Preprint
Review

This version is not peer-reviewed.

Unveiling the Influential Factors and Heavy Industrial Applications of Graphene Hybrid Polymer Composites

A peer-reviewed article of this preprint also exists.

Submitted:

06 April 2024

Posted:

08 April 2024

You are already at the latest version

Abstract
Graphene hybrid-filler polymer composites have emerged as prominent materials that revolutionize heavy industries. This study encapsulates the in-depth analysis of different influential factors such as filler/graphene type, aspect ratios, dispersion methods, filler-matrix compatibility, fiber orientation, synergistic effects, different processing techniques, and post-curing conditions that affect the processing, properties and determine the resultant applications of graphene hybrid polymer composites. Additionally, it discusses the substantial role of graphene collaboration with other fillers such as carbon nanotubes, silica, nano-clays and metal oxides to produce functionalized hybrid polymer composites with synergistically enhanced tailored properties to offer solutions for heavy industries like aerospace, automotive, electronics, and energy harvesting. The review concludes with some suggestions and outlook on the future of these composite materials by emphasizing the need for continued research to fully optimize their potential.
Keywords: 
;  ;  ;  ;  

1. Introduction

Graphene hybrid-filler polymer composites are a strong candidate in material science due to their exceptional properties and transformative implications in heavy industries. The remarkable mechanical, thermal, and electrical properties and lightweight of graphene composites are due to graphene, a two-dimensional material with sp2 bonding of carbon atoms. Integration of graphene in polymer matrices with various fillers leads to multifunctional composites with magical properties that offer durability and competence under rigorous engineering conditions. Due to its high tensile strength (≈1 TPa) [1], intrinsic mobility of charge carriers (≈200,000 cm2/Vs) [2], and intrinsic thermal conductivity (≈ 5000 W/mK at room temperature) [3], graphene is ideal for producing polymer composites with substantial increase in the strength, conductivity, and thermal stability. Moreover, the presence of graphene with multi-fillers, e.g., carbon nanotubes (CNTs), nano clays, metal oxides, carbon black, silica, and one-dimensional nanowires plays a critical role in producing polymer composites with diverse properties [4]. The introduction of graphene with these fillers results in complex systems with synergistic effects [5] to produce hybrid, ternary, and quadra polymer composites, which open avenues for advanced applications in heavy industries [6]. For instance, graphene combined with CNTs creates an entangled structure and increases mechanical strength and electrical conductivity [7]. However, when combined with nano-clays, graphene promotes thermal stability and barrier properties [8]. Combining graphene with metal (e.g., silver and copper) nanoparticles proposes higher electrical conductivity and antimicrobial properties [9,10]. Furthermore, when combined with boron nitride microparticles (micro-BN), graphene nanoplatelets (GNPs) significantly increase the thermal conductivity of epoxy composites [2].
However, the fabrication and performance of these polymer composites is highly influenced by several factors [11], including the type of polymer matrix, types and morphologies of multiple fillers, their concentrations, quality, and aspect ratio of graphene, and processing methods of composite preparation [12]. The ability of graphene hybrid filler polymer composites to withstand extreme conditions while maintaining their durability and efficiency makes them vital to fulfill industrial demands. In heavy industries, graphene hybrid filler polymer composites are utilized in manufacturing lightweight structural components, thermal management systems for electronic devices, and conductive elements in energy storage devices [13,14].
Thus, in this study, we summarized the key factors that play a decisive role in the development and performance evaluation of graphene hybrid polymer composites, and the applications of these polymer composites in various industrial sectors were critically reviewed. In the end, a few suggestions and prospects will be proposed to overcome the structural flaws and fully harness the potential of these polymer composites.

2. Influencing Factors of Graphene Hybrid Polymer Composites

2.1. Graphene Type and Aspect Ratio

Filler type and aspect ratio are the backbone of the fabrication of smart composites [15]. While dealing with graphene hybrid polymer composites, the choice of graphene type plays a decisive role in portraying the structural and functional properties of the final composite. Currently, different types of graphene are used to design polymer composites, e.g., pristine graphene, graphene oxide (GO), and reduced graphene oxide (rGO), as shown in Figure 1. However, each type has its unique structural characteristics that extremely influence the performance and tailor the properties resultant composites. For example, pristine graphene, a single layer of carbon atoms arranged in a hexagonal lattice, highly boosts mechanical features like tensile strength and Young's modulus of polymer composites due to its intrinsic structural organization and atomic-level thickness. Also, with a high aspect ratio, pristine graphene sheets present effective load transfer and stress distribution properties [16]. On the other hand, GO keeps oxygen-containing functional groups, which highly facilitate the dispersibility and strong interfacial interactions through polymer matrices, directing them to enhanced thermal stability and mechanical properties [17]. rGO is obtained by the reduction of GO and owns several oxygen functionalities. However, the exceptional structure of rGO supports effective charge transport in the composite compared to GO. It thus shows higher electrical conductivity and mechanical strength, making it an ideal candidate for applications involving electrical conductivity, e.g., sensors and conductive coatings [18].
Figure 1. Different types of graphene. The chemical structures of graphene, graphene oxide, and reduced graphene oxide, along with their respective synthesis processes. Adopted with permission from Ref. [19].
Figure 1. Different types of graphene. The chemical structures of graphene, graphene oxide, and reduced graphene oxide, along with their respective synthesis processes. Adopted with permission from Ref. [19].
Preprints 103265 g001
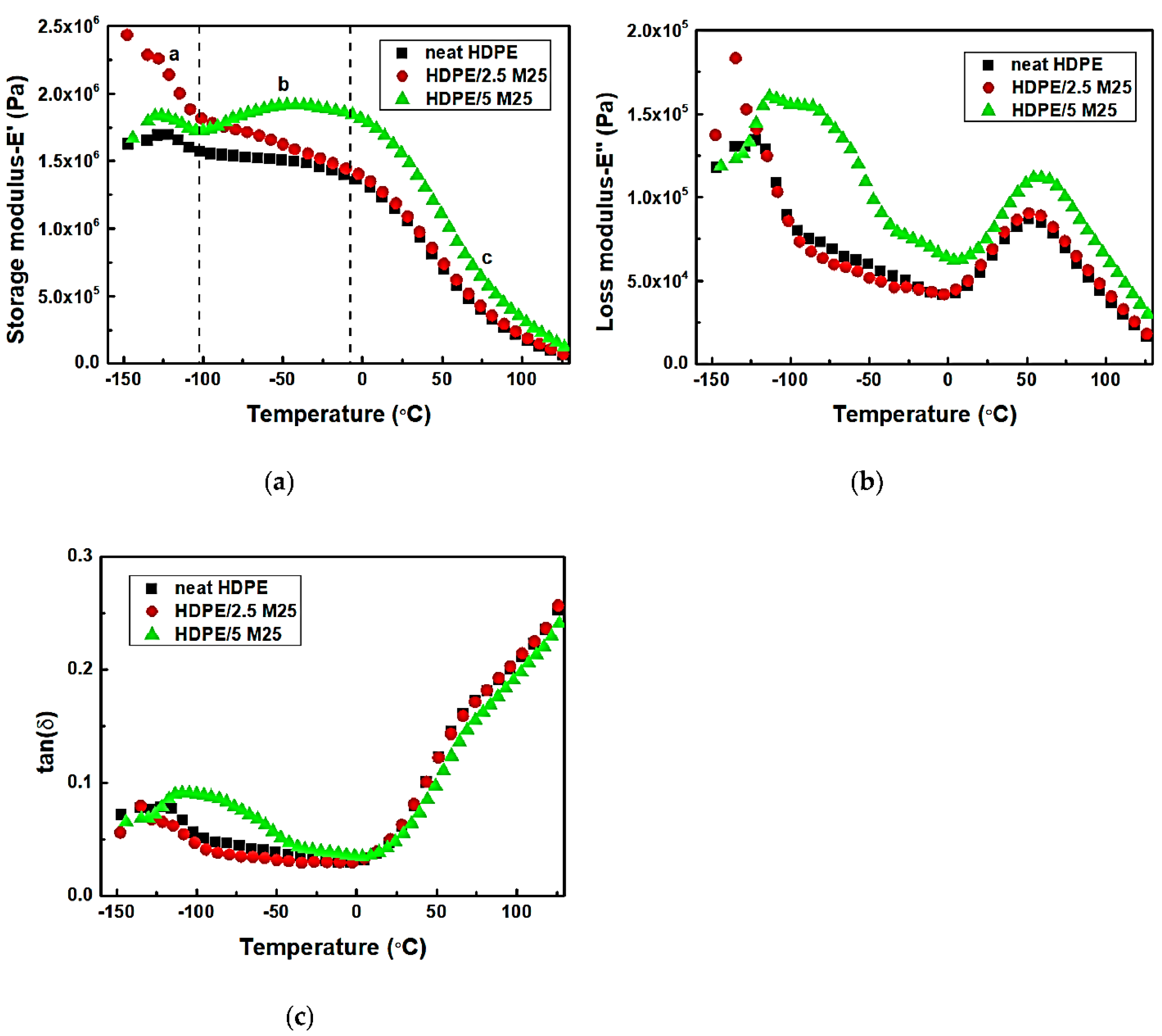
In recent years, various graphene derivatives and nanostructures have been employed to manufacture polymer composites for desired applications. Graphene nanoplatelets (GNPs), with their plate-like shape and high aspect ratio, improve the strength and toughness of polymer composites [20]. Graphene and graphene oxide quantum dots, with their quantum confinement effects and tunable electronic properties, optimize composite materials' electrical conductivity and optical characteristics [21]. Graphene nanoribbons (GNRs), with their one-dimensional structure, offer exceptional mechanical strength and superior thermal conductivity [22]. Ultralight and porous graphene aerogels (GAs) provide thermal stability and energy absorption properties [23]. Finally, graphene masterbatches simplify the incorporation of graphene into composites, ensuring uniform distribution for consistent performance [24]. These innovations enable the design of advanced composite materials with tailored properties for various industrial applications, opening new perspectives in materials engineering. Tarani et al. [25] examined the influence of graphene nanoplatelet (GNP) aspect ratio on the mechanical properties of high-density polyethylene (HDPE) nanocomposite. Figure 2. shows that adding GNPs improves both the storage and loss modulus of the nanocomposite compared to pure HDPE, indicating an enhancement of the mechanical properties. This enhancement is more evident in nanocomposites with higher proportions of GNPs, suggesting that the aspect ratio of GNPs plays a significant role in the reinforcement of the HDPE nanocomposite.
Figure 2. Shows the storage modulus, loss modulus, and tan(δ) values of HDPE/M25 nanocomposites containing 2.5 wt.% and 5 wt.% GNPs. Adopted with permission from Ref. [25].
Figure 2. Shows the storage modulus, loss modulus, and tan(δ) values of HDPE/M25 nanocomposites containing 2.5 wt.% and 5 wt.% GNPs. Adopted with permission from Ref. [25].
Preprints 103265 g002
Graphene hybrid polymer composites hold great promise due to the discrete dimensions of graphene and other fillers. For instance, combining graphene with CNTs upholds micrometer lengths and 10-30 nm diameters. This scheme establishes a synergistically infiltrated network through polymers producing materials with superb electrical conductivity (1000-3000 Sm-1), mechanical strength, and thermal conductivity [26,27]. Furthermore, graphene combined with metal nanoparticles like gold (Au), silver (Ag), and copper (Cu) offers nanoscale dimensions (< 100 nm in diameter) and produces a highly connected network structure in the polymer matrix, presenting a higher electrical conductivity of 107 Sm-1 [28,29]. Besides the dimension, the aspect ratio of graphene drastically impacts the structural features and properties of the polymer composites. The higher aspect ratio promotes better dispersion and interfacial adhesion and thus helps to achieve interconnected network structures in polymer matrices, resulting in increased mechanical strength and electrical conduction [30,31]. Long fibers, e.g., CNTs and CFs, can also make a continuous network in a polymer matrix even with low loading, which precedes excellent stress distribution, heat dissipation, tensile strength, and resistance to structural deformation [29].
Conversely, the low aspect ratio of short nanoparticles results in gaps and irregular networks, which hinder the overall performance of the composite. Nevertheless, filler type, size, and aspect ratio are crucial to producing composite materials with tailored properties for specific applications [32].

2.2. Filler-Matrix Compatibility

Filler-matrix compatibility is a crucial factor in achieving robust and flawless composites. Graphene's 2D structure, nanometer size, and high surface area aid in the infusion capability to fabricate polymer composites with interlinked structures and expanded properties [33]. A well-maintained filler-matrix compatibility aids in realizing a uniform dispersion of filler and ordered structure with tailored properties [34,35,36]. Lu et al. [37] conducted molecular dynamics simulations to compare the elastic properties of graphene- and fullerene-reinforced polymer composites. They found that the size and morphology of graphene fillers strongly influence stiffness improvement, with smaller graphene flakes (2-4 nm radius) providing higher reinforcement than larger flakes or spherical fullerene fillers. This effect was attributed to the improved ordering and densification of polymer chains at the graphene-matrix interface. In another study, Li et al. [38] developed dopamine (DA) modified graphene oxide (GO) and copper nanowires (Cu NWs) hybrid epoxy composites, and with the proportion of Cu-NWs @PDA:GO@PDA 7:3, a strong filler matrix compatibility was observed, which resulted in higher thermal conductivity of 0.36 Wm-1 K-1 with outstanding electrical insulation properties.
Conversely, due to strong Van der Walls forces, high aspect ratios of graphene lead to agglomeration and non-uniform dispersion through polymer matrix [39]. Graphene is surface functionalized using different chemical groups or polymers to break the barrier, increasing the interfacial bonding and interaction between the filler and matrix. Romasanta et al. [40] successfully produced functionalized graphene sheet (FGS) filled poly(dimethyl)siloxane nanocomposites and at 2 wt % FGS, a high dielectric constant was realized with high mechanical properties. Likewise, D. R. Son et al. [41] examined the compatibility of thermally reduced graphene (TRG) with multiblock copolyesters composed of poly (butylene terephthalate) (PBT) and poly(tetramethylene ether) glycol segments. The results showed that the compatibility improved with increasing content of the PBT segment in the polyester. This compatibility behavior was quantitatively analyzed using the electrical conductivity percolation threshold and Hansen solubility parameters. The results suggest that the compatibility of TRG with a polymer increases as the polymer's total solubility parameter (dT) value approaches 24.0 (MPa)1/2. Several other studies [4,42] have also reported using hybrid fillers, such as graphene/carbon nanotubes or graphene/ceramic composites, to achieve synergistic improvements in polymer composites' thermal, electrical, and mechanical properties. The compatibility between the filler and the polymer matrix components plays a crucial role in determining the overall performance of these hybrid systems.

2.3. Homogeneity of Dispersion

In the fabrication of excellent hybrid polymer composites, homogeneous dispersion is crucial to determine the performance and properties. In Graphene-based hybrid composites, [43] firstly, graphene and other fillers are evenly dispersed with each other and later uniformly distributed in a polymer matrix. Good dispersion results in symmetrical structure and significantly boosts mechanical properties, i.e., fracture resistance, high tensile strength [44], and load-bearing facilities. Electrical and thermal conductivities are also improved, facilitating continuous charge transport, sensors, and heat management applications [38]. Tuichai et al. [45] prepared well-dispersed Ag-rGO/ polyvinylidene fluoride (PVDF) composites using a seed-mediated growing technique and achieved a highly connected microstructure with a high dielectric constant. However, poor dispersion [46] results in agglomeration and uneven distribution within hybrid fillers and polymer matrix and severely demoralizes the composite capabilities. Such composite presents an irregular and non-uniform structure, leading to mechanical disruptions and ineffective electrical and thermal conductivities due to interrupted pathways [47]. Gong et al. [48] used the chemical vapor deposition (CVD) method to deposit graphene on the surface of nickel meshes, followed by creating graphene fabrics by removing the nickel template. Next, they stacked these graphene fabrics layer by layer to obtain an anisotropic graphene structure, giving the polyimide (PI) composite an in-plane thermal conductivity of 3.73 Wm−1K−1 with 12 wt.% of graphene, as shown in (Figure 3a). On the other hand, Dai et al. [49] employed a roller equipment to extend and roll the porous polyurethane (PU)-graphene film, resulting in a large-scale monolith with a vertically aligned structure shown in (Figure 3b). After the graphitization process and epoxy resin infiltration, the resulting composite demonstrated an unprecedented thermal conductivity of 62.4 Wm−1K−1.
Figure 3. (a) compaction and (b) rolling process in producing anisotropic graphene networks and related composites. Reprinted with permission from Ref. [48,49].
Figure 3. (a) compaction and (b) rolling process in producing anisotropic graphene networks and related composites. Reprinted with permission from Ref. [48,49].
Preprints 103265 g003

2.4. Fiber Orientation

Fiber orientation highly influences the performance of polymer composites. In fiber-reinforced composites, unidirectional alignment offers high strength along the fibers but weaker properties in perpendicular directions. Bidirectional laminates offer a balance of properties, while graphene can improve different mechanical, thermal, and electrical characteristics depending on orientation. Controlling the orientation of the multiple fibers and graphene during processing allows the customization of composite properties for specific applications. Liu et al. [50] prepared anisotropic graphene aerogels by reducing GO with ascorbic acid at 70 °C for four hours, followed by freeze drying (Figure 4a). These materials show high compressive strength in the axial direction and good compressibility in both directions together with a sensitive electrical conductivity upon deformation. They feature ultra-low density, high porosity, fire resistance, and flexibility in organic liquids. After absorption of liquids, they can be easily recycled by combustion, distillation and pressing. Moreover, Zhang et al. [51] developed a vertically aligned graphene sheet membrane (VA-GSM) using a freezing approach (Figure 4b). VA-GSM demonstrated water evaporation rates of up to 6.25 kg m−2 h−1 under four times solar illumination, with a solar thermal conversion efficiency of up to 94.2%. This performance makes it possible to efficiently produce clean water from sources such as seawater and wastewater, as well as concentrated acid and alkaline solutions.
In another study, thermally conductive polymer composites were obtained from graphene oxide hydrogels via directional freezing and graphitization at 2800°C. It was observed that these aerogels exhibit excellent thermal and electrical conduction properties due to the highly aligned network of graphitized graphene sheets. An epoxy composite with 0.75% high-quality graphene exhibits a vertical thermal conductivity of 6.57 Wm-1K-1 with improved mechanical strength and compressive deformation. (Figure 4c) shows SEM images of vertically aligned graphene networks at different freezing rates with a top view [52].
Figure 4. (a) Schematic of the microscopic process of directional freezing [50]. (b) Schematic of directional freezing of graphene oxide (GO) suspension and aligned graphene (GA) structure [51]. (c) SEM images showing vertically aligned graphene networks, fabricated through freeze-drying at different freezing rates and subsequent freeze-drying, with top view [52]. Reused with permission from refs. [50,51,52].
Figure 4. (a) Schematic of the microscopic process of directional freezing [50]. (b) Schematic of directional freezing of graphene oxide (GO) suspension and aligned graphene (GA) structure [51]. (c) SEM images showing vertically aligned graphene networks, fabricated through freeze-drying at different freezing rates and subsequent freeze-drying, with top view [52]. Reused with permission from refs. [50,51,52].
Preprints 103265 g004
The An et al. [53] fabricated vertically aligned graphene hybrid foams (GHFs) via the hydrothermal reduction process of GNPs, resulting in high-density foams. The integration of GNPs improves the thermal conduction network's density and prevents excessive foam shrinkage during manufacturing. By graphitization at 2800 °C, the oxygen-containing groups are eliminated, and the defects are healed, obtaining high-quality graphene foams (Figure 5a). It was observed that GHF/epoxy composites exhibit extraordinary through-plane thermal conductivity of 35.5 Wm–1K–1 at a graphene content of 19 vol.%, making them compatible for thermal management applications (Figure 5b).
Figure 5. (a) Representative diagram of a conductive epoxy composite production enriched with vertically oriented RGO/GNP hybrid foam. (b) Conductivity variation in the in-plane direction (red column) and in the transverse direction (blue column) of the epoxy composite incorporating the RGO/GNP hybrid foam aligned vertically at different temperatures. Adopted with permission from ref. [53].
Figure 5. (a) Representative diagram of a conductive epoxy composite production enriched with vertically oriented RGO/GNP hybrid foam. (b) Conductivity variation in the in-plane direction (red column) and in the transverse direction (blue column) of the epoxy composite incorporating the RGO/GNP hybrid foam aligned vertically at different temperatures. Adopted with permission from ref. [53].
Preprints 103265 g005

2.5. Synergistic Effects

The presence of graphene in hybrid polymer composites results in synergistically enhanced network structures, making them ideal for structural applications [54]. These composites exhibit superior mechanical properties, such as increased tensile strength, modulus, and toughness. Their high electrical and thermal conductivity makes them suitable for flexible electronics, thermal management, and electromagnetic interference shielding. Xiao et al. [55] developed PVDF composites with various combinations of CNTs and GNPs (Figure 6a). The addition of 2 wt% CNTs to PVDF/GNP composites generated a three-dimensional hybrid network with improved thermal and electrical conductivity and the incorporation of 2 wt.% GNPs into the PVDF/CNT composites did not change the percolated structure. Both CNTs and GNPs promoted the crystallization of PVDF without significantly altering the crystallinity. Ternary composites demonstrated increased electrical conductivity due to a three-dimensional conductive path. Particularly, PVDF/CNT/GNP composites showed higher thermal conductivity and synergistic efficiency than PVDF/GNP/CNT composites. Also, Liang et al. [56] developed an epoxy nanocomposite with four times the thermal conductivity of pure epoxy, using an RGO/f-SWCNT filler loading of 3.65 vol%. This result was achieved due to a rigid and well-aligned 3D skeleton of RGO walls connected by f-SWCNTs (Figure 6b), which not only improved the alignment of the SWCNTs, but also allowed a significant reduction in the amount of SWCNT used, helping to reduce costs. The 3D networks improved both the dimensional and thermal stability of the nanocomposite without compromising its electrical insulation properties. Shtein et al. [57] explored the effective integration of GNP into a polymer matrix to improve thermal conductivity (TC) significantly. Through a scalable and straightforward dispersion process, the resulting composite demonstrated an ultrahigh TC of 12.4 Wm-1K-1, compared to 0.2 Wm-1K-1 for the pure polymer, by applying high compressive forces to close the spaces between adjacent graphene nanoplatelets. It was found that the addition of boron nitride nanoparticles synergistically improved TC while reducing electrical conductivity to prevent short circuits (Figure 6c), thus facilitating progress towards large-scale production of thermally conductive composites based on GNP. Xue et al. [58] developed novel composite phase change materials (PCMs) by incorporating melamine foam with GO and GNPs (Figure 6d). The resulting aerogels exhibited high structural stability and high load-bearing capacity. The composite PCMs exhibited high-temperature shape stability and high phase change enthalpy retention capacity, as well as significantly improved thermal and electrical conductivities. These results indicate considerable potential for applications in energy efficiency and thermal protection of microelectronic devices.
Figure 6. (a)(b) Schematics illustrating the synergies between GNPs and CNTs in thermal conduction [55,56]. (c) Schematics illustrating the synergies between GNP (polymeric nanoalloys, represented by the blue slices) and BN (boron nitrate, represented by the red spheres) [57]. (d) Schematic illustration of the preparation process of both the graphene/MF foam (mixed fiber graphene foam) and the derived graphene/carbon foam [58]. Reprinted with permission from refs. [55,56,57,58].
Figure 6. (a)(b) Schematics illustrating the synergies between GNPs and CNTs in thermal conduction [55,56]. (c) Schematics illustrating the synergies between GNP (polymeric nanoalloys, represented by the blue slices) and BN (boron nitrate, represented by the red spheres) [57]. (d) Schematic illustration of the preparation process of both the graphene/MF foam (mixed fiber graphene foam) and the derived graphene/carbon foam [58]. Reprinted with permission from refs. [55,56,57,58].
Preprints 103265 g006

2.6. Processing Techniques

Composite processing methods are pillars to achieve uniformly distributed microstructure with expanded properties. The fabrication techniques involving compression mold, 3D printing, and filament winding affect the filler placement inside the matrix. Fabrication of graphene-based hybrid polymer composites with uniform distribution of graphene highly aids in fully harnessing graphene's unique properties and synergistic relation with other fillers [14,59]. However, the tendency of graphene layers to attach precedes clustering issues. Thus, efficient processing strategies, e.g., sonication, high shear mixing, and extrusion methods, aid homogeneous graphene dispersion and increase its reinforcing effect on the composite [60,61]. Moreover, curing conditions, e.g., time or temperature, significantly impact the interfacial bonding and load transfer ability between filler and matrix, improving the composite's mechanical properties and durability. Additionally, specific processing methods, e.g., 3D printing, electrospinning, spray coating, or shear-induced alignment, provide better control over the graphene orientation to get complex geometries with tailored anisotropic properties and the choice of preparation process dramatically impacts the cost-effectiveness and scalability of composites [62,63]. Several studies have compared the effectiveness of various processing methods by characterizing filler dispersion and composite performance. For example, Kim et al. [31] examined thermoplastic polyurethane (TPU) based composites containing thermally reduced graphene oxide (TRG) obtained via solvent dispersion, in situ polymerization, and melt mixing (Figure 7a). The results indicate that the structure and performance of composites are strongly influenced by preparation methods, suggesting the possibility of customization by optimizing manufacturing processes. Furthermore, it was found that solvent-treated composites exhibit higher stiffness and a lower electrical percolation threshold than those obtained via melt mixing, consistent with better dispersion of filler particles. Cao et al. [64] developed 3D graphene networks using Ni foam as a template in ethanol-CVD process. 3D graphene networks presented excellent templates for the construction of graphene-metal oxide composites (Figure. 7b). The NiO-graphene composite showed a high specific capacitance of ≈816 Fg−1 and stable cycling efficiency, by maintaining the specific capacitance even after 2000 cycles at a scan rate of 5 mVs−1. Pham et al. [65] produced poly(methyl methacrylate) /reduced graphene oxide (PMMA/RGO) composites with an electrical conductivity of 64 Sm-1 at 2.7 vol% by using self-assembly of positively charged PMMA particles and negatively charged GO sheets by reduction with hydrazine (Figure 7c). Moreover, thermomechanical properties were improved with a 30% increase in storage modulus and a 15°C increase in glass transition temperature at only 0.5 wt.% RGO.
Figure 7. Different manufacturing practices for making graphene-polymer composites. (a) representations of TRG/TPU composite formulation routes and TEM images of TRG in TPU and 3 wt.% TRG/PU composites fabricating processes, revealing the improved dispersion of TRG by solution blending and in situ polymerization as compared to melt mixing [31]. (b) shows porous graphene frameworks manufactured by ethanol-CVD method: (i) represents the synthesis diagram of 3-D graphene networks on Ni foam by ethanol-CVD, (ii) shows Ni foam before and after the growing of graphene, and (iii) depicts 3D graphene assemblies after elimination of Ni foam [64]. (c) portrays 3D RGO interaction by a self-assembly method [65]: (i) illustrates the self-assembly of PMMA latex and graphene oxide, supported by hydrazine reduction of graphene oxide, and SEM images of RGO-PMMA composites packed with various filler loadings (ii) 2 wt.% and (iii) 4 wt.% [66]. Adopted with permission from refs. [31,64,65,66].
Figure 7. Different manufacturing practices for making graphene-polymer composites. (a) representations of TRG/TPU composite formulation routes and TEM images of TRG in TPU and 3 wt.% TRG/PU composites fabricating processes, revealing the improved dispersion of TRG by solution blending and in situ polymerization as compared to melt mixing [31]. (b) shows porous graphene frameworks manufactured by ethanol-CVD method: (i) represents the synthesis diagram of 3-D graphene networks on Ni foam by ethanol-CVD, (ii) shows Ni foam before and after the growing of graphene, and (iii) depicts 3D graphene assemblies after elimination of Ni foam [64]. (c) portrays 3D RGO interaction by a self-assembly method [65]: (i) illustrates the self-assembly of PMMA latex and graphene oxide, supported by hydrazine reduction of graphene oxide, and SEM images of RGO-PMMA composites packed with various filler loadings (ii) 2 wt.% and (iii) 4 wt.% [66]. Adopted with permission from refs. [31,64,65,66].
Preprints 103265 g007

2.7. Post-Treatment and Functionalization

Post-treatment processes such as surface treatments and protective coatings of composites significantly increase their resistance to humidity and corrosion. In particular, graphene filler and polymer matrix interaction are highly sensitive to environmental conditions, and surface treatments can significantly improve composite resilience [67,68,69].
On the other hand, functionalization can be tailored to exploit the unique properties of graphene. By modifying the graphene surface with specific functional groups or incorporating other nanoparticles, functionalization can enhance electrical and thermal conductivity or even provide additional functionalities like sensing capabilities. This level of customization is particularly advantageous in applications where precise control over material properties is required, such as in advanced electronics or sensors [70,71]. Functionalization opens new possibilities for graphene-based composites, enabling them to excel in areas where traditional materials fall short. In essence, post-treatment and functionalization strategies in graphene-based hybrid filler-polymer composites constitute sophisticated techniques that unlock the full potential of these materials. They ensure the composite's robustness and longevity and empower it with diverse functionalities [72,73]. As the field of materials science continues to evolve, the synergy between graphene and tailored post-treatment and functionalization processes offers exciting prospects for developing innovative and high-performance materials that can revolutionize various industries [74].

3. Applications

Authors should discuss the results and how they can be interpreted from the perspective of previous studies and of the working hypotheses. The findings and their implications should be discussed in the broadest context possible. Future research directions may also be highlighted.

3.1. Aerospace Evolution: Lightweight Structural Components for Enhanced Performance

Graphene-based hybrid polymer composites are an excellent candidate for aerospace applications due to exceptional mechanical properties, e.g., strength, stiffness, and lightweight, to create robust structural components. The combination of lightweight, higher Young's modulus and tensile strength improves fuel efficiency, payload capacity, and overall aircraft efficiency [75]. Moreover, these composites can resist extreme temperature conditions, mechanical stress, and corrosion, making them suitable for aircraft frames, wings, and engine components. Space shuttles and high-velocity aircraft need a thermal management system to dodge overheating and structural issues. Graphene composites serve in thermal protection systems, heat shields, and thermal barriers due to their excellent thermal conductivity [76,77]. (Figure 8) shows potential applications of graphene-based polymer composites in different aspects of aerospace industries.
Figure 8. Multiple roles of graphene hybrid polymer composites in aerospace applications. Reprinted with permission from ref. [78].
Figure 8. Multiple roles of graphene hybrid polymer composites in aerospace applications. Reprinted with permission from ref. [78].
Preprints 103265 g008
Furthermore, installing graphene composite-based sensors in aircraft provides real-time surveillance of structural deformation. Lightning strikes during flights cause severe accidents due to the absence of electrically conductive materials in manufactured parts, while graphene-based hybrid composites have excellent thermal and electrical conductivity and are favorable to resolving lightning strike problems [79]. Furthermore, space exploration demands robust materials to tolerate extensive radiation and vacuum conditions [80]. Graphene-based hybrid composites offer impressive radiation shielding, mechanical strength, and thermal stability to manufacture spacecraft components that are orientated to unforgiving space environments. However, utilizing the full potential of these composites encounters issues like cost-effectiveness, regulatory compliance, scalability, and standardized practices [81,82].

3.2. Advanced Electronics: High-Performance Conductive Materials and Flexible Circuits

Given their significant electrical and thermal conductivity [53], lightweight graphene-based hybrid polymer composites [83] present high-performance conductive coatings, optimal fuel efficiency, efficient heat dissipation [84], effective signal transmission, and electromagnetic shielding in electronics. These composites are perfect for flexible circuits and wearable devices due to their flexibility and lightweight nature [85]. Moreover, the synergy of their electrical and thermal properties with mechanical ability has revolutionized smart textiles, sensors [86], and integrated electronic systems [87,88]. Li et al. [89] presented an orientated assembly of giant graphene oxide (GGO) sheets via 3D printing and achieved flexible patterns with high surface area and enhanced electrical conductivity of up to 4.51 (± 0.18)×104 Sm-1. Moreover, these orientated patterns were tested for the electrically driven soft actuators, and it offered controlled deformation at lower voltage. (Figure 9) Shows detailed analysis and fabrication process of graphene hybrid composites in flexible and printable electronics by manufacturing a soft actuator with printed RGO electrodes. (Figure 9a) illustrates the electrical stimulation of the bilayer RGO/PDMS actuator, (Figure 9b) shows maximum bending angle as a function of driving voltage (Figure 9c) Digital images of reversible shape change of the actuator at different bending angles, and (Figure 9d) Hand-shaped actuator with independent control of the fingers by various gestures.
Figure 9. Manufacture of soft actuator with printed RGO electrodes. (a) RGO/PDMS bilayer actuator under electrical stimulation. (b) The maximum bending angle of the actuators as a function of the driving voltage. (c) Digital images of the actuator at various bending angles, with reversible shape change of the actuator. (d) The final look of a Hand-shaped actuator with independent fingers controlled by various gestures. Reprinted with permission from ref. [89].
Figure 9. Manufacture of soft actuator with printed RGO electrodes. (a) RGO/PDMS bilayer actuator under electrical stimulation. (b) The maximum bending angle of the actuators as a function of the driving voltage. (c) Digital images of the actuator at various bending angles, with reversible shape change of the actuator. (d) The final look of a Hand-shaped actuator with independent fingers controlled by various gestures. Reprinted with permission from ref. [89].
Preprints 103265 g009

3.3. Energy Storage Revolution: Efficient Batteries and Supercapacitor

Graphene-based hybrid polymer composites have revolutionized energy storage technologies [90]. The remarkable electrical conductivity and large surface area leads to elevated energy storage in batteries and supercapacitors by facilitating faster charging and discharging rates, extending battery lifetime, and improving energy density. This progression addresses the energy demands of portable electronics, renewable energy storage systems, and electric vehicles, resulting in green energy solutions [91,92]. Additionally, these composites' electrical and thermal properties offer competent solar cells and thermoelectric generators by improving electron mobility, light absorption, and thermal conversion, resulting in efficient waste heat recovery [85]. He et al. [93] fabricated a very thin (0.5 mm width) graphene-based paper-like electrode for a micro-supercapacitor with a current density of 0.5 to 5 Acm−3, and exhibiting high volumetric capacitance of ∼3.6 F·cm−3 with highly high specific capacitance retention of up to 94% even after 20000 cycles. Figure 10 shows the detailed preparation process of composite and integration in micro-supercapacitor.
Figure 10. Preparation process of micro-supercapacitor. (I) electrochemical exfoliation of graphite foil. (II) coating the graphene/graphite foil with gel electrolyte (PVA/H3PO4). (III) Peeling off flexible graphene paper-like electrode (IV) building of the interdigitated micro-supercapacitor devices using the electrode paper. Reprinted with permission from ref. [93].
Figure 10. Preparation process of micro-supercapacitor. (I) electrochemical exfoliation of graphite foil. (II) coating the graphene/graphite foil with gel electrolyte (PVA/H3PO4). (III) Peeling off flexible graphene paper-like electrode (IV) building of the interdigitated micro-supercapacitor devices using the electrode paper. Reprinted with permission from ref. [93].
Preprints 103265 g010

3.4. Transportation Innovation: Lightweight Automotive Components for Enhanced Efficiency

Graphene-based hybrid polymer composites are fundamental in developing robust and fuel-efficient vehicles due to their unique mechanical and lightweight properties. The high electrical conductivity of graphene-based composites dramatically improves the charging efficiency of lithium-ion batteries, resulting in optimum battery lifetimes in electric vehicles [94]. High mechanical strength [95] and higher flexibility facilitate tailored, impact-resistant, and safely enhanced vehicle modules [13]. Furthermore, outstanding thermal conductivity influences electric vehicles' energy efficiency and component durability by heat dissipation through batteries, electric motors, and power electronics [96,97,98]. (Figure 11) presents various graphene composites examined for load-bearing and structural automotive applications, such as seats for Daimler Chrysler sports cars, a diagonal support beam for Porsche, and bumper structures for BMW.
Figure 11. Role of graphene and advanced hybrid polymer composites in load-bearing automobile structure preparation [99]. Reprinted with permission from ref. [100].
Figure 11. Role of graphene and advanced hybrid polymer composites in load-bearing automobile structure preparation [99]. Reprinted with permission from ref. [100].
Preprints 103265 g011

4. Conclusions

In conclusion, graphene-based hybrid filler polymer composites represent a promising frontier in developing advanced materials for heavy industry. The potential for achieving optimal performance and customized properties emerged through meticulous analysis of various influencing factors, such as filler type and amount, graphene orientation, hybrid filler combinations, effective distribution, and matrix-filler compatibility,. The effective integration of graphene-based fillers offers a unique opportunity to improve the resulting composites' mechanical, electrical, thermal and barrier properties, finding critical applications in the aerospace, automotive, electronics, and energy storage industries. Given their lightness, resistance, and conductivity, their crucial role in heavy industry makes them fundamental to innovation and sustainability in the current industrial landscape. With further advances in research and the application of new techniques and design strategies, graphene-based hybrid polymer composites pave the way for a new generation of high-performance materials, promoting technological advancements on a global scale.

5. Future Perspectives

Developing efficient and scalable manufacturing methodologies for high-quality graphene materials is critical for multiple industries, including electronic devices, thermal management, and transparent conductive electrodes. Chemical vapor deposition (CVD) on metal sheets offers a promising route to infinite-length graphene sheets suitable for roll-to-roll processing, but advances in quality and transfer processes are needed. Controlling graphene layer thickness remains challenging, especially for double- and triple-layer graphene. Understanding the underlying mechanisms is essential to improve economic production through chemical methods such as graphite oxidation and subsequent reduction. Future research should focus on optimizing graphene surface functionalization, investigating new structures, and developing graphene hybrid polymer composites, combining the unique properties of graphene with the versatility of polymers for a wide range of applications. However, significant research gaps persist, particularly in optimizing fabrication techniques, understanding interfacial interactions, and tailoring the properties of graphene polymer composites for specific applications, thus driving innovation in multifunctional materials.

Author Contributions

Writing—original draft preparation, Z.A.; writing—review and editing, S.Y.; visualization, J.Y.; supervision, A.D. All authors have read and agreed to the published version of the manuscript.

Funding

This research received no external funding.

Institutional Review Board Statement

Not applicable.

Informed Consent Statement

Not applicable.

Data Availability Statement

Data is contained within the article.

Acknowledgments

Not applicable.

Conflicts of Interest

The authors declare no conflicts of interest.

References

  1. Cao, Q.; Geng, X.; Wang, H.; Wang, P.; Liu, A.; Lan, Y.; Peng, Q. A review of current development of graphene mechanics. Crystals 2018, 8, 357. [Google Scholar] [CrossRef]
  2. Nouri-Borujerdi, A.; Kazemi-Ranjbar, S. Thermal and electrical conductivity of a graphene-based hybrid filler epoxy composite. J. Mater. Sci. 2021, 56, 15151–15161. [Google Scholar] [CrossRef]
  3. Pop, E.; Varshney, V.; Roy, A.K. Thermal properties of graphene: Fundamentals and applications. MRS Bull. 2012, 37, 1273–1281. [Google Scholar] [CrossRef]
  4. Wang, J.; Li, S.; Yang, L.; Liu, B.; Xie, S.; Qi, R.; Zhan, Y.; Xia, H. Graphene-Based Hybrid Fillers for Rubber Composites. Molecules 2024, 29, 1009. [Google Scholar] [CrossRef]
  5. Vo, T.T.; Lee, H.-J.; Kim, S.-Y.; Suk, J.W. Synergistic effect of graphene/silver nanowire hybrid fillers on highly stretchable strain sensors based on spandex composites. Nanomaterials 2020, 10, 2063. [Google Scholar] [CrossRef]
  6. Mederic, P.; Rahmaoui, F.E.Z.; Hocine, N.A. Properties of clay/graphene/thermoplastic nanocomposites in relation to their composition: Synergetic effect of hybrid nanofillers and role of matrix. Appl. Clay Sci. 2022, 228, 106659. [Google Scholar] [CrossRef]
  7. Han, S.; Meng, Q.; Araby, S.; Liu, T.; Demiral, M. Mechanical and electrical properties of graphene and carbon nanotube reinforced epoxy adhesives: Experimental and numerical analysis. Compos. - A: Appl. Sci. Manuf. 2019, 120, 116–126. [Google Scholar] [CrossRef]
  8. Ashfaq, J.; Channa, I.A.; Memon, A.G.; Chandio, I.A.; Chandio, A.D.; Shar, M.A.; Alsalhi, M.S.; Devanesan, S. Enhancement of Thermal and Gas Barrier Properties of Graphene-Based Nanocomposite Films. ACS omega 2023, 8, 41054–41063. [Google Scholar] [CrossRef]
  9. Menazea, A.; Ahmed, M. Silver and copper oxide nanoparticles-decorated graphene oxide via pulsed laser ablation technique: Preparation, characterization, and photoactivated antibacterial activity. Nano-Struct. Nano-Objects 2020, 22, 100464. [Google Scholar] [CrossRef]
  10. Koutsioukis, A.; Vrettos, K.; Belessi, V.; Georgakilas, V. Conductivity Enhancement of Graphene and Graphene Derivatives by Silver Nanoparticles. Appl. Sci. 2023, 13, 7600. [Google Scholar] [CrossRef]
  11. Guo, Y.; Ruan, K.; Shi, X.; Yang, X.; Gu, J. Factors affecting thermal conductivities of the polymers and polymer composites: A review. Compos. Sci. Technol. 2020, 193, 108134. [Google Scholar] [CrossRef]
  12. Itapu, B.; Jayatissa, A. A review of graphene/polymer composites. Chem. Sci. Int. J. 2018, 23, 1–16. [Google Scholar] [CrossRef]
  13. Kumar, A.; Sharma, K.; Dixit, A.R. A review of the mechanical and thermal properties of graphene and its hybrid polymer nanocomposites for structural applications. J. Mater. Sci. 2019, 54, 5992–6026. [Google Scholar] [CrossRef]
  14. Kumar, A.; Sharma, K.; Dixit, A.R. Carbon nanotube-and graphene-reinforced multiphase polymeric composites: review of their properties and applications. J. Mater. Sci. 2020, 55, 2682–2724. [Google Scholar] [CrossRef]
  15. Curtin, W. Dimensionality and size effects on the strength of fiber-reinforced composites. Compos. Sci. Technol. 2000, 60, 543–551. [Google Scholar] [CrossRef]
  16. Lee, C.; Wei, X.; Kysar, J.W.; Hone, J. Measurement of the elastic properties and intrinsic strength of monolayer graphene. Science 2008, 321, 385–388. [Google Scholar] [CrossRef] [PubMed]
  17. Stankovich, S.; Dikin, D.A.; Piner, R.D.; Kohlhaas, K.A.; Kleinhammes, A.; Jia, Y.; Wu, Y.; Nguyen, S.T.; Ruoff, R.S. Synthesis of graphene-based nanosheets via chemical reduction of exfoliated graphite oxide. Carbon 2007, 45, 1558–1565. [Google Scholar] [CrossRef]
  18. Zhu, Y.; Murali, S.; Cai, W.; Li, X.; Suk, J.W.; Potts, J.R.; Ruoff, R.S. Graphene and graphene oxide: synthesis, properties, and applications. Adv. Mater. 2010, 22, 3906–3924. [Google Scholar] [CrossRef] [PubMed]
  19. Bellier, N.; Baipaywad, P.; Ryu, N.; Lee, J.Y.; Park, H. Recent biomedical advancements in graphene oxide-and reduced graphene oxide-based nanocomposite nanocarriers. Biomater. Res. 2022, 26, 65. [Google Scholar] [CrossRef] [PubMed]
  20. Potts, J.R.; Dreyer, D.R.; Bielawski, C.W.; Ruoff, R.S. Graphene-based polymer nanocomposites. Polymer 2011, 52, 5–25. [Google Scholar] [CrossRef]
  21. Wang, X.; Bai, H.; Shi, G. Size fractionation of graphene oxide sheets by pH-assisted selective sedimentation. J. Am. Chem. Soc. 2011, 133, 6338–6342. [Google Scholar] [CrossRef] [PubMed]
  22. Li, X.; Wang, X.; Zhang, L.; Lee, S.; Dai, H. Chemically derived, ultrasmooth graphene nanoribbon semiconductors. Science 2008, 319, 1229–1232. [Google Scholar] [CrossRef] [PubMed]
  23. Worsley, M.A.; Pauzauskie, P.J.; Olson, T.Y.; Biener, J.; Satcher Jr, J.H.; Baumann, T.F. Synthesis of graphene aerogel with high electrical conductivity. J. Am. Chem. Soc. 2010, 132, 14067–14069. [Google Scholar] [CrossRef]
  24. Kim, H.; Abdala, A.A.; Macosko, C.W. Graphene/polymer nanocomposites. Macromolecules 2010, 43, 6515–6530. [Google Scholar] [CrossRef]
  25. Tarani, E.; Chrysafi, I.; Kállay-Menyhárd, A.; Pavlidou, E.; Kehagias, T.; Bikiaris, D.N.; Vourlias, G.; Chrissafis, K. Influence of graphene platelet aspect ratio on the mechanical properties of HDPE nanocomposites: Microscopic observation and micromechanical modeling. Polymers 2020, 12, 1719. [Google Scholar] [CrossRef] [PubMed]
  26. Chen, J.; Gao, X.; Song, W. Effect of various carbon nanofillers and different filler aspect ratios on the thermal conductivity of epoxy matrix nanocomposites. Results Phys. 2019, 15, 102771. [Google Scholar] [CrossRef]
  27. Osman, A.; Elhakeem, A.; Kaytbay, S.; Ahmed, A. A comprehensive review on the thermal, electrical, and mechanical properties of graphene-based multi-functional epoxy composites. Adv. Compos. Mater. 2022, 5, 547–605. [Google Scholar] [CrossRef]
  28. Gong, S.; Cheng, W. One-dimensional nanomaterials for soft electronics. Adv. Electron. Mater. 2017, 3, 1600314. [Google Scholar] [CrossRef]
  29. Papageorgiou, D.G.; Li, Z.; Liu, M.; Kinloch, I.A.; Young, R.J. Mechanisms of mechanical reinforcement by graphene and carbon nanotubes in polymer nanocomposites. Nanoscale 2020, 12, 2228–2267. [Google Scholar] [CrossRef]
  30. Markandan, K.; Lai, C.Q. Enhanced mechanical properties of 3D printed graphene-polymer composite lattices at very low graphene concentrations. Compos. - A: Appl. Sci. Manuf. 2020, 129, 105726. [Google Scholar] [CrossRef]
  31. Kim, H.; Miura, Y.; Macosko, C.W. Graphene/polyurethane nanocomposites for improved gas barrier and electrical conductivity. Chem. Mater. 2010, 22, 3441–3450. [Google Scholar] [CrossRef]
  32. Fu, S.-Y.; Feng, X.-Q.; Lauke, B.; Mai, Y.-W. Effects of particle size, particle/matrix interface adhesion and particle loading on mechanical properties of particulate–polymer composites. Compos. B Eng. 2008, 39, 933–961. [Google Scholar] [CrossRef]
  33. Huang, X.; Zhi, C.; Jiang, P. Toward effective synergetic effects from graphene nanoplatelets and carbon nanotubes on thermal conductivity of ultrahigh volume fraction nanocarbon epoxy composites. J. Phys. Chem. C 2012, 116, 23812–23820. [Google Scholar] [CrossRef]
  34. Bokobza, L. Elastomer Nanocomposites: Effect of Filler–Matrix and Filler–Filler Interactions. Polymers 2023, 15, 2900. [Google Scholar] [CrossRef] [PubMed]
  35. Kim, K.J.; Kim, J.; Yu, W.-R.; Youk, J.H.; Lee, J. Improved tensile strength of carbon fibers undergoing catalytic growth of carbon nanotubes on their surface. Carbon 2013, 54, 258–267. [Google Scholar] [CrossRef]
  36. Nassar, M.M.; Sider, I. Evaluation of novel compatibility strategies for improving the performance of recycled low-density polyethylene-based bio composites. Polymers 2021, 13, 3486. [Google Scholar] [CrossRef] [PubMed]
  37. Lu, C.-T.; Weerasinghe, A.; Maroudas, D.; Ramasubramaniam, A. A comparison of the elastic properties of graphene-and fullerene-reinforced polymer composites: the role of filler morphology and size. Sci. Rep. 2016, 6, 31735. [Google Scholar] [CrossRef] [PubMed]
  38. Li, M.; Tang, C.; Zhang, L.; Shang, B.; Zheng, S.; Qi, S. A thermally conductive and insulating epoxy polymer composite with hybrid filler of modified copper nanowires and graphene oxide. J. Mater. Sci.: Mater. Electron. 2018, 29, 4948–4954. [Google Scholar] [CrossRef]
  39. Govindaraj, P.; Sokolova, A.; Salim, N.; Juodkazis, S.; Fuss, F.K.; Fox, B.; Hameed, N. Distribution states of graphene in polymer nanocomposites: A review. Compos. B Eng. 2021, 226, 109353. [Google Scholar] [CrossRef]
  40. Romasanta, L.J.; Hernández, M.; López-Manchado, M.A.; Verdejo, R. Functionalised graphene sheets as effective high dielectric constant fillers. Nanoscale Res. Lett. 2011, 6, 1–6. [Google Scholar] [CrossRef]
  41. Son, D.R.; Raghu, A.V.; Reddy, K.R.; Jeong, H.M. Compatibility of thermally reduced graphene with polyesters. J. Macromol. Sci. Phys. 2016, 55, 1099–1110. [Google Scholar]
  42. Keloth Paduvilan, J.; Velayudhan, P.; Amanulla, A.; Joseph Maria, H.; Saiter-Fourcin, A.; Thomas, S. Assessment of graphene oxide and nanoclay based hybrid filler in chlorobutyl-natural rubber blend for advanced gas barrier applications. Nanomaterials 2021, 11, 1098. [Google Scholar] [CrossRef] [PubMed]
  43. Kobyliukh, A.; Olszowska, K.; Szeluga, U.; Pusz, S. Iron oxides/graphene hybrid structures–Preparation, modification, and application as fillers of polymer composites. Adv. Colloid Interface Sci. 2020, 285, 102285. [Google Scholar] [CrossRef] [PubMed]
  44. Vigneshwaran, G.; Shanmugavel, B.P.; Paskaramoorthy, R.; Harish, S. Tensile, impact, and mode-I behaviour of glass fiber-reinforced polymer composite modified by graphene nanoplatelets. Arch. Civil Mech. Eng. 2020, 20, 1–15. [Google Scholar] [CrossRef]
  45. Tuichai, W.; Karaphun, A.; Ruttanapun, C. Improved dielectric properties of PVDF polymer composites filled with Ag nanomaterial deposited reduced graphene oxide (rGO) hybrid particles. Mater. Res. Bull. 2022, 145, 111552. [Google Scholar] [CrossRef]
  46. Swolfs, Y.; McMeeking, R.M.; Verpoest, I.; Gorbatikh, L. The effect of fibre dispersion on initial failure strain and cluster development in unidirectional carbon/glass hybrid composites. Compos. - A: Appl. Sci. Manuf. 2015, 69, 279–287. [Google Scholar] [CrossRef]
  47. Jalalvand, M.; Czél, G.; Wisnom, M.R. Numerical modelling of the damage modes in UD thin carbon/glass hybrid laminates. Compos. Sci. Technol. 2014, 94, 39–47. [Google Scholar] [CrossRef]
  48. Gong, J.; Liu, Z.; Yu, J.; Dai, D.; Dai, W.; Du, S.; Li, C.; Jiang, N.; Zhan, Z.; Lin, C.-T. Graphene woven fabric-reinforced polyimide films with enhanced and anisotropic thermal conductivity. Compos. - A: Appl. Sci. Manuf. 2016, 87, 290–296. [Google Scholar] [CrossRef]
  49. Dai, W.; Lv, L.; Ma, T.; Wang, X.; Ying, J.; Yan, Q.; Tan, X.; Gao, J.; Xue, C.; Yu, J. Multiscale structural modulation of anisotropic graphene framework for polymer composites achieving highly efficient thermal energy management. Adv. Sci. 2021, 8, 2003734. [Google Scholar] [CrossRef]
  50. Liu, T.; Huang, M.; Li, X.; Wang, C.; Gui, C.-X.; Yu, Z.-Z. Highly compressible anisotropic graphene aerogels fabricated by directional freezing for efficient absorption of organic liquids. Carbon 2016, 100, 456–464. [Google Scholar] [CrossRef]
  51. Zhang, P.; Li, J.; Lv, L.; Zhao, Y.; Qu, L. Vertically aligned graphene sheets membrane for highly efficient solar thermal generation of clean water. ACS nano 2017, 11, 5087–5093. [Google Scholar] [CrossRef] [PubMed]
  52. Li, X.-H.; Liu, P.; Li, X.; An, F.; Min, P.; Liao, K.-N.; Yu, Z.-Z. Vertically aligned, ultralight and highly compressive all-graphitized graphene aerogels for highly thermally conductive polymer composites. Carbon 2018, 140, 624–633. [Google Scholar] [CrossRef]
  53. An, F.; Li, X.; Min, P.; Liu, P.; Jiang, Z.-G.; Yu, Z.-Z. Vertically aligned high-quality graphene foams for anisotropically conductive polymer composites with ultrahigh through-plane thermal conductivities. ACS Appl. Mater. Interfaces 2018, 10, 17383–17392. [Google Scholar] [CrossRef] [PubMed]
  54. Zhao, H.-Y.; Yu, M.-Y.; Liu, J.; Li, X.; Min, P.; Yu, Z.-Z. Efficient preconstruction of three-dimensional graphene networks for thermally conductive polymer composites. Nano-micro-Lett. 2022, 14, 129. [Google Scholar] [CrossRef] [PubMed]
  55. Xiao, Y.-j.; Wang, W.-y.; Chen, X.-j.; Lin, T.; Zhang, Y.-t.; Yang, J.-h.; Wang, Y.; Zhou, Z.-w. Hybrid network structure and thermal conductive properties in poly (vinylidene fluoride) composites based on carbon nanotubes and graphene nanoplatelets. Compos. - A: Appl. Sci. Manuf. 2016, 90, 614–625. [Google Scholar] [CrossRef]
  56. Liang, X.; Dai, F. Epoxy nanocomposites with reduced graphene oxide-constructed three-dimensional networks of single wall carbon nanotubes for enhanced thermal management capability with low filler loading. ACS Appl. Mater. Interfaces 2019, 12, 3051–3058. [Google Scholar] [CrossRef] [PubMed]
  57. Shtein, M.; Nadiv, R.; Buzaglo, M.; Kahil, K.; Regev, O. Thermally conductive graphene-polymer composites: size, percolation, and synergy effects. Chem. Mater. 2015, 27, 2100–2106. [Google Scholar] [CrossRef]
  58. Xue, F.; Lu, Y.; Qi, X.-d.; Yang, J.-h.; Wang, Y. Melamine foam-templated graphene nanoplatelet framework toward phase change materials with multiple energy conversion abilities. J. Chem. Eng. 2019, 365, 20–29. [Google Scholar] [CrossRef]
  59. Zhang, Y.; Park, S.-J. Influence of the nanoscaled hybrid based on nanodiamond@ graphene oxide architecture on the rheological and thermo-physical performances of carboxylated-polymeric composites. Compos. - A: Appl. Sci. Manuf. 2018, 112, 356–364. [Google Scholar] [CrossRef]
  60. Perumal, S.; Atchudan, R.; Cheong, I.W. Recent studies on dispersion of graphene–polymer composites. Polymers 2021, 13, 2375. [Google Scholar] [CrossRef]
  61. Huang, Y.Y.; Terentjev, E.M. Dispersion of carbon nanotubes: mixing, sonication, stabilization, and composite properties. Polymers 2012, 4, 275–295. [Google Scholar] [CrossRef]
  62. Zhang, H.; Zhang, G.; Tang, M.; Zhou, L.; Li, J.; Fan, X.; Shi, X.; Qin, J. Synergistic effect of carbon nanotube and graphene nanoplates on the mechanical, electrical and electromagnetic interference shielding properties of polymer composites and polymer composite foams. J. Chem. Eng. 2018, 353, 381–393. [Google Scholar] [CrossRef]
  63. Chiappone, A.; Roppolo, I.; Naretto, E.; Fantino, E.; Calignano, F.; Sangermano, M.; Pirri, F. Study of graphene oxide-based 3D printable composites: Effect of the in-situ reduction. Compos. B Eng. 2017, 124, 9–15. [Google Scholar] [CrossRef]
  64. Cao, X.; Shi, Y.; Shi, W.; Lu, G.; Huang, X.; Yan, Q.; Zhang, Q.; Zhang, H. Preparation of novel 3D graphene networks for supercapacitor applications. small 2011, 7, 3163–3168. [Google Scholar] [CrossRef]
  65. Pham, V.H.; Dang, T.T.; Hur, S.H.; Kim, E.J.; Chung, J.S. Highly conductive poly (methyl methacrylate) (PMMA)-reduced graphene oxide composite prepared by self-assembly of PMMA latex and graphene oxide through electrostatic interaction. ACS Appl. Mater. Interfaces 2012, 4, 2630–2636. [Google Scholar] [CrossRef]
  66. Tang, L.-C.; Zhao, L.; Guan, L.-Z. Graphene/polymer composite materials: processing, properties and applications. Adv. Compos. Mater. 2017, 349–419. [Google Scholar]
  67. Seretis, G.; Nitodas, S.; Mimigianni, P.; Kouzilos, G.; Manolakos, D.; Provatidis, C. On the post-curing of graphene nanoplatelets reinforced hand lay-up glass fabric/epoxy nanocomposites. Compos. B Eng. 2018, 140, 133–138. [Google Scholar] [CrossRef]
  68. Pavan, G.; Singh, K.K. Elevated thermal conditioning effect on flexural strength of GFRP laminates: An experimental and statistical approach. Mater. Today Commun. 2021, 26, 101809. [Google Scholar] [CrossRef]
  69. Sivasankaraiah, T.; Lokavarapu, B.R.; Rajesh, J.V. post-curing effect on flexural strength of glass epoxy composites. Mater. Today Proc. 2021, 38, 3320–3331. [Google Scholar] [CrossRef]
  70. Ahmadi-Moghadam, B.; Sharafimasooleh, M.; Shadlou, S.; Taheri, F. Effect of functionalization of graphene nanoplatelets on the mechanical response of graphene/epoxy composites. Mater. Des. 2015, 66, 142–149. [Google Scholar] [CrossRef]
  71. Tian, J.; Xu, T.; Tan, Y.; Zhang, Z.; Tang, B.; Sun, Z. Effects of non-covalent functionalized graphene oxide with hyperbranched polyesters on mechanical properties and mechanism of epoxy composites. Materials 2019, 12, 3103. [Google Scholar] [CrossRef] [PubMed]
  72. Huang, C.-Y.; Lin, Y.-C.; Chung, J.H.; Chiu, H.-Y.; Yeh, N.-L.; Chang, S.-J.; Chan, C.-H.; Shih, C.-C.; Chen, G.-Y. Enhancing Cementitious Composites with Functionalized Graphene Oxide-Based Materials: Surface Chemistry and Mechanisms. Int. J. Mol. Sci. 2023, 24, 10461. [Google Scholar] [CrossRef] [PubMed]
  73. Sagadevan, S.; Shahid, M.M.; Yiqiang, Z.; Oh, W.-C.; Soga, T.; Anita Lett, J.; Alshahateet, S.F.; Fatimah, I.; Waqar, A.; Paiman, S. Functionalized graphene-based nanocomposites for smart optoelectronic applications. Nanotechnol. Rev. 2021, 10, 605–635. [Google Scholar] [CrossRef]
  74. Maio, A.; Pibiri, I.; Morreale, M.; Mantia, F.P.L.; Scaffaro, R. An overview of functionalized graphene nanomaterials for advanced applications. Nanomaterials 2021, 11, 1717. [Google Scholar] [CrossRef] [PubMed]
  75. Das, T.K.; Prusty, S. Graphene-based polymer composites and their applications. Polym. -Plast. Technol. Mater. 2013, 52, 319–331. [Google Scholar] [CrossRef]
  76. Kausar, A.; Rafique, I.; Muhammad, B. Aerospace application of polymer nanocomposite with carbon nanotube, graphite, graphene oxide, and nanoclay. Polym. -Plast. Technol. Mater. 2017, 56, 1438–1456. [Google Scholar] [CrossRef]
  77. Stankovich, S.; Dikin, D.A.; Dommett, G.H.; Kohlhaas, K.M.; Zimney, E.J.; Stach, E.A.; Piner, R.D.; Nguyen, S.T.; Ruoff, R.S. Graphene-based composite materials. Nature 2006, 442, 282–286. [Google Scholar] [CrossRef] [PubMed]
  78. Kausar, A.; Ahmad, I.; Eisa, M.; Maaza, M. Graphene Nanocomposites in Space Sector—Fundamentals and Advancements. C 2023, 9, 29. [Google Scholar] [CrossRef]
  79. Wang, B.; Duan, Y.; Xin, Z.; Yao, X.; Abliz, D.; Ziegmann, G. Fabrication of an enriched graphene surface protection of carbon fiber/epoxy composites for lightning strike via a percolating-assisted resin film infusion method. Compos. Sci. Technol. 2018, 158, 51–60. [Google Scholar] [CrossRef]
  80. Abadal, S.; Mestres, A.; Llatser, I.; Alarcón, E.; Cabellos-Aparicio, A. A vertical methodology for the design of space exploration of graphene-enabled wireless communications. In Proceedings of the Proceedings of the Second Annual International Conference on Nanoscale Computing and Communication, 2015; pp. 1–6.
  81. Raimondo, M.; Guadagno, L.; Speranza, V.; Bonnaud, L.; Dubois, P.; Lafdi, K. Multifunctional graphene/POSS epoxy resin tailored for aircraft lightning strike protection. Compos. B Eng. 2018, 140, 44–56. [Google Scholar] [CrossRef]
  82. Scalia, T.; Bonventre, L.; Terranova, M.L. From Protosolar Space to Space Exploration: The Role of Graphene in Space Technology and Economy. Nanomaterials 2023, 13, 680. [Google Scholar] [CrossRef]
  83. Azadmanjiri, J.; Srivastava, V.K.; Kumar, P.; Nikzad, M.; Wang, J.; Yu, A. Two-and three-dimensional graphene-based hybrid composites for advanced energy storage and conversion devices. J. Mater. Chem. A 2018, 6, 702–734. [Google Scholar] [CrossRef]
  84. Zalba, B.; Marı́n, J.M.; Cabeza, L.F.; Mehling, H. Review on thermal energy storage with phase change: materials, heat transfer analysis and applications. Appl. Therm. Eng. 2003, 23, 251–283. [Google Scholar] [CrossRef]
  85. Kwon, Y.-J.; Park, J.-B.; Jeon, Y.-P.; Hong, J.-Y.; Park, H.-S.; Lee, J.-U. A review of polymer composites based on carbon fillers for thermal management applications: design, preparation, and properties. Polymers 2021, 13, 1312. [Google Scholar] [CrossRef] [PubMed]
  86. Ponnamma, D.; Guo, Q.; Krupa, I.; Al-Maadeed, M.A.S.; Varughese, K.; Thomas, S.; Sadasivuni, K.K. Graphene and graphitic derivative filled polymer composites as potential sensors. Phys. Chem. Chem. Phys. 2015, 17, 3954–3981. [Google Scholar] [CrossRef] [PubMed]
  87. Zeng, X.; Ye, L.; Yu, S.; Li, H.; Sun, R.; Xu, J.; Wong, C.-P. Artificial nacre-like papers based on noncovalent functionalized boron nitride nanosheets with excellent mechanical and thermally conductive properties. Nanoscale 2015, 7, 6774–6781. [Google Scholar] [CrossRef] [PubMed]
  88. Le Ferrand, H.; Chabi, S.; Agarwala, S. 3D assembly of graphene nanomaterials for advanced electronics. Adv. Intell. Syst. 2020, 2, 1900151. [Google Scholar] [CrossRef]
  89. Li, W.; Li, F.; Li, H.; Su, M.; Gao, M.; Li, Y.; Su, D.; Zhang, X.; Song, Y. Flexible circuits and soft actuators by printing assembly of graphene. ACS Appl. Mater. Interfaces 2016, 8, 12369–12376. [Google Scholar] [CrossRef]
  90. Zhu, J.; Yang, D.; Yin, Z.; Yan, Q.; Zhang, H. Graphene and graphene-based materials for energy storage applications. Small 2014, 10, 3480–3498. [Google Scholar] [CrossRef]
  91. Ramachandran, T.; Sana, S.S.; Kumar, K.D.; Kumar, Y.A.; Hegazy, H.; Kim, S.C. Asymmetric supercapacitors: Unlocking the energy storage revolution. J. Energy Storage 2023, 73, 109096. [Google Scholar] [CrossRef]
  92. Wang, Z.; Gao, H.; Zhang, Q.; Liu, Y.; Chen, J.; Guo, Z. Recent advances in 3D graphene architectures and their composites for energy storage applications. Small 2019, 15, 1803858. [Google Scholar] [CrossRef] [PubMed]
  93. He, D.; Marsden, A.J.; Li, Z.; Zhao, R.; Xue, W.; Bissett, M.A. Fabrication of a graphene-based paper-like electrode for flexible solid-state supercapacitor devices. J. Electrochem. Soc. 2018, 165, A3481. [Google Scholar] [CrossRef]
  94. Elmarakbi, Ahmed (2015) Novel Composite Materials for Automotive Applications: Concepts and Challenges for Energy Efficient and Safe Vehicles. In: 10th International Conference on Composites Science and Technology, ICCST/10, 24 September 2015, Lisbon, Portugal.
  95. Kumar, A.; Sharma, K.; Dixit, A.R. A review on the mechanical properties of polymer composites reinforced by carbon nanotubes and graphene. Carbon Lett. 2021, 31, 149–165. [Google Scholar] [CrossRef]
  96. Joost, W.J. Reducing vehicle weight and improving US energy efficiency using integrated computational materials engineering. Jom 2012, 64, 1032–1038. [Google Scholar] [CrossRef]
  97. Amjad, S.; Neelakrishnan, S.; Rudramoorthy, R. Review of design considerations and technological challenges for successful development and deployment of plug-in hybrid electric vehicles. Renew. Sustain. Energy Rev. 2010, 14, 1104–1110. [Google Scholar] [CrossRef]
  98. Unnikrishnan, V.; Zabihi, O.; Li, Q.; Ahmadi, M.; Ferdowsi, M.R.G.; Kannangara, T.; Blanchard, P.; Kiziltas, A.; Joseph, P.; Naebe, M. Multifunctional PA6 composites using waste glass fiber and green metal organic framework/graphene hybrids. Polym. Compos. 2022, 43, 5877–5893. [Google Scholar] [CrossRef]
  99. Friedrich, K.; Almajid, A.A. Manufacturing aspects of advanced polymer composites for automotive applications. Appl. Compos. Mater. 2013, 20, 107–128. [Google Scholar] [CrossRef]
  100. Zhang, W.; Xu, J. Advanced lightweight materials for Automobiles: A review. Mater. Des. 2022, 221, 110994. [Google Scholar] [CrossRef]
Disclaimer/Publisher’s Note: The statements, opinions and data contained in all publications are solely those of the individual author(s) and contributor(s) and not of MDPI and/or the editor(s). MDPI and/or the editor(s) disclaim responsibility for any injury to people or property resulting from any ideas, methods, instructions or products referred to in the content.
Copyright: This open access article is published under a Creative Commons CC BY 4.0 license, which permit the free download, distribution, and reuse, provided that the author and preprint are cited in any reuse.
Prerpints.org logo

Preprints.org is a free preprint server supported by MDPI in Basel, Switzerland.

Subscribe

Disclaimer

Terms of Use

Privacy Policy

Privacy Settings

© 2026 MDPI (Basel, Switzerland) unless otherwise stated