Submitted:
10 April 2024
Posted:
11 April 2024
Read the latest preprint version here
Abstract
Keywords:
1. Introduction
2. Methodology
2.1. Detailed Approach
2.2. Simplified Approach
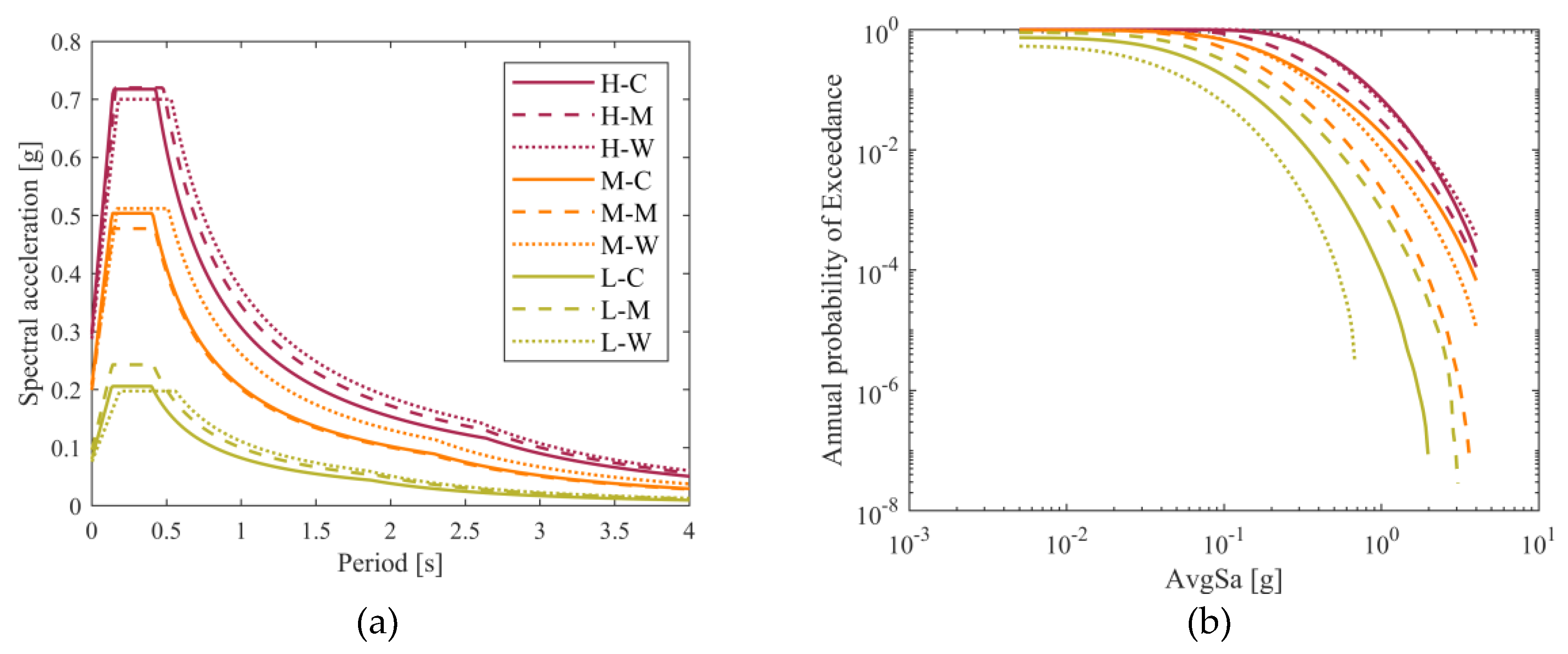
3. Application to a Case-Study Building
3.1. Prelimianry Seismic Assessment
- The shear force demand exceeds the shear capacity of one or more of the beam or column elements;
- The chord rotation of one or more of the plastic hinges in the beam, column, or wall elements exceeds the collapse limit state deformation limits;
- The shear deformation in one or more of the beam-column joints (BCJs) exceeds 0.02 rad.
3.2. Seismic Retrofit Interventions
- -
- S1: local strengthening with carbon FRP (CFRP);
- -
- S2: global strengthening with concentric steel braces;
- -
- S3: CFRP strengthening combined with concentric steel braces;
- -
- S4: CFRP strengthening combined with viscous dampers.
3.3. Energy Retrofit Interventions
- -
- E1: roof insulation, installation of efficient LEDs and thermostatic valves on radiators;
- -
- E2: intervention E1 coupled with external wall insulation with expanded polystyrene (EPS) panels;
- -
- E3: intervention E2 coupled with installation of efficient windows, floor insulation, condensing boiler, lighting control system, and photovoltaic panels.
3.4. Post-Intervention Seismic Assessment
3.4.1. Annual Probability of Failure
3.4.2. Expected Annual Losses (EAL) and Expected Annual Environmental Impacts (EAEI)
3.5. Post-Intervention Energy Assessment
| Alt. | PEC (kWh/m2) | Eq. CO2 (kgCO2e) | AEC (€) | Energy Class |
| E0 | 309 | 76,651 | 12,718 | E |
| E1 | 221.76 (-28%) | 52,476 (-32%) | 8,765 (-31%) | D |
| E2 | 166.63 (-46%) | 40,716 (-47%) | 7,121 (-44%) | C |
| E3 | 64.92 (-79%) | 14,982 (-80%) | 3,109 (-76%) | A2 |
4. Discussion
4.1. Decision Variable Assemblance
| Detailed | Simplified | |||||||||||||||||
| C | M | W | C | M | W | |||||||||||||
| Alt | C2 | C3 | C4 | C2 | C3 | C4 | C2 | C3 | C4 | C2 | C3 | C4 | C2 | C3 | C4 | C2 | C3 | C4 |
| S1E1 | 9.5 | 25.4 | 1.22 | 10.4 | 43.2 | 0.36 | 13.5 | 52.7 | 1.30 | 15.3 | 29.2 | 1.19 | 18.0 | 48.2 | 0.25 | 18.9 | 56.3 | 1.38 |
| S1E2 | 9.5 | 21.6 | 1.28 | 9.6 | 35.3 | 0.33 | 12.5 | 42.5 | 1.31 | 15.2 | 25.3 | 1.19 | 17.4 | 40.4 | 0.25 | 18.0 | 46.1 | 1.38 |
| S1E3 | 8.8 | 14.8 | 1.20 | 7.4 | 18.0 | 0.31 | 9.9 | 21.4 | 1.28 | 14.8 | 18.7 | 1.19 | 15.6 | 23.4 | 0.25 | 15.7 | 25.2 | 1.38 |
| S2E1 | 9.0 | 23.5 | 1.14 | 9.5 | 41.1 | 0.26 | 14.2 | 51.8 | 1.95 | 16.8 | 28.9 | 1.33 | 17.1 | 46.2 | 0.35 | 18.8 | 54.8 | 1.49 |
| S2E2 | 9.3 | 19.9 | 1.40 | 8.7 | 33.2 | 0.19 | 13.5 | 41.7 | 2.08 | 16.8 | 25.0 | 1.33 | 16.4 | 38.4 | 0.35 | 17.9 | 44.6 | 1.49 |
| S2E3 | 8.6 | 13.1 | 1.39 | 6.7 | 16.1 | 0.30 | 11.1 | 20.8 | 2.18 | 16.5 | 18.5 | 1.33 | 14.6 | 21.4 | 0.35 | 15.6 | 23.8 | 1.49 |
| S3E1 | 8.7 | 22.4 | 0.93 | 9.7 | 40.3 | 0.28 | 12.5 | 49.6 | 0.96 | 15.3 | 26.9 | 1.37 | 17.2 | 45.4 | 0.32 | 18.2 | 53.4 | 1.56 |
| S3E2 | 8.6 | 18.4 | 0.95 | 9.2 | 32.6 | 0.37 | 11.4 | 39.3 | 0.92 | 15.2 | 23.0 | 1.37 | 16.6 | 37.6 | 0.32 | 17.2 | 43.3 | 1.56 |
| S3E3 | 8.0 | 11.7 | 0.96 | 6.9 | 15.3 | 0.32 | 8.9 | 18.3 | 0.98 | 14.9 | 16.5 | 1.37 | 14.8 | 20.6 | 0.32 | 14.9 | 22.4 | 1.56 |
| S4E1 | 8.6 | 21.8 | 0.53 | 10.7 | 40.5 | 0.30 | 12.3 | 49.0 | 0.46 | 16.2 | 26.8 | 0.11 | 17.9 | 45.2 | 0.006 | 18.8 | 53.3 | 0.17 |
| S4E2 | 8.5 | 17.9 | 0.54 | 9.9 | 32.6 | 0.27 | 11.3 | 38.7 | 0.49 | 16.1 | 22.9 | 0.11 | 17.3 | 37.4 | 0.006 | 17.9 | 43.1 | 0.17 |
| S4E3 | 7.8 | 11.1 | 0.54 | 7.9 | 15.4 | 0.31 | 8.5 | 17.5 | 0.44 | 15.8 | 16.4 | 0.11 | 15.4 | 20.4 | 0.006 | 15.6 | 22.2 | 0.17 |
| Detailed | Simplified | |||||||||||||||||
| C | M | W | C | M | W | |||||||||||||
| Alt | C2 | C3 | C4 | C2 | C3 | C4 | C2 | C3 | C4 | C2 | C3 | C4 | C2 | C3 | C4 | C2 | C3 | C4 |
| S1E1 | 12.9 | 28.4 | 1.01 | 16.2 | 40.4 | 1.66 | 18.8 | 47.5 | 2.67 | 19.7 | 33.0 | 0.91 | 22.7 | 52.3 | 1.42 | 23.7 | 60.3 | 1.20 |
| S1E2 | 12.9 | 24.5 | 1.08 | 14.3 | 23.4 | 1.87 | 16.5 | 26.6 | 2.90 | 19.6 | 29.1 | 0.91 | 22.1 | 44.5 | 1.42 | 22.8 | 50.2 | 1.20 |
| S1E3 | 12.3 | 17.9 | 1.12 | 13.4 | 42.7 | 1.81 | 16.9 | 52.5 | 2.94 | 19.3 | 22.6 | 0.91 | 20.4 | 27.5 | 1.42 | 20.6 | 29.4 | 1.20 |
| S2E1 | 13.1 | 25.0 | 2.86 | 18.8 | 38.7 | 4.55 | 19.7 | 44.6 | 4.58 | 20.3 | 30.1 | 1.36 | 22.5 | 48.9 | 2.05 | 22.4 | 56.2 | 1.81 |
| S2E2 | 13.1 | 21.2 | 2.93 | 16.6 | 21.5 | 4.70 | 17.1 | 23.5 | 4.73 | 20.3 | 26.3 | 1.36 | 22.0 | 41.1 | 2.05 | 21.5 | 46.1 | 1.81 |
| S2E3 | 13.3 | 15.1 | 3.30 | 22.3 | 47.2 | 4.37 | 24.2 | 55.9 | 4.69 | 20.2 | 19.9 | 1.36 | 20.5 | 24.3 | 2.05 | 19.5 | 25.3 | 1.81 |
| S3E1 | 13.6 | 23.9 | 1.66 | 17.4 | 36.3 | 2.46 | 17.8 | 41.7 | 2.05 | 19.9 | 28.5 | 0.65 | 22.8 | 47.7 | 1.00 | 23.0 | 55.2 | 0.85 |
| S3E2 | 13.5 | 20.0 | 1.67 | 15.5 | 19.3 | 2.66 | 15.4 | 20.8 | 2.30 | 19.8 | 24.6 | 0.65 | 22.2 | 40.0 | 1.00 | 22.1 | 45.1 | 0.85 |
| S3E3 | 12.8 | 13.3 | 1.62 | 22.8 | 45.6 | 2.74 | 23.3 | 53.3 | 2.24 | 19.6 | 18.2 | 0.65 | 20.6 | 23.1 | 1.00 | 19.9 | 24.3 | 0.85 |
| S4E1 | 13.7 | 22.6 | 0.43 | 16.3 | 34.2 | 0.79 | 16.9 | 39.8 | 0.52 | 21.2 | 27.6 | 0.027 | 23.8 | 46.6 | 0.06 | 24.8 | 54.7 | 0.03 |
| S4E2 | 13.6 | 18.7 | 0.40 | 14.2 | 19.2 | 0.74 | 14.2 | 20.8 | 0.57 | 21.1 | 23.7 | 0.027 | 23.2 | 38.9 | 0.06 | 23.9 | 44.6 | 0.03 |
| S4E3 | 13.4 | 14.4 | 0.59 | 2.6 | 1.5 | 0.68 | 2.4 | 1.4 | 0.54 | 20.7 | 19.4 | 0.027 | 21.4 | 24.0 | 0.06 | 21.6 | 25.9 | 0.03 |
| Alt. |
C6 (-) |
C7 (-) |
C8 (-) | |||||
| Medium hazard | High hazard | |||||||
| M-C | M-M | M-W | H-C | H-M | H-W | |||
| S1E1 | 0.023 | 0.084 | 5.9 | 6.2 | 7.0 | 6.1 | 5.7 | 5.7 |
| S1E2 | 0.023 | 0.084 | 5.9 | 6.2 | 7.0 | 6.1 | 5.7 | 5.7 |
| S1E3 | 0.023 | 0.084 | 5.9 | 6.2 | 7.0 | 6.1 | 5.7 | 5.7 |
| S2E1 | 0.056 | 0.013 | 10.9 | 11.3 | 12.5 | 16.5 | 16.5 | 16.5 |
| S2E2 | 0.056 | 0.013 | 10.9 | 11.3 | 12.5 | 16.5 | 16.5 | 16.5 |
| S2E3 | 0.056 | 0.013 | 10.9 | 11.3 | 12.5 | 16.5 | 16.5 | 16.5 |
| S3E1 | 0.093 | 0.084 | 12.8 | 13.4 | 13.0 | 16.6 | 16.6 | 16.6 |
| S3E2 | 0.093 | 0.084 | 12.8 | 13.4 | 13.0 | 16.6 | 16.6 | 16.6 |
| S3E3 | 0.093 | 0.084 | 12.8 | 13.4 | 13.0 | 16.6 | 16.6 | 16.6 |
| S4E1 | 0.162 | 0.151 | 3.3 | 3.5 | 3.9 | 5.1 | 4.8 | 4.8 |
| S4E2 | 0.162 | 0.151 | 3.3 | 3.5 | 3.9 | 5.1 | 4.8 | 4.8 |
| S4E3 | 0.162 | 0.151 | 3.3 | 3.5 | 3.9 | 5.1 | 4.8 | 4.8 |
| Rank | Medium Hazard | High Hazard | ||||||||||
| Detailed | Simplified | Detailed | Simplified | |||||||||
| C | M | W | C | M | W | C | M | W | C | M | W | |
| 1 | S3E3 | S2E3 | S3E2 | S4E1 | S4E1 | S4E1 | S3E3 | S4E3 | S4E2 | S4E2 | S4E2 | S4E2 |
| 2 | S4E3 | S2E2 | S4E1 | S4E2 | S4E2 | S4E2 | S4E3 | S4E2 | S4E1 | S3E3 | S4E3 | S4E1 |
| 3 | S4E2 | S3E3 | S2E1 | S4E3 | S4E3 | S2E1 | S4E2 | S3E3 | S4E3 | S4E3 | S4E1 | S4E3 |
| 4 | S3E2 | S2E1 | S3E1 | S2E2 | S2E2 | S2E2 | S3E2 | S4E1 | S3E2 | S3E2 | S3E3 | S3E2 |
| 5 | S4E1 | S3E2 | S4E2 | S2E3 | S2E1 | S4E3 | S3E1 | S3E2 | S3E3 | S4E1 | S3E2 | S3E1 |
| 6 | S3E1 | S4E3 | S3E3 | S2E1 | S2E3 | S3E1 | S4E1 | S2E3 | S3E1 | S3E1 | S3E1 | S3E3 |
| 7 | S2E3 | S3E1 | S2E2 | S3E2 | S3E2 | S3E2 | S2E3 | S3E1 | S2E2 | S2E3 | S2E3 | S2E2 |
| 8 | S2E2 | S4E1 | S2E3 | S3E1 | S3E3 | S2E3 | S2E2 | S2E2 | S2E1 | S2E2 | S2E2 | S2E1 |
| 9 | S2E1 | S4E2 | S4E3 | S3E3 | S3E1 | S3E3 | S2E1 | S2E1 | S2E3 | S2E1 | S2E1 | S2E3 |
| 10 | S1E3 | S1E3 | S1E3 | S1E3 | S1E3 | S1E1 | S1E3 | S1E3 | S1E2 | S1E3 | S1E3 | S1E2 |
| 11 | S1E2 | S1E2 | S1E1 | S1E2 | S1E2 | S1E2 | S1E1 | S1E1 | S1E1 | S1E2 | S1E2 | S1E1 |
| 12 | S1E1 | S1E1 | S1E2 | S1E1 | S1E1 | S1E3 | S1E2 | S1E2 | S1E3 | S1E1 | S1E1 | S1E3 |
| Medium Hazard | High Hazard | ||||||||||
| Detailed | Simplified | Detailed | Simplified | ||||||||
| C | M | W | C | M | W | C | M | W | C | M | W |
| S1E1 | S1E1 | S1E1 | S1E1 | S1E1 | S1E1 | S1E1 | S1E1 | S1E1 | S1E1 | S1E1 | S1E1 |
| S1E2 | S1E2 | S1E2 | S1E2 | S1E2 | S1E2 | S1E2 | S1E2 | S1E2 | S1E2 | S1E2 | S1E2 |
| S1E3 | S1E3 | S1E3 | S1E3 | S1E3 | S1E3 | S1E3 | S1E3 | S1E3 | S1E3 | S1E3 | S1E3 |
| S2E1 | S2E1 | S2E1 | S2E1 | S2E1 | S2E1 | S2E1 | S2E1 | S2E1 | S2E1 | S2E1 | S2E1 |
| S2E2 | S2E2 | S2E2 | S2E2 | S2E2 | S2E2 | S2E2 | S2E2 | S2E2 | S2E2 | S2E2 | S2E2 |
| S2E3 | S2E3 | S2E3 | S2E3 | S2E3 | S2E3 | S2E3 | S2E3 | S2E3 | S2E3 | S2E3 | S2E3 |
| S3E1 | S3E1 | S3E1 | S3E1 | S3E1 | S3E1 | S3E1 | S3E1 | S3E1 | S3E1 | S3E1 | S3E1 |
| S3E2 | S3E2 | S3E2 | S3E2 | S3E2 | S3E2 | S3E2 | S3E2 | S3E2 | S3E2 | S3E2 | S3E2 |
| S3E3 | S3E3 | S3E3 | S3E3 | S3E3 | S3E3 | S3E3 | S3E3 | S3E3 | S3E3 | S3E3 | S3E3 |
| S4E1 | S4E1 | S4E1 | S4E1 | S4E1 | S4E1 | S4E1 | S4E1 | S4E1 | S4E1 | S4E1 | S4E1 |
| S4E2 | S4E2 | S4E2 | S4E2 | S4E2 | S4E2 | S4E2 | S4E2 | S4E2 | S4E2 | S4E2 | S4E2 |
| S4E3 | S4E3 | S4E3 | S4E3 | S4E3 | S4E3 | S4E3 | S4E3 | S4E3 | S4E3 | S4E3 | S4E3 |
4.2. Ranking of the Retrofit Alternatives
5. Conclusions
Author Contributions
Funding
Conflicts of Interest
References
- European Comission Communication from the Commission to the European Parliament, the Council, the European Economic and Social Committee and the Committee ofthe Regions. 2020.
- Ministero dell’Ambiente e della Sicurezza Energetica Piano Nazionale Integrato per l’Energia e per il Clima. 2023.
- Pohoryles, D.; Bournas, D.; Da Porto, F.; Santarsiero, G.; Triantafillou, G.; Oliveira, D.; Jelle, B. Technologies for the combined seismic and energy upgrading of existing buildings; EUR 31012.; Publications Office of the European Union: Luxembourg, 2022; ISBN 978-92-76-49257-3. [Google Scholar]
- Gkatzogias, K.; Tsionis, G. Prioritising EU regions for building renovation: seismic risk, energy efficiency; 2022; ISBN 9789276550235.
- Gkatzogias, K.; Pohoryles, D.A.; Romano, E.; Bournas, D.A. 2023.
- Pohoryles, D.A.; Bournas, D.A.; Da Porto, F.; Santarsiero, G.; Triantafillou, T. 2022.
- Mucedero, G.; Couto, R.; Monteiro, R. Seismic and energy performance upgrading of existing buildings in Italy: seismicity vs. climatic conditions. 2.
- Asadi, E.; Salman, A.M.; Li, Y. Multi-criteria decision-making for seismic resilience and sustainability assessment of diagrid buildings. Eng. Struct. 2019, 191, 229–246. [Google Scholar] [CrossRef]
- Caterino, N.; Iervolino, I.; Manfredi, G.; Cosenza, E. Multi-Criteria Decision Making for Seismic Retrofitting of RC Structures. J. Earthq. Eng. 2008, 12, 555–583. [Google Scholar] [CrossRef]
- Requena-García-Cruz, M.V.; Morales-Esteban, A.; Durand-Neyra, P.; Estêvão, J.M.C. An index-based method for evaluating seismic retrofitting techniques. Application to a reinforced concrete primary school in Huelva. Earth its Atmos. 2019, 14. [Google Scholar] [CrossRef]
- Clemett, N.; Carofilis, W.; Gabbianelli, G.; O’Reilly, G.J.; Monteiro, R. Optimal Combined Seismic and Energy Efficiency Retrofitting for Existing Buildings in Italy. J. Struct. Eng. 2023, 149, 1–16. [Google Scholar] [CrossRef]
- Caruso, M.; Pinho, R.; Bianchi, F.; Cavalieri, F.; Lemmo, M.T. Integrated economic and environmental building classification and optimal seismic vulnerability/energy efficiency retrofitting; Springer Netherlands, 2021; Vol. 19; ISBN 0123456789.
- Saler, E.; Gattesco, N.; da Porto, F. A new combined approach to prioritise seismic retrofit interventions on stocks of r.c. school buildings. Int. J. Disaster Risk Reduct. 2023, 93, 103767. [Google Scholar] [CrossRef]
- Couto, R.; Mucedero, G.; Bento, R.; Monteiro, R. ON THE INFLUENCE OF CLIMATE AND SEISMIC HAZARD CONDITIONS IN THE IDENTIFICATION OF OPTIMAL RETROFITTING STRATEGIES FOR RC BUILDINGS. In Proceedings of the COMPDYN Proceedings; 2023; pp. 2070–2084. [Google Scholar]
- Caruso, M.; Couto, R.; Pinho, R.; Monteiro, R. Decision-making approaches for optimal seismic/energy integrated retrofitting of existing buildings. Front. Built Environ. 2023, 9, 1–12. [Google Scholar] [CrossRef]
- Mucedero, G.; Couto, R.; Clemett, N.; Monteiro, R. Implications of masonry infill – related uncertainty on the optimal seismic retrofitting of existing buildings. 14th Int. Conf. Appl. Stat. Probab. Civ. Eng. 2023, 1–8. [Google Scholar]
- Carofilis, W.; Clemett, N.; Gabbianelli, G.; O’Reilly, G.; Monteiro, R. Influence of Parameter Uncertainty in Multi-Criteria Decision-Making When Identifying Optimal Retrofitting Strategies for RC Buildings. J. Earthq. Eng. 2022. [Google Scholar] [CrossRef]
- Vamvatsikos, D.; Cornell, C.A. Direct Estimation of Seismic Demand and Capacity of Multidegree-of-Freedom Systems through Incremental Dynamic Analysis of Single Degree of Freedom Approximation. J. Struct. Eng. 2005, 131, 589–599. [Google Scholar] [CrossRef]
- Baltzopoulos, G.; Baraschino, R.; Iervolino, I.; Vamvatsikos, D. SPO2FRAG: software for seismic fragility assessment based on static pushover. Bull. Earthq. Eng. 2017, 15, 4399–4425. [Google Scholar] [CrossRef]
- Dolšek, M.; Fajfar, P. IN2 - A Simple Alternative for IDA. 13th World Conf. Earthq. Eng. 2004. [Google Scholar]
- FEMA P58-1 Seismic Performance Assessment of Buildings: Volume 1 - Methodology. 2018, 1, 344. 1. [CrossRef]
- Ramirez, C.M.; Miranda, E. Building-specific loss estimation methods & tools for simplified performance-based. Report No. 171;, Blume Center Report. Edited by T. J. A. B. E. E. Center. Stanford, CA. 2009. [Google Scholar]
- Mucedero, G.; Perrone, D.; Monteiro, R. Generalised Storey Loss Functions for Seismic Loss Assessment of Italian Residential Buildings. J. Earthq. Eng. 2023, 1–24. [Google Scholar] [CrossRef]
- Perrone, G.; Cardone, D.; O’Reilly, G.J.; Sullivan, T.J. Developing a Direct Approach for Estimating Expected Annual Losses of Italian Buildings. J. Earthq. Eng. 2022, 26, 1–32. [Google Scholar] [CrossRef]
- Nettis, A.; Gentile, R.; Raffaele, D.; Uva, G.; Galasso, C. Cloud Capacity Spectrum Method: Accounting for record-to-record variability in fragility analysis using nonlinear static procedures. Soil Dyn. Earthq. Eng. 2021, 150, 106829. [Google Scholar] [CrossRef]
- Cosenza, E.; Del Vecchio, C.; Di Ludovico, M.; Dolce, M.; Moroni, C.; Prota, A.; Renzi, E. The Italian guidelines for seismic risk classification of constructions: technical principles and validation; Springer Netherlands, 2018; Vol. 16; ISBN 0123456789.
- 27. FEMA P-58-3: Seismic Performance Assessment of Buildings: Volume 3—Performance Assessment Calculation Tool (PACT). Washington, DC FEMA.
- Applied Technology Council (ATC) ATC 40 - Seismic Evaluation and Retrofit of Concrete Buildings. 1996.
- Jalayer, F.; Ebrahimian, H.; Miano, A.; Manfredi, G.; Sezen, H. Analytical fragility assessment using unscaled ground motion records. Earthq. Eng. Struct. Dyn. 2017, 46, 2639–2663. [Google Scholar] [CrossRef]
- Peres, R.; Couto, R.; Sousa, I.; Castro, J. .; Bento, R. Modelling and evaluation of brittle shear effects on the seismic performance and loss assessment of RC buildings. Eng. Struct. 2023. [Google Scholar] [CrossRef]
- O’Reilly, G.J.; Perrone, D.; Fox, M.; Monteiro, R.; Filiatrault, A. Seismic assessment and loss estimation of existing school buildings in Italy. Eng. Struct. 2018, 168, 142–162. [Google Scholar] [CrossRef]
- Prota, A.; Di Ludovico, M.; Vecchio, C.; Menna, C. Progetto DPC-ReLUIS 2019-2021 WP5: Interventi di rapida esecuzione a basso impatto ed integrati. 2020, 72. 72.
- Mucedero, G.; Perrone, D.; Brunesi, E.; Monteiro, R. Numerical modelling and validation of the response of masonry infilled rc frames using experimental testing results. Buildings 2020, 10, 1–30. [Google Scholar] [CrossRef]
- McKenna, F.; Scott, M.H.; Fenves, G.L. Nonlinear Finite-Element Analysis Software Architecture Using Object Composition. J. Comput. Civ. Eng. 2010, 24, 95–107. [Google Scholar] [CrossRef]
- Carofilis, W.; Gabbianelli, G.; Monteiro, R. Assessment of Multi-Criteria Evaluation Procedures for Identification of Optimal Seismic Retrofitting Strategies for Existing RC Buildings. J. Earthq. Eng. 2021, 26, 5539–5572. [Google Scholar] [CrossRef]
- MIT NTC 2018:, D.M. del Ministero delle Infrastrutture e dei trasporti del 17/01/2018. Aggiorna- mento delle Norme Tecniche per le Costruzioni (in Italian). 2018.
- Fajfar, P. A Nonlinear Analysis Method for Performance-Based Seismic Design. Earthq. Spectra 2000, 16, 573–592. [Google Scholar] [CrossRef]
- O’Reilly, G.J.; Sullivan, T.J. Modeling Techniques for the Seismic Assessment of the Existing Italian RC Frame Structures. J. Earthq. Eng. 2019, 23, 1262–1296. [Google Scholar] [CrossRef]
- Decreto Ministeriale DM, n. 58/2020. Linee Guida per la Classificazione del Rischio Sismico delle Costruzioni. 2020. [Google Scholar]
- Calvi, G.M. Choices and criteria for seismic strengthening. J. Earthq. Eng. 2013, 17, 769–802. [Google Scholar] [CrossRef]
- Economico, I.M.D.S. Decreto interministeriale 26 Giugno 2015, Applicazione delle metodologie di calcolo delle prestazioni energetiche e definizione delle prescrizioni e dei requisiti minimi degli edifici; Rome: Italian Government, 2015. [Google Scholar]
- Carofilis, W.; Perrone, D.; O’Reilly, G.J.; Monteiro, R.; Filiatrault, A. Seismic retrofit of existing school buildings in Italy: Performance evaluation and loss estimation. Eng. Struct. 2020, 225, 111243. [Google Scholar] [CrossRef]
- Clemett, N.; Carofilis, W.; O’Reilly, G.J.; Gabbianelli, G.; Monteiro, R. Optimal seismic retrofitting of existing buildings considering environmental impact. Eng. Struct. 2022, 250, 113391. [Google Scholar] [CrossRef]
- GEM The OpenQuake-engine User Manual. Global Earthquake Model (GEM) Open- Quake Manual for Engine version 3.7.0. 2019, 183. [CrossRef]
- Ancheta, T.D.; Darragh, R.B.; Stewart, J.P.; Seyhan, E.; Silva, W.J.; Chiou, B.S.-J.; Wooddell, K.E.; Graves, R.W.; Kottke, A.R.; Boore, D.M.; et al. NGA-West2 Database. Earthq. Spectra 2014, 30, 989–1005. [Google Scholar] [CrossRef]
- O’Reilly, G.J.; Sullivan, T.J. Quantification of modelling uncertainty in existing Italian RC frames. Earthq. Eng. Struct. Dyn. 2018, 47, 1054–1074. [Google Scholar] [CrossRef]
- Mucedero, G.; Perrone, D.; Monteiro, R. Epistemic uncertainty in poorly detailed existing frames accounting for masonry infill variability and RC shear failure. Earthq. Eng. Struct. Dyn. 2022, 51, 3755–3778. [Google Scholar] [CrossRef]
- Mucedero, G.; Perrone, D.; Monteiro, R. Infill Variability and Modelling Uncertainty Implications on the Seismic Loss Assessment of an Existing RC Italian School Building. Appl. Sci. 2022, 12. [Google Scholar] [CrossRef]
- Gencturk, B.; Elnashai, A.S. Development and application of an advanced capacity spectrum method. Eng. Struct. 2008, 30, 3345–3354. [Google Scholar] [CrossRef]
- Chopra, A.K.; Goel, R.K. Evaluation of NSP to Estimate Seismic Deformation: SDF Systems. J. Struct. Eng. 2000, 126, 482–490. [Google Scholar] [CrossRef]
- FEMA P58-4 Seismic Performance Assessment of Buildings Volume 4 – Methodology for Assessing Environmental Impacts. Fema P-58-4 2018, 4, 122.
- Couto, R.; Mucedero, G.; Bento, R.; Monteiro, R. A practice-oriented approach for the seismic and energy performance upgrading of existing buildings. J. Earthq. Eng.
- O’Reilly, G.J.; Nafeh, A.M.B.; Shahnazaryan, D. Simplified tools for the risk assessment and classification of existing buildings. Procedia Struct. Integr. 2023, 44, 1744–1751. [Google Scholar] [CrossRef]
- Edilclima EC700 Calcolo Prestazioni Energetiche Degli Edifici—Versione 11. 2022.











| Group | Decision Variables | Weight | |
|---|---|---|---|
| Economic | C1 | Installation cost | 0.15 |
| C2 | Expected annual costs (EAC) | 0.19 | |
| Environmental | C3 | Expected life-cycle environmental impacts (LCEI) | 0.18 |
| Social | C4 | Annual probability of failure (APF) | 0.14 |
| C5 | Duration of works | 0.13 | |
| C6 | Architectural impact | 0.06 | |
| Technical | C7 | Need for specialized labour/design knowledge | 0.05 |
| C8 | Required intervention at the foundations | 0.10 | |
| City | ID | Coordinates | Level of seismicity |
PGA (SLV) [g] |
Climatic zone |
Heating Degree Days (HDD) |
| Città di Castello | H-C | 43.4700°N, 12.2314° E | High (H) | 0.30 | Cold (C) | 2347 |
| Isola del Gran Sasso d’Italia | H-M | 42.5056°N, 13.6592° E | 0.29 | Moderate (M) | 2038 | |
| Catania | H-W | 37.5013°N, 15.0742° E | 0.29 | Warm (W) | 833 | |
| Vicenza | M-C | 45.5455º N, 11.5354º E | Medium (M) | 0.21 | Cold (C) | 2371 |
| Serravalle Pistoiese |
M-M | 43.9059º N, 10.8330º E, |
0.20 | Moderate (M) | 2010 | |
| Cirò Marina | M-W | 39.368º N, 17.128º E | 0.21 | Warm (W) | 845 | |
| Alessandria | L-C | 44.9073° N, 8.6117° E | Low (L) | 0.08 | Cold (C) | 2559 |
| Genova | L-M | 44.4056° N, 8.9463° E | 0.10 | Moderate (M) | 1435 | |
| Agrigento | L-W | 37.3089° N, 13.5858° E | 0.08 | Warm (W) | 729 |
| Direction | Low hazard | Medium hazard | High Hazard | ||||||
|---|---|---|---|---|---|---|---|---|---|
| L-C | L-M | L-W | M-C | M-M | M-W | H-C | H-M | H-W | |
| X | 135 | 115 | 140 | 55 | 58 | 54 | 39 | 40 | 39 |
| Y | 95 | 81 | 98 | 38 | 41 | 38 | 27 | 28 | 27 |
| Retrofit Alternative | Units | Medium hazard | High hazard | |
|---|---|---|---|---|
| S1 | Column wrap | m2 | 245.1 | 352.6 |
| Column bar | m | 2972 | 2972 | |
| Beam wrap | m2 | 177.8 | 256.2 | |
| Joint wrap | m2 | 138.2 | 186 | |
| S2 | Braced bays | Nr | 9 | 10 |
| S3 | Column wrap | m2 | 5.1 | 10.2 |
| Column bar | m | 272.0 | 272.0 | |
| Beam wrap | m2 | 11.7 | 31.22 | |
| Joint wrap | m2 | 45.5 | 45.5 | |
| Braced bays | Nr | 10 | 10 | |
| S4 | Column wrap | m2 | - | 10.2 |
| Column bar | m | - | 456 | |
| Beam wrap | m2 | - | 33.7 | |
| Joint wrap | m2 | 53.4 | 53.4 | |
| Viscous dampers | Nr | 36 | 36 | |
| Alt | Medium Hazard | High Hazard | ||||||||||
| Cold | Moderate | Warm | Cold | Moderate | Warm | |||||||
| C1 (€/m2) | C5 (days) | C1 (€/m2) |
C5 (days) | C1 (€/m2) |
C5 (days) | C1 (€/m2) |
C5 (days) | C1 (€/m2) |
C5 (days) | C1 (€/m2) |
C5 (days) | |
| S1E1 | 529 | 38 | 525 | 38 | 507 | 38 | 867 | 60 | 881 | 61 | 871 | 63 |
| S1E2 | 589 | 38 | 568 | 38 | 543 | 38 | 927 | 60 | 925 | 61 | 908 | 63 |
| S1E3 | 753 | 42 | 692 | 42 | 671 | 42 | 1091 | 64 | 1048 | 65 | 1036 | 67 |
| S2E1 | 135 | 21 | 131 | 21 | 113 | 21 | 136 | 22 | 132 | 22 | 114 | 22 |
| S2E2 | 196 | 23 | 175 | 23 | 150 | 23 | 196 | 24 | 175 | 24 | 150 | 24 |
| S2E3 | 359 | 28 | 298 | 28 | 277 | 28 | 360 | 29 | 299 | 29 | 278 | 29 |
| S3E1 | 172 | 23 | 168 | 23 | 150 | 23 | 180 | 37 | 213 | 42 | 195 | 42 |
| S3E2 | 232 | 23 | 211 | 23 | 186 | 23 | 240 | 37 | 257 | 42 | 232 | 42 |
| S3E3 | 396 | 27 | 335 | 27 | 314 | 27 | 404 | 41 | 380 | 46 | 360 | 46 |
| S4E1 | 289 | 14 | 284 | 14 | 266 | 14 | 437 | 44 | 419 | 44 | 381 | 43 |
| S4E2 | 349 | 27 | 328 | 27 | 303 | 27 | 499 | 44 | 463 | 44 | 418 | 43 |
| S4E3 | 513 | 31 | 451 | 31 | 431 | 31 | 661 | 48 | 586 | 48 | 546 | 47 |
| Alt. | Dir. | Medium hazard | High Hazard | ||||
| M-C | M-M | M-W | H-C | H-M | H-W | ||
| S1 | X | 120 % | 123 % | 95 % | 120 % | 108 % | 99 % |
| Y | 134 % | 134 % | 105 % | 120 % | 107 % | 109 % | |
| S2 | X | 92 % | 95 % | 73 % | 63 % | 55 % | 50 % |
| Y | 113 % | 115 % | 88 % | 85 % | 76 % | 70 % | |
| S3 | X | 122 % | 125 % | 96 % | 82 % | 73 % | 68 % |
| Y | 111 % | 113 % | 99 % | 87 % | 77 % | 76 % | |
| S4 | X | 125 % | 128 % | 97 % | 117 % | 105 % | 96 % |
| Y | 127 % | 130 % | 99 % | 155 % | 137 % | 129 % | |
| Hazard level | Model | Fundamental period [s] | M1* [%] | TGM | 0.2TGM – 1.5TGM | |
| Longitudinal | Transverse | |||||
| Medium hazard | S0 | 0.235 | 0.267 | 38.0 | 0.25 | 0.05 - 0.38 |
| S1 | 0.561 | 0.454 | 39.3 | 0.50 | 0.10 - 0.76 | |
| S2 | 0.408 | 0.379 | 47.1 | 0.39 | 0.08 - 0.59 | |
| S3 | 0.405 | 0.379 | 46.1 | 0.39 | 0.08 - 0.59 | |
| S4 | 0.779 | 0.565 | 41.5 | 0.66 | 0.13 – 1.00 | |
| High hazard | S0 | 0.235 | 0.267 | 38.0 | 0.25 | 0.05 - 0.38 |
| S1 | 0.571 | 0.454 | 40.4 | 0.44 | 0.09 - 0.67 | |
| S2 | 0.407 | 0.373 | 44.0 | 0.39 | 0.08 - 0.60 | |
| S3 | 0.405 | 0.365 | 43.9 | 0.38 | 0.08 - 0.60 | |
| S4 | 0.785 | 0.563 | 41.4 | 0.59 | 0.12 – 0.90 | |
| Alt. | Param. | Medium hazard | High hazard | ||||||||||||||||
| M-C | M-M | M-W | H-C | H-M | H-W | ||||||||||||||
| % | Class | % | Class | % | Class | % | Class | % | Class | % | Class | ||||||||
| S1 | SI-LS | 120 | A+ | A+ | 123 | A+ | A+ | 95 | A | A | 120 | A+ | A | 108 | A+ | A | 99 | A | A |
| EAL | 0.46 | A+ | 0.48 | A+ | 0.52 | A | 0.61 | A | 0.61 | A | 0.64 | A | |||||||
| S2 | SI-LS | 92 | A | A | 95 | A | A | 73 | B | B | 63 | B | B | 55 | C | C | 50 | C | C |
| EAL | 0.49 | A+ | 0.51 | A | 0.59 | A | 0.80 | A | 0.82 | A | 0.60 | A | |||||||
| S3 | SI-LS | 111 | A+ | A+ | 113 | A+ | A+ | 96 | A | A | 82 | A | A | 73 | B | B | 68 | B | B |
| EAL | 0.46 | A+ | 0.46 | A+ | 0.50 | A | 0.63 | A | 0.67 | A | 0.65 | A | |||||||
| S4 | SI-LS | 125 | A+ | A+ | 128 | A+ | A+ | 97 | A | A | 117 | A+ | A | 105 | A+ | A | 96 | A | A |
| EAL | 0.42 | A+ | 0.43 | A+ | 0.47 | A+ | 0.52 | A | 0.54 | A | 0.52 | A | |||||||
Disclaimer/Publisher’s Note: The statements, opinions and data contained in all publications are solely those of the individual author(s) and contributor(s) and not of MDPI and/or the editor(s). MDPI and/or the editor(s) disclaim responsibility for any injury to people or property resulting from any ideas, methods, instructions or products referred to in the content. |
© 2024 by the authors. Licensee MDPI, Basel, Switzerland. This article is an open access article distributed under the terms and conditions of the Creative Commons Attribution (CC BY) license (https://creativecommons.org/licenses/by/4.0/).