Submitted:
04 April 2024
Posted:
05 April 2024
You are already at the latest version
Abstract
Keywords:
1. Introduction
2. Materials and Methods
2.1. Study Region and Tested Poplar Clones
2.2. Weather Data Analysis
2.3. Field Data
3. Results
3.1. Weather Conditions
3.2. Prevalence of S. carcharias Depending on Clone Phenology, Size, and Management
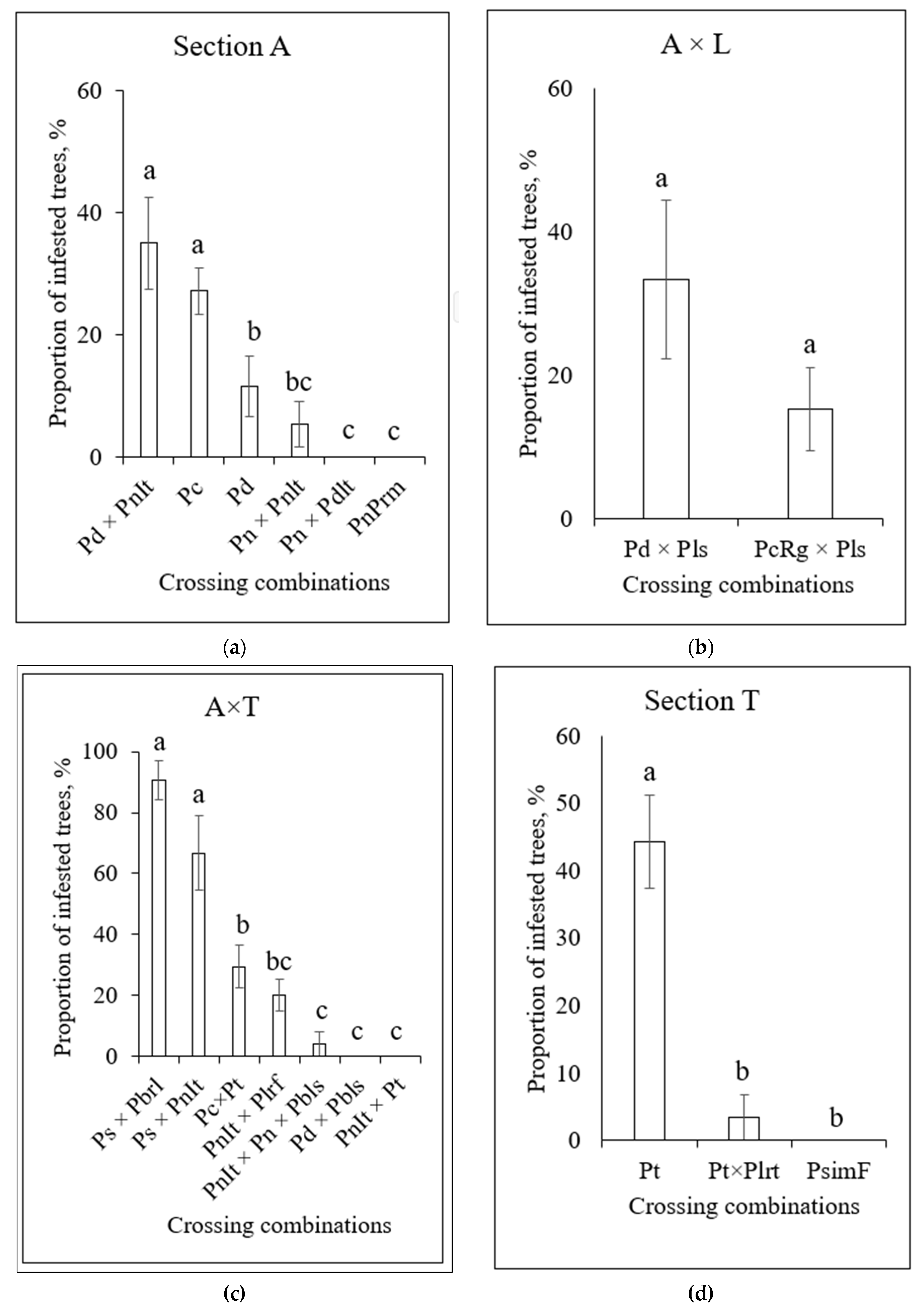
3.3. Prevalence of S. carcharias Depending on Clone Origin and Crossing Combination
4. Discussion
5. Conclusions
Supplementary Materials
Author Contributions
Funding
Data Availability Statement
Conflicts of Interest
References
- Kutsokon, N.K.; Khudolieieva, L.V.; Los, S.A.; Vysotska, N.Y.; Torosova, L.O.; Tkach, V.P; Nesterenko, O.G; Rashydov, N.M. Evaluation of growth characteristics of one-year poplar and willow clones in short-rotation plantation in Kharkiv region. Studia Biologica 2018, 12, 55–64. [Google Scholar] [CrossRef]
- Niemczyk, M.; Hu, Y.; Thomas, B.R. Selection of poplar genotypes for adapting to climate change. Forests 2019, 10, 1041. [Google Scholar] [CrossRef]
- Oliveira, N.; Pérez-Cruzado, C.; Cañellas, I.; Rodríguez-Soalleiro, R.; Sixto, H. Poplar short rotation coppice plantations under Mediterranean conditions: The case of Spain. Forests 2020, 11, 1352. [Google Scholar] [CrossRef]
- Schiberna, E.; Borovics, A.; Benke, A. Economic modelling of poplar short rotation coppice plantations in Hungary. Forests 2021, 12, 623. [Google Scholar] [CrossRef]
- Fürtner, D.; Perdomo Echenique, E. A.; Hörtenhuber, S. J.; Schwarzbauer, P.; Hesser, F. Beyond Monetary Cost-Benefit Analyses: Combining Economic, Environmental and Social Analyses of Short Rotation Coppice Poplar Production in Slovakia. Forests 2022, 13, 349. [Google Scholar] [CrossRef]
- Čakšs, R.; Zeltinš, P.; Cakša, L.; Zeps, M.; Jansons, A. The effects ¯ of frost cracks and large poplar borer damage on stem rot in hybrid aspen (Populus tremula L. × Populus tremuloides Michx.) clones. Forests 2022, 13, 593. [Google Scholar] [CrossRef]
- Rosso, L.; Cantamessa, S.; Bergante, S.; Biselli, C.; Fricano, A.; Chiarabaglio, P. M. . & Carra, A. Responses to drought stress in poplar: what do we know and what can we learn? Life 2023, 13, 533. [Google Scholar]
- Zhou, X.; Dong, Y.; Zhang, Q.; Xiao, D.; Yang, M.; Wang, J. Expression of multiple exogenous insect resistance and salt tolerance genes in Populus nigra L. Frontiers in Plant Science 2020, 11, 546447. [Google Scholar] [CrossRef]
- Biselli, C.; Vietto, L.; Rosso, L.; Cattivelli, L.; Nervo, G.; Fricano, A. Advanced breeding for biotic stress resistance in poplar. Plants 2022, 11, 2032. [Google Scholar] [CrossRef]
- Nordman, E.E.; Robison, D.J. , Abrahamson, L.P., Volk, T.A. Relative resistance of willow and poplar biomass production clones across a continuum of herbivorous insect specialization: Univariate and multivariate approaches. Forest Ecology and Management, 2005; 217, 307–318. [Google Scholar]
- Isebrands, J.G.; Richardson, J. Insect and Other Pests of Poplars and Willows. Poplars and Willows: Trees for Society and the Environment. Isebrands, J.G.; Richardson, J. FAO, 2014; 459–526. [Google Scholar]
- De Tillesse, V.; Nef, L.; Charles, J.; Hopkin, A.; Augustin, S. Damaging poplar insects. FAO, Rome. 2007.
- Mattson, W.; Lawrence, R.; Haack, R.; Herms, D.; Charles, P. Defensive strategies of woody plants against different insect feeding guilds in relation to plant ecological strategies and intimacy of association with insects. In Mechanism of woody plant defenses against insects, search for pattern; Mattson, W., Levieux, J., Bernard-Dagan, J. (eds). Springer, Berlin, 1988: p 416.
- Skrylnyk, Y.Y.; Zhupinska, K.Y.; Koshelyaeva, Y.V.; Meshkova, V.L. Physiological harmfulness of xylophagous insects in poplar and aspen stands in the Left-Bank Forest-Steppe. Forestry & Forest melioration 2023, 142, 147–157. [Google Scholar]
- Skrylnyk, Yu.Ye.; Zhupinska, K.Yu.; Koshelyaeva, Ya.V.; Meshkova, V.L. Xylophagous insects (Insecta: Coleoptera, Hymenoptera, Lepidoptera) of Populus sp. (Malpighiales: Salicaceae) in the eastern regions of Ukraine. The Kharkov Entomological Society Gazette 2023, 31, 24–30. [Google Scholar] [CrossRef]
- Timchenko, G.A.; Treml’, A.G. Pests of poplars in the eastern part of Ukraine and Crimea. Entomol. review 1963, 42, 793–810. [Google Scholar]
- Tomescu, R.; Nef, L. Leaf-eating insect damage on different poplar clones and sites. Annals of Forest Science 2007, 64, 99–108. [Google Scholar] [CrossRef]
- Christersson, L. Biomass production of intensively grown poplars in the southernmost part of Sweden: observations of characters, traits and growth potential. Biomass Bioenergy 2006, 30, 497–508. [Google Scholar] [CrossRef]
- Chiarabaglio, P. M.; Deidda, A.; Bergante, S.; Castro, G.; Facciotto, G.; Giorcelli, A. . & Carbonaro, C. Life Cycle Assessment (LCA): new poplar clones allow an environmentally sustainable cultivation. Ann. Silvic. Res. 2020, 45, 72–82. [Google Scholar]
- Fuchylo, Y.D.; Sbytna, M.V.; Hayda, Y.I.; Kozatska, N.Y. Growth and productivity of hybrid poplar plantations in conditions of western forest-steppe of Ukraine. Scientific Bulletin of UNFU 2017, 27, 43–47. [Google Scholar] [CrossRef]
- Fuchylo, Ya; Maurer, V. ; Sbytna, M.; Odarchenko, I.; Fuchylo, D. Features of woody biomass and planting-stock of poplar in “stump” type of plantation management. Scientific works of the Forestry Academy of Sciences of Ukraine 2016, 14, 134–140. [Google Scholar]
- Kang, M.S.; Pham, H.N. Simultaneous selection for high-yielding and stable crop genotypes. Agron. J. 1991, 83, 161–165. [Google Scholar] [CrossRef]
- Neyko, I.S.; Kolchanova, O.V. Adaptability and features of poplar varieties growth in conditions of the Podillya region. Scientific bulletin of UNFU 2018, 28, 53–56. [Google Scholar] [CrossRef]
- Niemczyk, M.; Kaliszewski, A.; Jewiarz, M.; Wróbel, M.; Mudryk, K. Productivity and biomass characteristics of selected poplar (Populus spp.) cultivars under the climatic conditions of northern Poland. Biomass and Bioenergy 2018, 111, 46–51. [Google Scholar] [CrossRef]
- Caldbeck, E.S.; McNabb, Jr.H.S.; Hart, E.R. Poplar clonal preferences of the cottonwood leaf beetle. Journal of Economic Entomology 1978, 71, 518–520. [Google Scholar] [CrossRef]
- Castellani, E.; Freccero, V.; Lapietra, G. Proposal of a scale of differentiation of poplar leaf buds useful for antiparasitic interventions. Plant Biosystem 1967, 101, 355–360. [Google Scholar]
- Yousuf, P.; Razzak, S.; Parvaiz, S.; Rather, Y.A.; Lone, R. Role of plant phenolics in the resistance mechanism of plants against insects. In Plant Phenolics in Biotic Stress Management (pp. 191-215). Singapore: Springer Nature Singapore, 2024.
- Meshkova, V.L. (Ed.) Methodical guidelines for a survey, assessment and forecasting of the spread of forest pests and diseases for the lowland part of Ukraine; Planeta-Print: Kharkiv, Ukraine, 2020; 90p, ISBN 978-617-7897-00-1. [Google Scholar]
- Hannon, E.R.; Kittelson, N.T.; Eaton, J.A.; Brown, J.J. Screening hybrid poplar clones for susceptibility to Cryptorhynchus lapathi (Coleoptera: Curculionidae). Journal of economic entomology 2008, 101, 199–205. [Google Scholar] [CrossRef]
- Marquina, J.L.; Marlats, R.; Núñez Cresto, M. Cloning susceptibility of poplar (Populus sp. ) when attacked by Platypus mutatus in Buenos Aires, Argentinaю Bosque (Valdivia) 2006, 27, 92–97. [Google Scholar]
- Sepúlveda, S.L.; Neale, D.B.; Holliday, J.A.; Famula, R.; Fiehn, O.; Stanton, B.J.; Guerra, F.P. GWAS on the attack by aspen borer Saperda calcarata on black cottonwood trees reveals a response mechanism involving secondary metabolism and independence of tree architecture. Forests 2023, 14, 1129. [Google Scholar] [CrossRef]
- Zhou, Y.; Ge, X.; Zou, Y.; Guo, S.; Wang, T.; Zong, S. Prediction of the potential global distribution of the Asian longhorned beetle Anoplophora glabripennis (Coleoptera: Cerambycidae) under climate change. Agricultural and Forest Entomology 2021, 23, 557–568. [Google Scholar] [CrossRef]
- Palm, T. The wood borers and bark beetles of southern and central Swedish deciduous trees. Opuscula Entomol, 1959; 15–16, 334–335. [Google Scholar]
- Latzel, M.J.; Gruppe, A.; Lemme, H. Analysis of larval galleries of the large poplar longhorn beetle Saperda carcharias L. 1758 (Coleoptera, Cerambycidae). Mitteilungen der Deutschen Gesellschaft für allgemeine und angewandte Entomologie 2018, 21, 83–87. [Google Scholar]
- Ritchie, W. The structure, bionomics, and economic importance of Saperda carcharias L., the large poplar longhorn. Rev Appl Entomol, 1921; A IX, 171–172. [Google Scholar]
- Šrot, M. Bionomics of poplar borer (Saperda carcharias L. ). Reports of the Forest Research Institutes of Czechoslovakia 1962, 25, 85–114. [Google Scholar]
- Zeps, M.; Senhofa, S.; Zadina, M.; Neimane, U.; Jansons, A. Stem damages caused by heart rot and large poplar borer on hybrid and European aspen. For. Stud. 2017, 66, 21–26. [Google Scholar] [CrossRef]
- Välimäki, S.; Heliövaara, K. Hybrid aspen is not preferred by the large poplar borer (Saperda carcharias). Arthropod-Plant Interactions 2007, 1, 205–211. [Google Scholar] [CrossRef]
- Isebrands, J.G.; Richardson, J. (Eds.) . Poplars and willows: trees for society and the environment. CABI. 2014.
- Schneiderowa, J. Economical meaning of the large poplar borer (Saperda carcharias L.—Cerambycidae, Coleoptera). Prace IBL 1961, 234, 3–98. [Google Scholar]
- Petitpierre, E. Saperda carcharias (L., 1758) nueva especie para la fauna balear (Coleoptera: Cerambycidae). Revista gaditana de Entomología 2018, 9, 191–192. [Google Scholar]
- Nuorteva, M.; Patomäki, J.; Saari, L. Large poplar longhorn, Saperda carcharias (L.), as food for white-backed woodpecker, Dendrocopos leucotos (Bechst.). Silva Fennica 1981, 15, 208–221. [Google Scholar] [CrossRef]
- Fritz, R.S.; Moulia, C.; Newcombe, G. Resistance of hybrid plants and animals to herbivores, pathogens, and parasites. Annu Rev Ecol Syst 1999, 30, 565–591. [Google Scholar] [CrossRef]
- Villari, C.; Herms, D.A.; Whitehill, J.G.; Cipollini, D.; Bonello, P. Progress and gaps in understanding mechanisms of ash tree resistance to emerald ash borer, a model for wood-boring insects that kill angiosperms. New Phytol. 2016, 209, 63–79. [Google Scholar] [CrossRef]
- Patlai, I.M.; Rudenko, V.N. Selection of fast-growing forest trees in Ukraine. Forestry and Forest Melioration 1990, 81, 3–7. [Google Scholar]
- Starova, N.V. Selection of Salicaceae. Moscow: Forest Industry, 1980, p. 1–208.
- Los, S.A.; Tereshchenko, L.I.; Gayda, Yu.І.; Ustimenko, P.М. State of forest genetic resources in Ukraine. Kharkiv: PLANETA-PRINT, 2014. 138 p. ISBN 978-617-7229-06-2.
- Torosova, L.A.; Vysotska, N.Y.; Los, S.A.; Orlovska, T.V.; Zolotyh, I.V. Studies of morphological characters for representatives of Populus genus. Forestry and Forest Melioration 2015, 126, 148–157. [Google Scholar]
- Kutsokon, N.; Rakhmetov, D.; Rakhmetova, S.; Khudolieieva, L.; Rashydov, N. Nursery screening of poplar and willow clones for biofuel application in Ukraine. iForest-Biogeosciences and Forestry 2022, 15, 401. [Google Scholar] [CrossRef]
- Vysotska, N.Y. Current state and prospects of the poplar genetic resources conservation in Ukraine. Scientific Works of the Forestry Academy of Sciences of Ukraine 2017, 15, 38–44. [Google Scholar] [CrossRef]
- Vysotska, N.; Torosova, L. Collection of species and varieties of willows and poplars in the Ukrainian Research Institute of Forestry and Forest Melioration named after G. M. Vysotsky. In: Conservation of Forest Genetic Resources: Proceedings of the 5th International Conference, 39. Homel, Belarus: NAS of Belarus, Scientific and Practical Center of the NAS of Belarus. 2017 p.38–40 http://www.forinst.basnet.by/2017/files/2017-InForest-conference_proceedings.pdf.
- Krupej, N.S. Inheritance of crown pyramidality in pyramidal poplar hybrids. Forestry & Forest Melioration 1970, 23, 71–79. [Google Scholar]
- Nazarenko, V.V.; Pasternak, V.P. Patterns of formation of forest types of Forest-steppe of the Kharkiv region. Kharkiv, KhNAU, 2016, 190 p.
- Zepner, L. , Karrasch, P., Wiemann, F., Bernard, L.,: ClimateCharts. net—an interactive climate analysis web platform. International Journal of Digital Earth, 2021, 14, 338–356. [Google Scholar] [CrossRef]
- Peel, M.C.; Finlayson, B.L.; McMahon, T.A. Updated world map of the Köppen-Geiger climate classification. Hydrol. Earth Syst. Sci. 2007, 11, 1633–1644. [Google Scholar] [CrossRef]
- Meshkova, V.L. Seasonal development of foliage browsing insects; Novoe Slovo: Kharkov, Ukraine, 2009; pp. 1–396. ISBN 978-966-2046-69-4. [Google Scholar]
- Selyaninov, G. T. Methodology of Agricultural Climate Characteristics. World Agro-climatic reference book. L.-M. 1937; 5–29. [Google Scholar]
- Atramentova, L.A.; Utevskaya, O.M. Statistical Methods in Biology; Likhtar: Gorlovka, Ukraine, 2008; 248p, ISBN 978-966-2129-26-7. [Google Scholar]
- Meteofor: weather in Kharkiv. Available online: https://meteofor.com.ua/ru/weather-kharkiv-14410 (accessed on 2 March 2024).
- Turok, J.; Lefèvre, F.; Cagelli, L. ; De Vries, SMG (compilers). Populus nigra Network. Report of the second meeting, 10–12 September 1995, Casale Monferrato, Italy. Rome, Italy: International PlantGenetic Resources Institute, 1996, 26 pp.
- Python Software Foundation, Python Language Reference, Available at http://www.www.python.org. (accessed on 2 March 2024).
- Hammer, O.; Harper, D.A.T.; Ryan, P.D. PAST: Paleontological statistics software package for education and data analysis. Palaeontol. Electron. 2001, 4, 9. [Google Scholar]
- Broberg, C.L.; Borden, J.H. Hybrid poplar clones with Populus maximowiczii parentage demonstrate postoviposition antibiosis to Cryptorhynchus lapathi (Coleoptera: Curculionidae). Journal of Economic Entomology 2005, 98, 2254–2259. [Google Scholar] [CrossRef]
- Kalischuk, A.R.; Gom, L.A.; Floate, K.D.; Rood, S.B. Intersectional cottonwood hybrids are particularly susceptible to the poplar bud gall mite. Can J Bot 1997, 75, 1349–1355. [Google Scholar] [CrossRef]
- Moore, L.M.; Wilson, L.F. Impact of the poplar-gall saperda, Saperda inornata (Coleoptera: Cerambycidae) on a hybrid Populus plantation in Michigan. Great Lakes Entomol 1986, 19, 163–167. [Google Scholar] [CrossRef]









| Section abbr. | Hybrids / Crossing combination | Clone name | Ref. |
|---|---|---|---|
| A | P. × canadensis (Pc) | ‘Bachelieri’ (Bh), ‘Sakrau79’ (Sk79), ‘Robusta’ (Rob), ‘Tronco’ (Tr), ‘Constanta’ (Cn), ‘Veryla’ (Ve), ‘Sakrau45-51’ (Sk45), ‘Brabantika’ (Br) | [39,45,48] |
| A | P. deltoides (Pd) | ‘Gulliver’ (Gu), ‘Deltopodibna’ (De), ‘Karolinska 162’ (Ka), | [45,48] |
| A | P. deltoides × P. nigra cv. ‘Italica’ (Pd × PnIt) | ‘Strilopodibna’ (St), | [46] |
| A | P. nigra × P. deltoides (Pn × Pd) | ‘Gradizka’ (Gr), ‘Keliberdynska’ (Ke), ‘Robusta 16’ (Rob16) | [39,45] |
| A | P. nigra × P. nigra cv. ‘Italica’ (Pn × PnIt) | ‘Rosijska’ (Ro), ‘Pioner’ (Pi), ‘Addita’ (Ad) | [39,48] |
| A | P. nigra cv. ‘Pyramidalis’ (PnPrm) | ‘Slava Ukrayiny’ (Sl) | [45] |
| T | P. trichocarpa (Pt) | ‘Volosystoplidna’ (Vo), ‘Lada’ (La) | [48] |
| T | P. trichocarpa × P. laurifolia (Pt × Plrf) | ‘Druzhba’ (Dr) | [48] |
| T | P. simonii f. fastigiata (PsimF) | ‘Rohanska’ (Rh) | [48] |
| A × L | P. × canadensis cv. ‘Regenerata’ × P. lasiocarpa (PcRg × Pls) | ‘Perspektyvna’ (Pe) | [45] |
| A × L | P. deltoides × P. lasiocarpa (Pd × Pls) | ‘Udyvytelnaya’ (Udv) | [45] |
| A × T | P. × canadensis × P. trichocarpa (Pc ×Pt) | ‘Lvivska’ (Lv), ‘Mobilna’ (Mo) | [45] |
| A × T | P. deltoides × P. balsamifera (Pd × Pbls) | ‘Kanadska×balsamichna’ (KB) | [48] |
| A × T | P. nigra cv. ‘Italica’ × P. laurifolia (PnIt × Plrf) | ‘Novoberlinska-7’ (N7), ‘Novoberlinska-3’ (N3) | [45,48] |
| A × T | P. nigra cv. ‘Italica’ × P. trichocarpa (PnIt × Pt) | ‘Lubenska’ (Lu) | [45] |
| A × T | (P. nigra cv. ‘Italica’ х P. nigra) × P. balsamifera (PnIt × Pn × Pbls) | ‘Versia’ (Vr) | [45] |
| A × T | P. suaveolens ×P. × berolinensis (Psv × Pbrl) | ‘Ivantiivska’ (Iv) | [46,48] |
| A × T | P. simonii × P. nigra cv. ‘Italica’ (Psim × PnIt) | ‘Kytaiska × pyramidalna’ (Kp) | [46] |
| T × L | P. trichocarpa × P. lasiocarpa (Pt × Pls) | ‘Nocturne’ (No) | [46,48] |
| Climatic indicators * | 1990–2020 | 2019 | 2020 | 2021 | 2023 |
|---|---|---|---|---|---|
| Air temperature, T°C | |||||
| – for year | 8.8 | 10.8 | 10.4 | 9.2 | 10.3 |
| – for vegetative period | 17.4 | 19.2 | 17.9 | 17.8 | 18.2 |
| Date of stable transition of temperature | |||||
| – over 5°C | 29/03 | 19/03 | 9/03 | 2/04 | 16/03 |
| – over 10°C | 16/04 | 9/04 | 24/04 | 23/04 | 10/04 |
| Precipitation, mm | |||||
| – for year | 535.2 | 342.3 | 494.6 | 399.0 | 694.1 |
| – for the vegetative period | 287.2 | 159.4 | 285.1 | 217.8 | 354.2 |
| Hydrothermal index** | 0.90 | 0.45 | 0.87 | 0.67 | 1.06 |
Disclaimer/Publisher’s Note: The statements, opinions and data contained in all publications are solely those of the individual author(s) and contributor(s) and not of MDPI and/or the editor(s). MDPI and/or the editor(s) disclaim responsibility for any injury to people or property resulting from any ideas, methods, instructions or products referred to in the content. |
© 2024 by the authors. Licensee MDPI, Basel, Switzerland. This article is an open access article distributed under the terms and conditions of the Creative Commons Attribution (CC BY) license (http://creativecommons.org/licenses/by/4.0/).
