Submitted:
15 April 2024
Posted:
16 April 2024
You are already at the latest version
Abstract
Keywords:
1. Introduction
2. Materials and Methods
2.1. Study Design and Data Collection
2.2. Data Analyses
- Concern for COVID-19 vaccine-associated risks (Likert scale inverted to correct for confidence orientation of the VACS);
- Safety of the vaccine for the general public;
- Safety of the vaccine for transplant patients;
- Confidence that the vaccine has been adequately studied;
- Confidence that vaccines are useful at preventing infectious diseases;
- Confidence that receiving a vaccine is better than becoming ill from COVID-19;
- Confidence that SARS-CoV-2 is real.
3. Results
3.1. Study Cohort
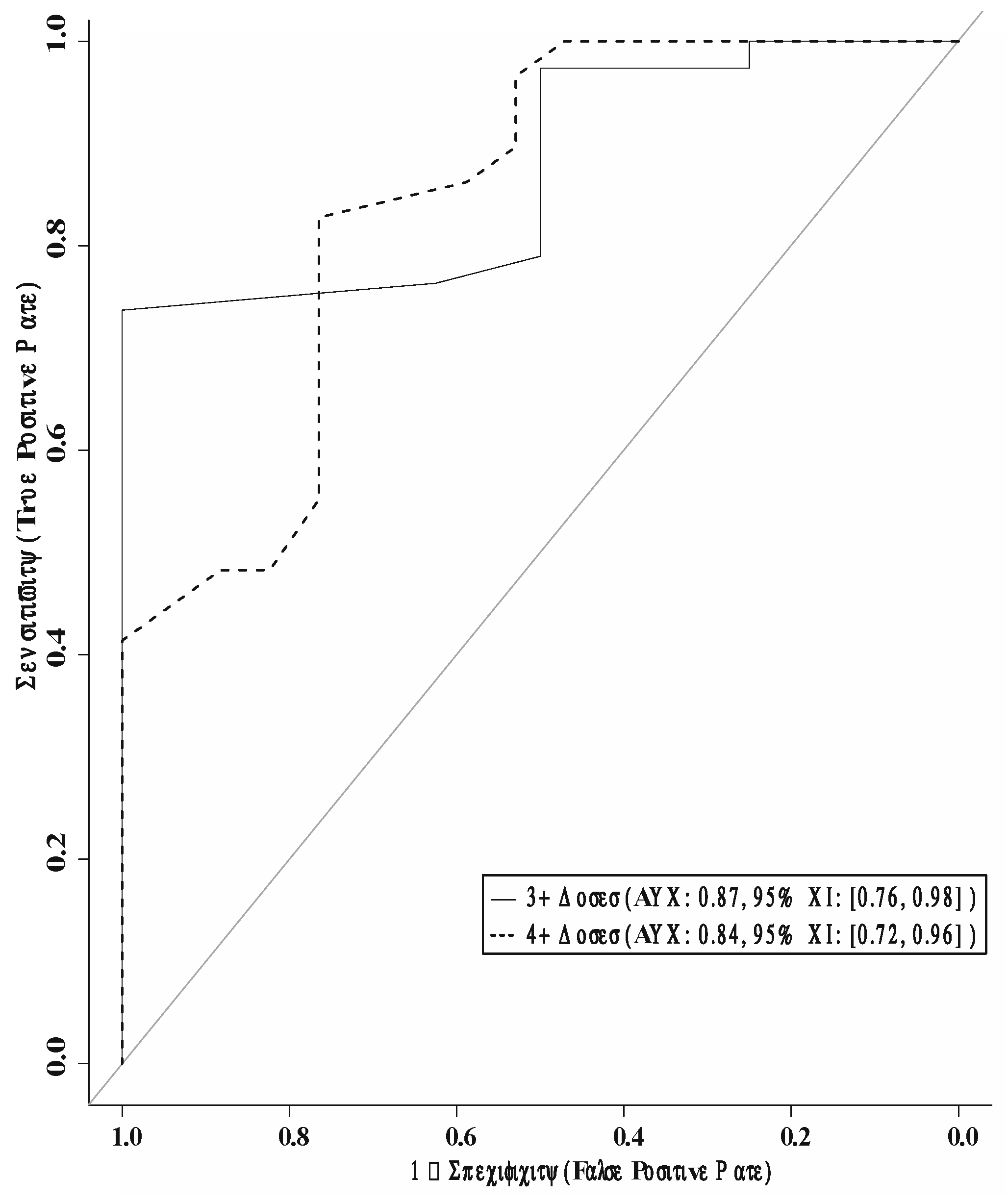
3.2. Vaccine Hesitancy
4. Discussion
Supplementary Materials
Author Contributions
Funding
Institutional Review Board Statement
Informed Consent Statement
Data Availability Statement
Acknowledgments
Conflicts of Interest
References
- Worldometer. Coronavirus Death Tool. Available online: https://www.worldometers.info/coronavirus/coronavirus-death-toll/.
- Agrawal, V.; Sood, N.; Whaley, C.M. The impact of the global COVID-19 vaccination campaign on all-cause mortality; National Bureau of Economic Research: 2023.
- Hippisley-Cox, J.; Coupland, C.A.; Mehta, N.; Keogh, R.H.; Diaz-Ordaz, K.; Khunti, K.; A Lyons, R.; Kee, F.; Sheikh, A.; Rahman, S.; et al. Risk prediction of covid-19 related death and hospital admission in adults after covid-19 vaccination: National prospective cohort study. BMJ 2021, 374, n2244. [Google Scholar] [CrossRef]
- Søfteland, J.M.; Li, H.; Magnusson, J.M.; Leach, S.; Friman, V.; Gisslén, M.; Felldin, M.; Schult, A.; Karason, K.; Baid-Agrawal, S.; et al. COVID-19 Outcomes and Vaccinations in Swedish Solid Organ Transplant Recipients 2020–2021: A Nationwide Multi-Register Comparative Cohort Study. Viruses 2024, 16, 271. [Google Scholar] [CrossRef]
- Lerner, A.H.; Arvanitis, P.; Vieira, K.; Klein, E.J.; Farmakiotis, D. mRNA Vaccination Decreases COVID-19-Associated Morbidity and Mortality Among Organ Transplant Recipients: A Contemporary Cohort Study. Open Forum Infect. Dis. 2022, 9, ofac503. [Google Scholar] [CrossRef]
- Chen, X.; Luo, D.; Mei, B.; Du, J.; Liu, X.; Xie, H.; Liu, L.; Su, S.; Mai, G. Immunogenicity of COVID-19 vaccines in solid organ transplant recipients: A systematic review and meta-analysis. Clin. Microbiol. Infect. 2022, 29, 441–456. [Google Scholar] [CrossRef]
- Ten threats to global health in 2019. Available online: https://www.who.int/news-room/spotlight/ten-threats-to-global-health-in-2019.
- Larson, H.J.; Gakidou, E.; Murray, C.J. The Vaccine-Hesitant Moment. New Engl. J. Med. 2022, 387, 58–65. [Google Scholar] [CrossRef]
- Costantino, A.; Morlacchi, L.; Donato, M.F.; Gramegna, A.; Farina, E.; Dibenedetto, C.; Campise, M.; Redaelli, M.; Perego, M.; Alfieri, C.; et al. Hesitancy toward the Full COVID-19 Vaccination among Kidney, Liver and Lung Transplant Recipients in Italy. Vaccines 2022, 10, 1899. [Google Scholar] [CrossRef]
- Thunström, L.; Ashworth, M.; Finnoff, D.; Newbold, S.C. Hesitancy Toward a COVID-19 Vaccine. Ecohealth 2021, 18, 44–60. [Google Scholar] [CrossRef]
- Reece, S.; CarlLee, S.; Scott, A.J.; Willis, D.E.; Rowland, B.; Larsen, K.; Holman-Allgood, I.; McElfish, P.A. Hesitant adopters: COVID-19 vaccine hesitancy among diverse vaccinated adults in the United States. Infect. Med. 2023, 2, 89–95. [Google Scholar] [CrossRef]
- Khubchandani, J.; Macias, Y. COVID-19 vaccination hesitancy in Hispanics and African-Americans: A review and recommendations for practice. Brain, Behav. Immun. - Heal. 2021, 15, 100277. [Google Scholar] [CrossRef]
- Yasmin, F.; Najeeb, H.; Moeed, A.; Naeem, U.; Asghar, M.S.; Chughtai, N.U.; Yousaf, Z.; Seboka, B.T.; Ullah, I.; Lin, C.-Y.; et al. COVID-19 Vaccine Hesitancy in the United States: A Systematic Review. Front. Public Heal. 2021, 9, 770985. [Google Scholar] [CrossRef]
- Klein, E.J.; Hardesty, A.; Vieira, K.; Farmakiotis, D. Use of anti-spike monoclonal antibodies in kidney transplant recipients with COVID-19: Efficacy, ethnic and racial disparities. Am. J. Transplant. 2022, 22, 640–645. [Google Scholar] [CrossRef]
- Fu, J.; Reid, S.A.; French, B.; Hennessy, C.; Hwang, C.; Gatson, N.T.; Duma, N.; Mishra, S.; Nguyen, R.; Hawley, J.E.; et al. Racial Disparities in COVID-19 Outcomes Among Black and White Patients With Cancer. JAMA Netw. Open 2022, 5, e224304. [Google Scholar] [CrossRef]
- Pandita, A.; Gil, R.M.; Farmakiotis, D. Call for Action: Racial Disparities in Clinical Research. Clin. Infect. Dis. 2020, 73, 356–357. [Google Scholar] [CrossRef]
- Laurencin, C.T.; Wu, Z.H.; McClinton, A.; Grady, J.J.; Walker, J.M. Excess Deaths Among Blacks and Latinx Compared to Whites During Covid-19. J. Racial Ethn. Heal. Disparities 2021, 8, 783–789. [Google Scholar] [CrossRef] [PubMed]
- Laurencin, C.T.; Wu, Z.H.; Grady, J.J.; Wu, R.; Murray, M.M.; Slivinsky, M. The Shift: COVID-19-Associated Deaths are Now Trending Lower Among Blacks and Hispanics Compared to Whites. J. Racial Ethn. Heal. Disparities 2023, 10, 3188–3193. [Google Scholar] [CrossRef] [PubMed]
- Basic-Jukic, N.; Furic-Cunko, V.; Jelakovic, B. COVID-19 vaccine hesitancy in renal transplant recipients. Ther. Apher. Dial. 2021, 26, 482–483. [Google Scholar] [CrossRef] [PubMed]
- Liew, I.; Kadir, H.; Thangaraju, S.; Ho, Q.; Ng, E.; Foo, F.; Kee, T. COVID-19 vaccine acceptance among kidney transplant recipients in Singapore. Singap. Med J. 2023. [Google Scholar] [CrossRef]
- Ou, M.T.B.; Boyarsky, B.J.; Zeiser, L.B.S.; Chiang, T.P.-Y.; Ruddy, J.B.; Rasmussen, S.E.B.V.P.; Martin, J.; Russell, J.P.S.C.; Durand, C.M.; Avery, R.K.; et al. Kidney Transplant Recipient Attitudes Toward a SARS-CoV-2 Vaccine. Transplant. Direct 2021, 7, e713. [Google Scholar] [CrossRef]
- Chen, T.; Li, X.; Li, Q.; Huang, L.; Cai, Q.; Wang, Y.; Jiang, Y.; Xu, Q.; Lv, Q.; Wang, J. COVID-19 vaccination hesitancy and associated factors among solid organ transplant recipients in China. Hum. Vaccines Immunother. 2021, 17, 4999–5006. [Google Scholar] [CrossRef]
- Tsapepas, D.; Husain, S.A.; King, K.L.; Burgos, Y.; Cohen, D.J.; Mohan, S. Perspectives on COVID-19 vaccination among kidney and pancreas transplant recipients living in New York City. Am. J. Heal. Pharm. 2021, 78, 2040–2045. [Google Scholar] [CrossRef]
- MacEwan, S.R.; Gaughan, A.A.; Dixon, G.N.; Olvera, R.G.; Tarver, W.L.; Rahurkar, S.; Rush, L.J.; Schenk, A.D.; Stevens, J.; McAlearney, A.S. Understanding Concerns about COVID-19 and Vaccination: Perspectives from Kidney Transplant Recipients. Vaccines 2023, 11, 1134. [Google Scholar] [CrossRef]
- Rutten, L.J.F.; Zhu, X.; Leppin, A.L.; Ridgeway, J.L.; Swift, M.D.; Griffin, J.M.; Sauver, J.L.S.; Virk, A.; Jacobson, R.M. Evidence-Based Strategies for Clinical Organizations to Address COVID-19 Vaccine Hesitancy. Mayo Clin. Proc. 2021, 96, 699–707. [Google Scholar] [CrossRef]
- Lerner, R.; Guermazi, D.; Farmakiotis, D. Vaccine Hesitancy Among Organ Transplant Recipients Survey - Preview. Available online: https://brown.co1.qualtrics.com/jfe/preview/previewId/3de88941-5624-4c93-86ce-cb271f6c03d8/SV_3HMs57IdLpULMdE?Q_CHL=preview&Q_SurveyVersionID=current.
- Oduwole, E.; Pienaar, E.D.; Mahomed, H.; Wiysonge, C.S. Current tools available for investigating vaccine hesitancy: A scoping review protocol. BMJ Open 2019, 9, e033245. [Google Scholar] [CrossRef]
- Vaccine Confidence Survey Question Bank. Available online: https://www.cdc.gov/vaccines/covid-19/vaccinate-with-confidence/rca-guide/downloads/CDC_RCA_Guide_2021_Tools_AppendixD_Surveys-508.pdf.
- Dey, S.; Kusuma, Y.S.; Kant, S.; Kumar, D.; Gopalan, R.B.; Sridevi, P.; Aggarwal, S. COVID-19 vaccine acceptance and hesitancy in Indian context: A systematic review and meta-analysis. Ann. Trop. Med. Parasitol. 2023, 1–14. [Google Scholar] [CrossRef]
- Lazarus, J.V.; Wyka, K.; White, T.M.; Picchio, C.A.; Rabin, K.; Ratzan, S.C.; Leigh, J.P.; Hu, J.; El-Mohandes, A. Revisiting COVID-19 vaccine hesitancy around the world using data from 23 countries in 2021. Nat. Commun. 2022, 13, 1–14. [Google Scholar] [CrossRef]
- Pan, Y.; Gong, S.; Zhu, X.; Xue, C.; Jing, Y.; Sun, Y.; Qian, Y.; Zhang, J.; Xia, Q. Investigation on the hesitancy of COVID-19 vaccination among liver transplant recipients: A cross-sectional study in China. Front. Public Heal. 2022, 10, 1014942. [Google Scholar] [CrossRef]
- Tharmaraj, D.; Dendle, C.; Polkinghorne, K.R.; Mulley, W.R. Kidney transplant recipients’ attitudes toward COVID-19 vaccination and barriers and enablers to vaccine acceptance. Transpl. Infect. Dis. 2021, 24, e13749. [Google Scholar] [CrossRef]
- Fridman, A.; Gershon, R.; Gneezy, A. COVID-19 and vaccine hesitancy: A longitudinal study. PLoS ONE 2021, 16, e0250123. [Google Scholar] [CrossRef]
- Hoffman, J. President Trump on vaccines: From skeptic to cheerleader. The New York Times 2020, 9. [Google Scholar]
- Hornsey, M.J.; Finlayson, M.; Chatwood, G.; Begeny, C.T. Donald Trump and vaccination: The effect of political identity, conspiracist ideation and presidential tweets on vaccine hesitancy. J. Exp. Soc. Psychol. 2020, 88, 103947. [Google Scholar] [CrossRef]
- Edwards, A.L.; Tavakol, M.M.; Mello, A.; Kerney, J.; Roberts, J.P. Pretransplantation coronavirus disease 2019 vaccination requirements: A matched case-control study of factors associated with waitlist inactivation. Am. J. Transplant. 2024, 24, 134–140. [Google Scholar] [CrossRef] [PubMed]
- Kranzler, E.C.; Luchman, J.N.; Margolis, K.A.; Ihongbe, T.O.; Kim, J.-E.C.; Denison, B.; Vuong, V.; Hoffman, B.; Dahlen, H.; Yu, K.; et al. Association between vaccination beliefs and COVID-19 vaccine uptake in a longitudinal panel survey of adults in the United States, 2021–2022. Vaccine: X 2024, 17, 100458. [Google Scholar] [CrossRef] [PubMed]
- Rogers, B.G.; Tao, J.; Almonte, A.; Toma, E.; Nagel, K.; Fain, R.; Napoleon, S.C.; Maynard, M.A.; Murphy, M.; Sarkar, I.N.; et al. Statewide evaluation of COVID-19 vaccine hesitancy in Rhode Island. PLoS ONE 2022, 17, e0268587. [Google Scholar] [CrossRef] [PubMed]
- Rabin, Y.; Kohler, R.E. COVID-19 Vaccination Messengers, Communication Channels, and Messages Trusted Among Black Communities in the USA: A Review. J. Racial Ethn. Heal. Disparities 2023, 1–14. [Google Scholar] [CrossRef]
- Tagini, S.; Brugnera, A.; Ferrucci, R.; Priori, A.; Compare, A.; Parolin, L.; Pravettoni, G.; Silani, V.; Poletti, B. Behind the Scenes of COVID-19 Vaccine Hesitancy: Psychological Predictors in an Italian Community Sample. Vaccines 2022, 10, 1158. [Google Scholar] [CrossRef]


| Category | Total responses (n) | Categorical responses † |
|---|---|---|
| Total number of respondents | 46 | - |
| Age (years) | 30 | 58 (48-64) |
| Male gender identity | 46 | 31 (67.4) |
| Transgender identity | 46 | 2 (4.3) |
| Heterosexual identity | 45 | 44 (97.8) |
| Ethnicity and race ‡ | 45 | - |
| White/European American | - | 31 (68.9) |
| Middle Eastern/North African | - | 2 (4.4) |
| Black or African American | - | 6 (13.3) |
| Asian | - | 3 (6.7) |
| Hispanic and/or Latino/a/x | - | 3 (6.7) |
| Access to racially congruent medical care for patients who identify as other than exclusively White | 14 | 4 (28.6) |
| English as a second language | 46 | 3 (6.5) |
| Has access to primary language-concordant medical care | 3 | 2 (66.7) |
| Born in the United States | 46 | 36 (78.3) |
| Highest level of education | 46 | - |
| Less than high school | - | 2 (4.3) |
| High school or equivalent | - | 8 (17.4) |
| Some college | - | 15 (32.6) |
| Bachelor’s degree or higher | - | 21 (45.7) |
| Primary caregiver to at least one child | 46 | 16 (34.8) |
| Household children received all recommended pediatrician-scheduled vaccines | 14 | 13 (92.9) |
| Has household members >65 years old | 45 | 11 (24.4) |
| Current employment status | 46 | - |
| Working § | - | 22 (47.8) |
| Not employed due to disability | - | 3 (6.5) |
| Not employed for other reasons | - | 4 (8.7) |
| Retired | - | 16 (34.8) |
| Other | - | 1 (2.2) |
| Political party | 44 | - |
| Democrat, liberal or left | - | 21 (47.7) |
| Republican, conservative or right | - | 6 (13.6) |
| Independent or no party affiliation | - | 17 (38.6) |
| Has maintained same political party affiliation | 42 | 28 (66.7) |
| Raised with religion | 44 | 32 (72.7) |
| Childhood religion ‡ | 32 | - |
| Catholicism | - | 23 (71.9) |
| Other Christian denominations | - | 6 (18.8) |
| Hinduism, Buddhism | - | 3 (9.4) |
| Other | - | 4 (12.5) |
| Currently spiritual or religious | 44 | 24 (54.5) |
| Current religion ‡ | 34 | - |
| Catholicism | - | 14 (41.2) |
| Other Christian denominations | - | 5 (14.7) |
| Hinduism, Buddhism | - | 4 (11.8) |
| Other | - | 3 (8.8) |
| Annual household income | 43 | - |
| $27,000 or less | - | 5 (11.6) |
| $27,001-$52,000 | - | 9 (20.9) |
| $52,001-$85,000 | - | 8 (18.6) |
| $85,001-$141,000 | - | 7 (16.3) |
| $141,001 or more | - | 14 (32.6) |
| Eligible for social programs | 22 | 8 (36.4) |
| Number of organ transplants received | 46 | - |
| One | - | 38 (82.6) |
| Two or three | - | 8 (17.4) |
| Transplanted organ types ‡ | 46 | - |
| Kidney | - | 43 (93.5) |
| Heart | - | 1 (2.2) |
| Pancreas | - | 1 (2.2) |
| Lung | - | 1 (2.2) |
| Liver | - | 1 (2.2) |
| Three or fewer years since last transplant | 44 | 23 (52.3) |
| Comorbidities ‡ | 46 | - |
| Hypertension | - | 34 (73.9) |
| Diabetes mellitus | - | 22 (47.8) |
| Chronic kidney disease | - | 38 (82.6) |
| Congestive heart failure | - | 6 (13.0) |
| Chronic pulmonary conditions | - | 3 (6.5) |
| Chronic hepatic conditions | - | 1 (2.2) |
| Malignancy | - | 9 (19.6) |
| Two or more comorbidities | - | 36 (78.3) |
| Limitations in activities of daily living due to a physical or psychological condition | 46 | 7 (15.2) |
| Deaf or hard of hearing | 46 | 3 (6.5) |
| Blind or visually impaired | 46 | 5 (10.9) |
| Positive history of COVID-19 disease ‡ | 46 | 29 (63.0) |
| Infection requiring hospitalization | 27 | 5 (18.5) |
| Multiple COVID-19 infections | 28 | 5 (17.9) |
| Last diagnosed with COVID-19 after vaccine release (December 14, 2020) | 28 | 25 (89.3) |
| Close relations with severe COVID-19 morbidity or mortality | 45 | 19 (42.2) |
| Number of vaccine doses received | 46 | - |
| 1-2 | - | 8 (17.4) |
| 3 | - | 9 (19.6) |
| 4+ | - | 29 (63.0) |
| Received at least 1 mRNA vaccine | 46 | 43 (93.5) |
| Received ≥1 bivalent COVID-19 booster | 43 | 35 (81.4) |
| Previously received the influenza vaccine | 46 | 24 (52.2) |
| Up to date on other (non-COVID-19, non-flu) vaccinations | 46 | 40 (87.0) |
| Knows a family member, friend or colleague who had a poor experience with the COVID-19 vaccine | 44 | 15 (34.1) |
| Has had personal past negative experiences with health care workers | 45 | 10 (22.2) |
| Category | Total responses (n) | Categorical responses (n, %) |
|---|---|---|
| Concerned about COVID-19-associated risks | 44 | 26 (59.1) |
| Concerned about COVID-19 vaccine-associated risks | 41 | 19 (46.3) |
| Concerned about safety of COVID-19 vaccine for the general public | 44 | 14 (31.8) |
| Concerned about safety of COVID-19 vaccine for transplant patients | 46 | 16 (34.8) |
| Predicts significant magnitude of effect of COVID-19 vaccine on allograft | 42 | 20 (47.6) |
| Expects lower likelihood of peer/colleague vaccination | 45 | 23 (51.1) |
| Expects lower likelihood of friends/family vaccination | 46 | 17 (37.0) |
| Has difficulty determining veracity of COVID-19 information in the news/on social media | 46 | 22 (47.8) |
| Amount of information received on COVID-19 vaccines is... | 46 | - |
| Too much | - | 6 (13.0) |
| The right amount | - | 29 (63.0) |
| Not enough | - | 11 (23.9) |
| Uses ___ as a primary source for COVID-19 information † | 45 | - |
| Doctors and/or official government materials | - | 17 (37.8) |
| Right-wing media | - | 6 (13.3) |
| Left-wing media | - | 26 (57.8) |
| Social media | - | 8 (17.8) |
| Unconfident in health care worker competence | 46 | 10 (21.7) |
| Unconfident that motives of vaccine-supportive policymakers are well-intentioned | 45 | 25 (55.6) |
| Unconfident that COVID-19 vaccines have been adequately studied | 44 | 26 (59.1) |
| Unconfident that vaccines are useful at preventing infectious disease | 46 | 15 (32.6) |
| Unconfident that receiving a COVID -19 vaccine is better than becoming ill from COVID-19 | 46 | 10 (21.7) |
| Of patients who were first vaccinated after contracting COVID-19 – unconfident that vaccination would have helped avoid COVID-19 symptoms | 5 | 4 (80.0) |
| Unconfident that SARS-CoV-2 is real | 45 | 12 (26.7) |
| Unconfident in own understanding and judgment of the COVID-19 vaccine | 46 | 15 (32.6) |
| Unconfident in colleagues' or friends' understanding and judgment of the COVID-19 vaccine | 45 | 30 (66.7) |
| Unconfident in family's understanding and judgment of the COVID-19 vaccine | 46 | 20 (43.5) |
| Lower sense of responsibility for health and safety of non-relatives | 44 | 21 (47.7) |
| Lower sense of responsibility for health and safety of relatives | 44 | 12 (27.3) |
| Received advice from a medical provider to not be vaccinated against COVID-19 | 44 | 3 (6.8) |
Disclaimer/Publisher’s Note: The statements, opinions and data contained in all publications are solely those of the individual author(s) and contributor(s) and not of MDPI and/or the editor(s). MDPI and/or the editor(s) disclaim responsibility for any injury to people or property resulting from any ideas, methods, instructions or products referred to in the content. |
© 2024 by the authors. Licensee MDPI, Basel, Switzerland. This article is an open access article distributed under the terms and conditions of the Creative Commons Attribution (CC BY) license (http://creativecommons.org/licenses/by/4.0/).
