-based approaches.
However, while using controlled simulations ensured data collection, it may not fully capture the complexities of real-world attack scenarios. Additionally, the analysis focused on a specific attack type, and the effectiveness of deception might vary with different approaches.
Our findings corroborate previous research highlighting the growing sophistication of DoS attacks and their increasing use of deception techniques. Moreover, the challenges in detecting deception-based attacks resonate with calls for advanced threat detection methods that combine behavior analysis with anomaly detection.

Author Contributions

Conceptualization, P.Nędza; methodology, P.Nędza; software, P.Nędza; validation, J.Domżał; formal analysis, p.Nędza; investigation, P.Nędza.; resources, P.Nędza; data curation, P.Nędza; writing—original draft preparation, P.Nędza; writing—review and editing, J.Domżał; visualization, P.Nędza; supervision, J.Domżał; project administration, J.Domżał; funding acquisition, P.Nędza. All authors have read and agreed to the published version of the manuscript.

Funding

This research received no external funding.

Institutional Review Board Statement

Not applicable.

Informed Consent Statement

Not applicable.

Data Availability Statement

The original contributions presented in the study are included in the article/supplementary material, further inquiries can be directed to the corresponding author/s.

Acknowledgments

Not applicable.

Conflicts of Interest

The authors declare no conflicts of interest.

Abbreviations

The following abbreviations are used in this manuscript:
DoS Denial of Service
ML Machine Learning
LSTM Long-Short Term Memory
GAN Generative Adversarial Network
IDS Intrusion Detection System
CSV Comma-Separated Values
CPU Central Processing Unit

References

  1. Kiner, E.; April, T. Google mitigated the largest DDoS attack to date, peaking above 398 million rps. Available online: https://cloud.google.com/blog/products/identity-security/google-cloud-mitigated-largest-ddos- attack-peaking-above-398-million-rps (Accessed on 23 November 2023).
  2. Protecting Your Business From Cyber Attacks. The State of DDoS Attacks DDoS Insights From Q1 & Q2, 2023. Accessible online: https://www.zayo.com/resources/truth-and-trends-of-ddos-attacks/?utm_source=newsroom_website&utm_medium=press-release&utm_content=ddos-insights-report-2023&utm_campaign=2023_ddos_insights_report (Accessed on 24 November 2023).
  3. Yoachimik, O.; Pacheco, J., DDoS threat report for 2023 Q3. Accessible online: https://blog.cloudflare.com/ddos-threat-report-2023-q3 (Accessed on 24 November 2023).
  4. Lindemann, B.; Müller, T.; Vietz, H.; Jazdi, N.; Weyrich, M. A survey on long short-term memory networks for time series prediction. Procedia CIRP 2021, 99, 650–655. [Google Scholar] [CrossRef]
  5. L. Haripriya; M. A. Jabbar, Role of Machine Learning in Intrusion Detection System: Review. In Proceedings of 2018 Second International Conference on Electronics, Communication and Aerospace Technology (ICECA), Coimbatore, India, 30 September 2018, pp. 925-929. [CrossRef]
  6. Han, J.; Pak, W. Hierarchical LSTM-Based Network Intrusion Detection System Using Hybrid Classification. Appl. Sci. 2023, 13, 3089. [Google Scholar] [CrossRef]
  7. M. Usama, M. Asim, S. Latif, J. Qadir and Ala-Al-Fuqaha, Generative Adversarial Networks For Launching and Thwarting Adversarial Attacks on Network Intrusion Detection Systems. In Proceedings of 2019 15th International Wireless Communications & Mobile Computing Conference (IWCMC), Tangier, Morocco, 24-28 July 2019 pp. 78-83. [CrossRef]
  8. Zhang, C.; Costa-Pérez, X.; Patras, P. Adversarial Attacks Against Deep Learning-Based Network Intrusion Detection Systems and Defense Mechanisms. IEEE/ACM Transactions on Networking 2022, 30, 1294–1311. [Google Scholar] [CrossRef]
  9. Chen, L.; Wang, Z.; Huo, R.; Huang, T. An Adversarial DBN-LSTM Method for Detecting and Defending against DDoS Attacks in SDN Environments. Algorithms 2023, 16, 197. [Google Scholar] [CrossRef]
  10. Alabsi, B.A.; Anbar, M.; Rihan, S.D.A. Conditional Tabular Generative Adversarial Based Intrusion Detection System for Detecting Ddos and Dos Attacks on the Internet of Things Networks. Sensors 2023, 23, 5644. [Google Scholar] [CrossRef]
  11. Aydın, H.; Orman, Z.; Ali Aydın, M. A long short-term memory (LSTM)-based distributed denial of service (DDoS) detection and defense system design in public cloud network environment. Computers & Security, Volume 118, 2022, 102725, ISSN 0167-4048. [CrossRef]
  12. Mittal, M., Kumar, K. & Behal, S. Deep learning approaches for detecting DDoS attacks: a systematic review. Soft Comput 27, 13039–13075 (2023). [CrossRef]
  13. Haseeb-ur-rehman, R.M.A.; Aman, A.H.M.; Hasan, M.K.; Ariffin, K.A.Z.; Namoun, A.; Tufail, A.; Kim, K.-H. High-Speed Network DDoS Attack Detection: A Survey. Sensors 2023, 23, 6850. [Google Scholar] [CrossRef] [PubMed]
  14. M. Antal; K. Buza; N. Fejer, SapiAgent: A Bot Based on Deep Learning to Generate Human-Like Mouse Trajectories. IEEE Access 2021, 9, 124396–124408. [CrossRef]
  15. S. Karateke; R. Akalin; M. Gümüş, The Evolution of Bézier Curves in Computer- Aided Geometric Design (CAGD): A Systematic Review. In Akpınar, A. (ed.), Research on Mathematics and Science- II. Özgür Publications: Istanbul, Türkiye, 2023; pp. 1-15. [CrossRef]
  16. Kali Linux. Rockyou. Accessible online: https://www.kali.org/tools/wordlists/ (Accessed on 14 February 2024).
Figure 1. Bézier Curves generated: a by ready python framework with two control points, b by calculating curve points with five control points.
Figure 1. Bézier Curves generated: a by ready python framework with two control points, b by calculating curve points with five control points.
Preprints 103876 g001
Figure 2. Model architecture.
Figure 2. Model architecture.
Preprints 103876 g002
Figure 3. Training and Validation Loss of the model.
Figure 3. Training and Validation Loss of the model.
Preprints 103876 g003
Figure 4. CPU usage trend: a during attack, b during legitimate user interaction
Figure 4. CPU usage trend: a during attack, b during legitimate user interaction
Preprints 103876 g004
Figure 5. Memory usage trend: a during attack, b during legitimate user interaction
Figure 5. Memory usage trend: a during attack, b during legitimate user interaction
Preprints 103876 g005
Figure 6. Attacker CPU Usage compared to the server CPU usage
Figure 6. Attacker CPU Usage compared to the server CPU usage
Preprints 103876 g006
Table 1. Generated database structure
Table 1. Generated database structure
Field Name Field Type Key Primary
Timestamp Date-Time True
Word_ID Integer False
ASCII_Code Integer False
Down_Time_MS Float False
Up_Time_MS Float False
Table 2. Part of the request data for simulation without behavioral telemetry spoofing used
Table 2. Part of the request data for simulation without behavioral telemetry spoofing used
ID Telemetry Hash IP Address Port Timestamp
291 e3b0c44298fc1c149afbf4c8996fb92427... 192.168.1.13 64513 2023-11-16 18:19:02
294 e3b0c44298fc1c149afbf4c8996fb92427... 192.168.1.13 64513 2023-11-16 18:19:07
297 e3b0c44298fc1c149afbf4c8996fb92427... 192.168.1.13 64513 2023-11-16 18:19:35
300 e3b0c44298fc1c149afbf4c8996fb92427... 192.168.1.13 64513 2023-11-16 18:19:48
310 e3b0c44298fc1c149afbf4c8996fb92427... 192.168.1.13 64513 2023-11-16 18:22:43
Table 3. Part of the request data for simulation with behavioral telemetry spoofing used
Table 3. Part of the request data for simulation with behavioral telemetry spoofing used
ID Telemetry Hash IP Address Port Timestamp
444 393e9cd505f0a7af71979ffb01e97468d... 192.168.1.13 53546 2023-11-16 18:56:23
446 4d373db4bafae80bddefd995a4d4a6d90... 192.168.1.13 53546 2023-11-16 18:56:27
448 bd970844de692ae66388c6ce161d0d41f... 192.168.1.13 53546 2023-11-16 18:56:30
454 25329f94ba7a792f5d4605cf94bd2240d... 192.168.1.13 53546 2023-11-16 18:58:53
456 a866e3a3fa5ec701b12f242dad5128f92... 192.168.1.13 53546 2023-11-16 18:58:56
Table 4. Example attack POST request headers received by the server.
Table 4. Example attack POST request headers received by the server.
Host 192.168.1.13
Accept text/html,application/xhtml+xml, application/xml;q=0.9,image/avif, image/webp,image/apng,*/*;q=0.8, application/signed-exchange;v=b3;q=0.7
Cookie session=.eJwlzLsKwyAARuFXkX8WU VND6guEDC0dsos0NhWsgpcuIe9eoeO Bw3dgeUBDXCUT48QEEwMofKwu22f 1KZpSba7QB8jWx_XdKBEjuacvkVwOR ExaKX1RZL6tOClC2ne3GRhXzYUR9G B2gq05JyiFZeN71JsIfwz2o_r8txcqTh_vp MrnA.ZVZXxw.h1HjL5HRu_cm9I9MK _dJJnbRcqg
Origin https://192.168.1.13
Referer https://192.168.1.13/login
Sec-Ch-Ua Google Chrome;v="119", "Chromium";v="119", "Not?A_Brand";v="24"
Connection keep-alive
User-Agent Mozilla/5.0 (Windows NT 10.0; Win64; x64) AppleWebKit/537.36 (KHTML, like Gecko) Chrome/119.0.0.0 Safari/537.36
Content-Type application/x-www-form-urlencoded
Cache-Control max-age=0
Content-Length 30
Sec-Fetch-Dest document
Sec-Fetch-Mode navigate
Sec-Fetch-Site same-origin
Sec-Fetch-User ?1
Accept-Encoding gzip, deflate, br
Accept-Language en-US,en;q=0.9
Sec-Ch-Ua-Mobile ?0
Sec-Ch-Ua-Platform Windows
Upgrade-Insecure-Requests 1
Disclaimer/Publisher’s Note: The statements, opinions and data contained in all publications are solely those of the individual author(s) and contributor(s) and not of MDPI and/or the editor(s). MDPI and/or the editor(s) disclaim responsibility for any injury to people or property resulting from any ideas, methods, instructions or products referred to in the content.
Copyright: This open access article is published under a Creative Commons CC BY 4.0 license, which permit the free download, distribution, and reuse, provided that the author and preprint are cited in any reuse.
Prerpints.org logo

Preprints.org is a free preprint server supported by MDPI in Basel, Switzerland.

Subscribe

Disclaimer

Terms of Use

Privacy Policy

Privacy Settings

© 2026 MDPI (Basel, Switzerland) unless otherwise stated