Submitted:
17 April 2024
Posted:
17 April 2024
You are already at the latest version
Abstract
Keywords:
1. Introduction
2. Hunter’s Model of the Viscoelastic Impact
2.1. Viscoelastic Hertzian Impact
2.2. Impact for a Maxwell Solid
2.3. Asymptotic Solution for the Loading Stage
2.4. Asymptotic Solution for the Unloading Stage
3. Comparison with the FEM Solution
3.1. Impact for a Maxwell Solid
3.2. Impact for a Standard Linear Solid
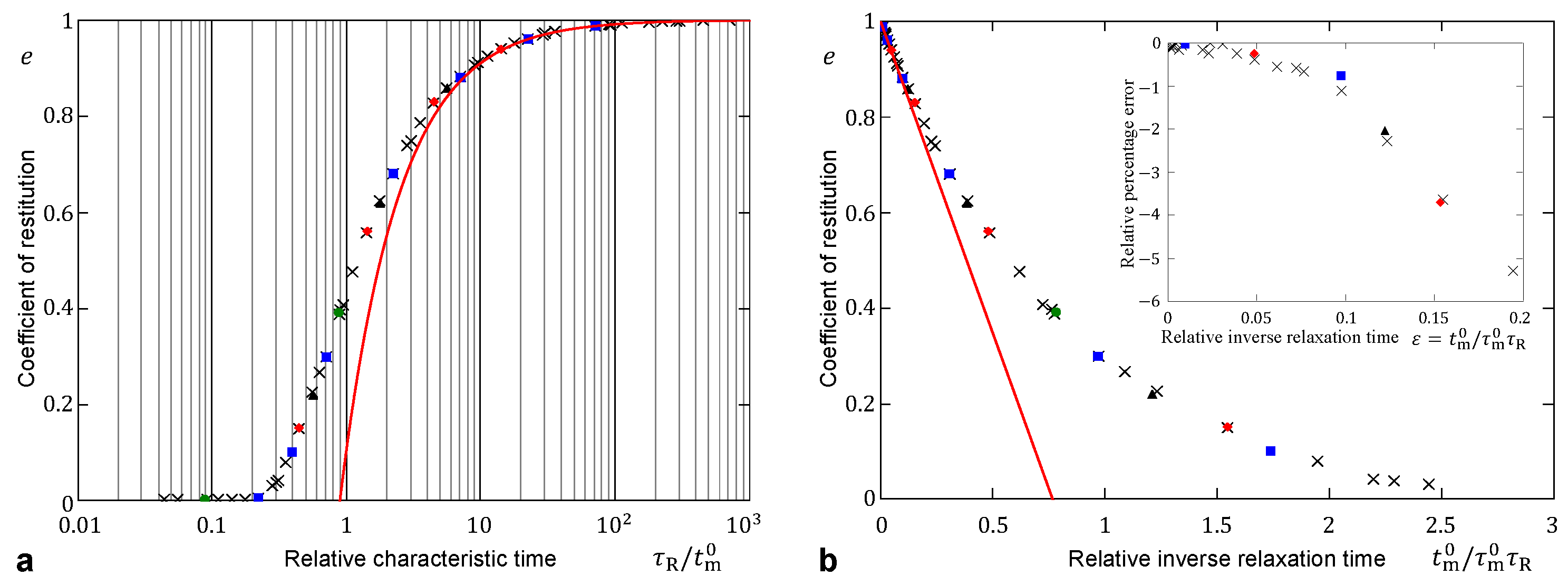
4. Material Parameters Identification via Impact Testing
5. Discussion
Acknowledgments
Conflicts of Interest
References
- Hertz, H. Ueber die Berührung fester elastischer Körper. Journal für die reine und angewandte Mathematik 1882, 92, 156–171. [Google Scholar]
- Argatov, I.; Kachanov, M.; Mishuris, G. On the concept of “far points” in Hertz contact problems. International Journal of Engineering Science 2017, 113, 20–36. [Google Scholar] [CrossRef]
- Willis, J.R. Hertzian contact of anisotropic bodies. Journal of the Mechanics and Physics of Solids 1966, 14, 163–176. [Google Scholar] [CrossRef]
- Bondareva, V.F. Contact problems for an elastic sphere. Journal of Applied Mathematics and Mechanics 1971, 35, 37–45. [Google Scholar] [CrossRef]
- Villaggio, P. The rebound of an elastic sphere against a rigid wall. Journal of Applied Mechanics 1996, 63, 259–263. [Google Scholar] [CrossRef]
- Hunter, S.C. Energy absorbed by elastic waves during impact. Journal of the Mechanics and Physics of Solids 1957, 5, 162–171. [Google Scholar] [CrossRef]
- Wu, C.Y.; Li, L.Y.; Thornton, C. Energy dissipation during normal impact of elastic and elastic–plastic spheres. International Journal of Impact Engineering 2005, 32, 593–604. [Google Scholar] [CrossRef]
- Argatov, I.I. Asymptotic modeling of the impact of a spherical indenter on an elastic half-space. International Journal of Solids and Structures 2008, 45, 5035–5048. [Google Scholar] [CrossRef]
- Miller, G.F.; Pursey, H. On the partition of energy between elastic waves in a semi-infinite solid. Proceedings of the Royal Society of London. Ser. A 1955, 233, 55–69. [Google Scholar]
- Argatov, I.I.; Fadin, Y.A. Excitation of the elastic half-space surface by normal rebounding impact of an indenter. Journal of Friction and Wear 2009, 30, 1–6. [Google Scholar] [CrossRef]
- Deresiewicz, H. A note on Hertz’s theory of impact. Acta Mechanica 1968, 6, 110–112. [Google Scholar] [CrossRef]
- Goldsmith, W. Impact – The Theory and Physical Behaviour of Colliding Solids; Edward Arnold Ltd: London, England, 1960. [Google Scholar]
- Borodich, F. The Hertz frictional contact between nonlinear elastic anisotropic bodies (the similarity approach). International journal of solids and structures 1993, 30, 1513–1526. [Google Scholar] [CrossRef]
- Willert, E. Ratio of loss and storage moduli determines restitution coefficient in low-velocity viscoelastic impacts. Frontiers in Mechanical Engineering 2020, 6, 3. [Google Scholar] [CrossRef]
- Jaeger, J. Analytical solutions of contact impact problems. Applied Mechanics Reviews 1994, 47, 35–54. [Google Scholar] [CrossRef]
- Lyashenko, I.A.; Popov, V.L. Impact of an elastic sphere with an elastic half space revisited: Numerical analysis based on the method of dimensionality reduction. Scientific Reports 2015, 5, 8479. [Google Scholar] [CrossRef]
- Willert, E.; Popov, V.L. Impact of an elastic sphere with an elastic half space with a constant coefficient of friction: Numerical analysis based on the method of dimensionality reduction. Zeitschrift für Angewandte Mathematik und Mechanik 2016, 96, 1089–1095. [Google Scholar] [CrossRef]
- Johnson, K.L.; Pollock, H.M. The role of adhesion in the impact of elastic spheres. Journal of Adhesion Science and Technology 1994, 8, 1323–1332. [Google Scholar] [CrossRef]
- Lyashenko, I.A.; Willert, E.; Popov, V.L. Adhesive impact of an elastic sphere with an elastic half space: Numerical analysis based on the method of dimensionality reduction. Mechanics of Materials 2016, 92, 155–163. [Google Scholar] [CrossRef]
- Love, A.E.H. Mathematical Theory of Elasticity; Dover Publications: New York, 1944. [Google Scholar]
- Reed, J. Energy losses due to elastic wave propagation during an elastic impact. Journal of Physics D: Applied Physics 1985, 18, 2329–2337. [Google Scholar] [CrossRef]
- Machado, M.; Moreira, P.; Flores, P.; Lankarani, H.M. Compliant contact force models in multibody dynamics: Evolution of the Hertz contact theory. Mechanism and Machine Theory 2012, 53, 99–121. [Google Scholar] [CrossRef]
- Boettcher, R.; Eichmann, S.; Mueller, P. Influence of viscous damping and elastic waves on energy dissipation during impacts. Chemical Engineering Science 2019, 199, 571–587. [Google Scholar] [CrossRef]
- Alves, J.; Peixinho, N.; da Silva, M.T.; Flores, P.; Lankarani, H.M. A comparative study of the viscoelastic constitutive models for frictionless contact interfaces in solids. Mechanism and Machine Theory 2015, 85, 172–188. [Google Scholar] [CrossRef]
- Goldobin, D.S.; Susloparov, E.A.; Pimenova, A.V.; Brilliantov, N.V. Collision of viscoelastic bodies: Rigorous derivation of dissipative force. The European Physical Journal E 2015, 38, 1–9. [Google Scholar] [CrossRef]
- He, A.; Wettlaufer, J.S. Hertz beyond belief. Soft matter 2014, 10, 2264–2269. [Google Scholar] [CrossRef] [PubMed]
- Hayakawa, H.; Kuninaka, H. Theory of the inelastic impact of elastic materials. Phase Transitions 2004, 77, 889–909. [Google Scholar] [CrossRef]
- Hunter, S.C. The Hertz problem for a rigid spherical indenter and a viscoelastic half-space. Journal of the Mechanics and Physics of Solids 1960, 8, 219–234. [Google Scholar] [CrossRef]
- Lee, E.H.; Radok, J.R.M. The contact problem for viscoelastic bodies. Journal of Applied Mechanics 1960, 27, 438–444. [Google Scholar] [CrossRef]
- Forney, L.J. On the duration of contact for the Hertzian impact of a spherical indenter on a Maxwell solid. International Journal of Solids and Structures 1974, 10, 621–624. [Google Scholar] [CrossRef]
- Khusid, B.M. Collision of polymer particle with rigid barrier. Journal of Engineering Physics 1986, 51, 1387–1393. [Google Scholar] [CrossRef]
- Wang, D.; de Boer, G.; Neville, A.; Ghanbarzadeh, A. A review on modelling of viscoelastic contact problems. Lubricants 2022, 10, 358. [Google Scholar] [CrossRef]
- Aksel, N. On the impact of a rigid sphere on a viscoelastic half-space. Ingenieur-Archiv 1986, 56, 38–54. [Google Scholar] [CrossRef]
- Calvit, H.H. Experiments on rebound of steel balls from blocks of polymer. Journal of the Mechanics and Physics of Solids 1967, 15, 141–150. [Google Scholar] [CrossRef]
- Southern, E.; Thomas, A.G. The impact of rigid spheres on rubber. Journal of Applied Polymer Science 1972, 16, 1641–1651. [Google Scholar] [CrossRef]
- Pouyet, J.; Lataillade, J.L. Dynamic investigation of hard viscoelastic materials by ball bouncing experiments. Journal of Materials Science 1975, 10, 2112–2116. [Google Scholar] [CrossRef]
- Diani, J.; Gilormini, P.; Agbobada, G. Experimental study and numerical simulation of the vertical bounce of a polymer ball over a wide temperature range. Journal of Materials Science 2014, 49, 2154–2163. [Google Scholar] [CrossRef]
- Kren, A.P.; Naumov, A.O. Determination of the relaxation function for viscoelastic materials at low velocity impact. International Journal of Impact Engineering 2010, 37, 170–176. [Google Scholar] [CrossRef]
- Kuwabara, G.; Kono, K. Restitution coefficient in a collision between two spheres. Japanese journal of applied physics 1987, 26, 1230. [Google Scholar] [CrossRef]
- Calvit, H.H. Numerical solution of the problem of impact of a rigid sphere onto a linear viscoelastic half-space and comparison with experiment. International Journal of Solids and Structures 1967, 3, 951–966. [Google Scholar] [CrossRef]
- Aboudi, J. The dynamic indentation and impact of a viscoelastic half-space by an axisymmetric rigid body. Computer Methods in Applied Mechanics and Engineering 1979, 20, 135–150. [Google Scholar] [CrossRef]
- Sabin, G.C.W. The impact of a rigid axisymmetric indentor on a viscoelastic half-space. International journal of engineering science 1987, 25, 235–251. [Google Scholar] [CrossRef]
- Herrenbrück, M.; Duddeck, F.; Lackner, R. Multifunctional optimization of viscoelastic materials subjected to spherical impact. Journal of Applied Mechanics 2015, 82, 121009. [Google Scholar] [CrossRef]
- Argatov, I.I. Mathematical modeling of linear viscoelastic impact: Application to drop impact testing of articular cartilage. Tribology International 2013, 63, 213–225. [Google Scholar] [CrossRef]
- Shtaerman, I.Y. On the Hertz theory of local deformations resulting from the pressure of elastic solids [in Russian]. Doklady Akad. Nauk SSSR 1939, 25, 360–362. [Google Scholar]
- Galin, L.A. Spatial contact problems of the theory of elasticity for punches of circular shape in planar projection [in Russian]. PMM Journal of Applied Mathematics and Mechanics 1946, 10, 425–448. [Google Scholar]
- Love, A.E.H. Boussinesq’s problem for a rigid cone. Quarterly Journal of Mathematics 1939, 10, 161–175. [Google Scholar] [CrossRef]
- Kilchevsky, N.A. The Theory of Solid Bodies Collision [in Russian]; Naukova Dumka: Kiev, 1969. [Google Scholar]
- Argatov, I.; Daniels, A.U.; Mishuris, G.; Ronken, S.; Wirz, D. Accounting for the thickness effect in dynamic spherical indentation of a viscoelastic layer: Application to non-destructive testing of articular cartilage. European Journal of Mechanics-A/Solids 2013, 37, 304–317. [Google Scholar] [CrossRef]
- Argatov, I.I. Asymptotic Models of Elastic Contact [in Russian]; Nauka: St. Petersburg, 2005. [Google Scholar]
- Butcher, E.A.; Segalman, D.J. Characterizing damping and restitution in compliant impacts via modified KV and higher-order linear viscoelastic models. Journal of Applied Mechanics 2000, 67, 831–834. [Google Scholar] [CrossRef]



Disclaimer/Publisher’s Note: The statements, opinions and data contained in all publications are solely those of the individual author(s) and contributor(s) and not of MDPI and/or the editor(s). MDPI and/or the editor(s) disclaim responsibility for any injury to people or property resulting from any ideas, methods, instructions or products referred to in the content. |
© 2024 by the authors. Licensee MDPI, Basel, Switzerland. This article is an open access article distributed under the terms and conditions of the Creative Commons Attribution (CC BY) license (http://creativecommons.org/licenses/by/4.0/).
