Submitted:
02 April 2024
Posted:
03 April 2024
You are already at the latest version
Abstract
Keywords:
1. Introduction
- Source water protection
- Coagulation, flocculation, sedimentation, and filtration
- Disinfection
- Protection of the distribution system
|
Definitions: “frank” pathogens are microbes that always cause disease. “opportunistic” pathogens are organism that cause an infectious disease in a host with a weakened immune system. |
- Opportunistic pathogens are normal inhabitants of the aquatic environment. It does not require an event, like fecal contamination, for the bacteria to be present.
- Unlike most fecal-oral pathogens, opportunistic pathogens can grow in water provided the right temperature and conditions are present.
- The ecology of many of the opportunistic pathogens are more complex than fecal pathogens and often involves intracellular growth in free living amoebae that can amplify the bacterial virulence factors - leading to human infections.
- Drinking water can be an important route of exposure for opportunistic pathogens, but often other uses of water are also important, including cooling towers, hot tubs and pools, ornamental fountains, and industrial equipment (Garrison et al., 2016).
- The routes of infection for opportunistic pathogens in drinking water often go beyond simple ingestion and include inhalation, dermal exposure, ocular, and acute otitis externa (outer ear infection).
- The infectious dose for opportunistic pathogens is often much higher than fecal-oral pathogens meaning that the concentration of these organisms in water is much more important than just their mere presence.
- Generally, opportunistic pathogens pose the greatest risk to the elderly, immunocompromised (e.g., those undergoing cancer treatment, organ transplant, or in intensive care units), or have some underlying risk factor (e.g., smoking, alcohol consumption, pregnancy, asthma, etc.). However, in some cases the very young can also be at risk.
2. Impact of Climate Change on the Microbiology of the Distribution System
3. Primary Treatment Considerations
4. Factors Influencing Growth of Microbes in Distribution Systems
5. Description of Specific Opportunistic Pathogens
Legionella Pneumophila
Mycobacterium Avium
Pseudomonas aeruginosa
Other Opportunistic Pathogens
6. Conclusions and Recommendations
References
- Alexander, N. T., B. S. Fields, and L. A. Hicks. 2008. Epidemiology of reported pediatric Legionnaires’ disease in the United States, 1980–2004. Presented at 48th Interscience Conference on Antimicrobial Agents and Chemotherapy, Washington, DC. Abstract #G1–1694.
- Allen MJ, Geldreich EE. 1975. Bacteriological criteria for groundwater quality. Ground Water 13:45–52.
- Anderson, R.L., R.L. Berkelman, D.C. Mackel, B.J. Davis, B.W. Holland, and W.J. Martone. 1984. Investigations into the survival of Pseudomonas aeruginosa in poloxamer-iodine. Applied and Environmental Microbiology, 47(4), pp.757-762.
- Anversa, L., R.C. Arantes Stancari, M. Garbelotti, L. da Silva Ruiz, V.B.R Pereira, G.A. Nogueira Nascentes, S.T. Alves Dantas, and V.L. Mores Rall. 2019. Pseudomonas aeruginosa in public water supply. Water Practice and Technology, 14(3), pp.732-737. [CrossRef]
- Archuleta RJ, Mullens P, Primm TP. 2002. The relationship of temperature to desiccation and starvation tolerance of the Mycobacterium avium complex. Arch Microbiol. 178(4):311-4. [CrossRef]
- Ashbolt, N.J. 2015. Environmental (saprozoic) pathogens of engineered water systems: understanding their ecology for risk assessment and management. Pathogens 4, 390–405. [CrossRef]
- ASHRAE (American Society of Heating, Refrigerating and Air-Conditioning Engineers). 2018. Standard 188 legionellosis: Risk management for building water systems. Atlanta, GA: ASHRAE.
- ASHRAE. 2020. ASHRAE Guideline 12-2020. Minimizing the risk of legionellosis associated with building water systems. Atlanta, GA: ASHRAE.
- Atherholt, T.B., M.W. LeChevallier, W.D. Norton, and J.S. Rosen. 1998. Effect of Rainfall on Giardia and Crypto. J. Amer. Water Works Assoc., 90(9): 66-80.
- AWWA and EES. 2002. Effects of Water Age on Distribution System Water Quality. https://www.epa.gov/sites/default/files/2015-09/documents/2007_05_18_disinfection_tcr_whitepaper_tcr_waterdistribution.pdf Accessed 3/20/23.
- AWWA Disinfection Systems Committee. 2008. Committee report: Disinfection survey, part 1 – recent changes, current practices and water quality. Journal AWWA, 100(10): 76-90.
- AWWA M68. 2017. M68 Water Quality in Distribution System. American Water Works Association, Denver.Colo. https://engage.awwa.org/PersonifyEbusiness/Bookstore/Product-Details/productId/67726045.
- Baker, M.N., 1948. The Quest for Pure Water: The History of Water Purification from the Earliest Records to the Twentieth Century. American Water Works Assn. Denver, CO.
- Balfour-Lynn, I.M. 2021. Environmental risks of Pseudomonas aeruginosa–What to advise patients and parents. Journal of Cystic Fibrosis, 20(1): 17-24. [CrossRef]
- Banting, G. and M.J. Figueras Salvat. 2017. Arcobacter. In: J.B. Rose and B. Jiménez-Cisneros, (eds) Water and Sanitation for the 21st Century: Health and Microbiological Aspects of Excreta and Wastewater Management (Global Water Pathogen Project). ( A. Pruden, N. Ashbolt and J. Miller (eds), Part 3: Specific Excreted Pathogens: Environmental and Epidemiology Aspects - Section 2: Bacteria), Michigan State University, E. Lansing, MI, UNESCO. [CrossRef]
- Bartram, J. 2007. Legionella and the prevention of legionellosis. J. Bartram, Y. Chartier, J.V. Lee, K. Pond, S. Surman-Lee (eds.). World Health Organization. [CrossRef]
- Bartrand, T.A., J.J. Causey, and J.L. Clancy. 2014. Naegleria fowleri: an emerging drinking water pathogen. Journal-American Water Works Association 106(10): E418-E432. [CrossRef]
- Beauté, J., P. Zucs, and B. de Jong. 2013. On behalf of the European Legionnaires’ Disease Surveillance Network. Legionnaires’ disease in Europe, 2009–2010. European Surveillance 18(10): 20417.
- Bédard, E., M. Prévost, and E. Déziel. 2016. Pseudomonas aeruginosa in premise plumbing of large buildings. Microbiologyopen 5(6): 937-956. [CrossRef]
- Besner, M-C., V. Gauthier, B. Barbeau, R. Millette, R. Chapleau, and M. Prévost (2001) “Understanding Distribution System Water Quality,” Journal of the American Water Works Association, vol.93, no.7, pp. 101-114.
- Blanc, S. M., D. Robinson, and N. L. Fahrenfeld. 2021. Potential for nontuberculous mycobacteria proliferation in natural and engineered water systems due to climate change: A literature review. City and Environment Interactions 11: 100070. [CrossRef]
- Blokker, M., J. Van Summeren, V. Speight. 2020. Water Quality in Drinking Water Distribution Systems. MDPI - Multidisciplinary Digital Publishing Institute. Basel, Switzerland. ISBN: 9783039360130. [CrossRef]
- Boer, M.M., Resco de Dios, V., & Bradstock, R. A. (2020). Unprecedented burn area of Australian mega forest fires. Nature Climate Change, 10(3), 171– 172. [CrossRef]
- Boxall, J.B. and Prince, R.A. 2006. Modelling discolouration in a Melbourne (Australia) potable water distribution system. Journal of Water Supply: Research and Technology—AQUA, 55(3), pp.207-219. [CrossRef]
- Brooke, J. S. 2012. Stenotrophomonas maltophilia: an emerging global opportunistic pathogen. Clinical microbiology reviews, 25(1), 2-41. [CrossRef]
- Calero Preciado C, J. Boxall, V. Soria-Carrasco, S. Martínez and I. Douterelo. 2021. Implications of Climate Change: How Does Increased Water Temperature Influence Biofilm and Water Quality of Chlorinated Drinking Water Distribution Systems? Front. Microbiol. 12:658927. [CrossRef]
- Camper, A. K. 1996. Factors Limiting Microbial Growth the Distribution System: Laboratory and Pilot-Scale Experiments. Denver, CO: AWWA Research Foundation and American Water Works Association.
- Camper, A.K., P. Butterfield, B. Ellis, et al. 2000. Investigation of the Biological Stability of Water in Treatment Plants and Distribution Systems. Denver, CO: AWWA Research Foundation.
- Campos, C., J.F. Loret A.J. Cooper R.F. Kelly. 2003. Disinfection of domestic water systems for Legionella pneumophila. Journal of Water Supply Research and Technology-Aqua, 52, 341-354.
- Canning, A., Ryan, G., Deere, D., Watson, M., Buchanan, W., Rao, P., Haynes, L., Masters, D., Sheehan, D., Haynes, L., Sunna, M., Richardson, G., Day, J., Fontana, D., Sawtell, L., Guiney, B, Cameron, D., Hines, Z., Pritchard, S., Gonzalez, R., Richard, L., & MacCarthy, S. (2020). Bushfire management national good practice operational guidelines for the Australian water industry. https://www.wsaa.asn.au/publication/national-good-practice-operational-guidelines-bushfire-management-australian-water.
- Carson, L.A., L.B. Cusick, L.A. Bland, and M.S. Favero. 1988. Efficacy of chemical dosing methods for isolating nontuberculous mycobacteria from water supplies of dialysis centers. Appl. Environ. Microbiol. 54: 1756-1760.
- Carson, L.A., N.J. Petersen, M.S. Favero, and S.M. Aguero. 1978. Growth characteristics of atypical mycobacteria in water and their comparative resistance to disinfectants. Appl. Environ. Microbiol. 36, 839-846.
- Carvalheira A., J. Silva, P. Teixeira. 2021. Acinetobacter spp. in food and drinking water - A review. Food Microbiol. 95:103675. [CrossRef]
- Cateau, E., E. Maisonneuve, S. Peguilhan, N. Quellard, Y. Hechard, and M.H. Rodier. 2014. Stenotrophomonas maltophilia and Vermamoeba vermiformis relationships: bacterial multiplication and protection in amoebal-derived structures. Research in microbiology 165(10): 847-851. [CrossRef]
- CDC. 2019. Antibiotic Resistance Threats in the United States, 2019. Atlanta, GA: U.S. Department of Health and Human Services. [CrossRef]
- CDC. 2020. Naegleria fowleri — Primary Amebic Meningoencephalitis (PAM) — Amebic Encephalitis. https://www.cdc.gov/parasites/naegleria/public-water-systems.html. (Accessed 4/2023).
- CDC. 2021a. Developing a water management program to reduce Legionella growth and spread in buildings: a practical guide to implementing industry standards. Version 1.1. https://www.cdc.gov/legionella/downloads/toolkit.pdf. (Accessed 4/2023).
- CDC. 2021b. Toolkit for Controlling Legionella in Common Sources of Exposure (Legionella Control Toolkit). Version 1.1. https://www.cdc.gov/legionella/downloads/Control-Toolkit-All-Modules.pdf. (Accessed 4/2023).
- CDC. 2021c. Acanthamoeba — Granulomatous Amebic Encephalitis (GAE); Keratitis. https://www.cdc.gov/parasites/acanthamoeba/infection-sources.html. (Accessed 4/2023).
- CDC. 2023. Nontuberculous Mycobacteria (NTM) Infections. https://www.cdc.gov/hai/organisms/nontuberculous-mycobacteria.html; and Pseudomonas aeruginosa in Healthcare Settings. https://www.cdc.gov/hai/organisms/pseudomonas.html. (Accessed 4/2023).
- CDC. 2023b. Pseudomonas aeruginosa in Healthcare Settings. https://www.cdc.gov/hai/organisms/pseudomonas.html. (Accessed 4/2023).
- Cervero-Aragó, S., R. Sommer, and R.M Araujo. 2014. Effect of UV irradiation (253.7 nm) on free Legionella and Legionella associated with its amoebae hosts. Water Research, 67: 299-309.
- Chambers, S. T., S. Slow, A. Scott-Thomas, and D.R. Murdoch. 2021. Legionellosis Caused by Non-Legionella pneumophila Species, with a Focus on Legionella longbeachae. Microorganisms 9, no. 2: 291. [CrossRef]
- Chen, L., J. Rui-Bao, and L. Li. 2013. Bacterial community of iron tubercles from a drinking water distribution system and its occurrence in stagnant tap water. Environ. Sci.: Processes Impacts, 15(7): 1332-1340. [CrossRef]
- Chen, X. and Stewart, P.S. 1996. Chlorine penetration into artificial biofilm is limited by a reaction-diffusion interaction. Environ. Sci. Technol. 30(6), 2078–2083.
- Chopra, A. K. 2008. Characterization of waterborne Aeromonas species for their virulence potential. Project #2957. Awwa Research Foundation, Denver, Colorado.
- Cirillo, J.D., S. Falkow, L.S. Tompkins, and L.E. Bermudez. 1997. Interaction of Mycobacterium avium with environmental amoebae enhances virulence. Infection and immunity 65(9): 3759-3767. [CrossRef]
- Clark, R.M. 2012. Modeling Water Quality in Distribution Systems. American Water Works Association. Denver, CO. ISBN: 9781583218167.
- Clarke, S.H. 2011. Ultraviolet light disinfection in the use of individual water purification devices. Technical Information Report #31-006-0211. (URL: https://phc.amedd.army.mil/PHC%20Resource%20Library/Ultraviolet%20Light%20Disinfection%20in%20the%20Use%20of%20Individual%20Water%20Purification%20Devices.pdf; accessed 4/2023).
- Clement, J. A., Spencer, C., Capuzzi, A. J., et al. (2003). Influence of Distribution System Infrastructure on Bacterial Regrowth. Denver, CO: AWWA Research Foundation.
- Cohen, P.D., J.A. Gleason, E. Rudowski, S.M.Tsai, C.A Genese,. and J.A. Fagliano. 2015. Community outbreak of legionellosis and an environmental investigation into a community water system. Epidemiol Infect 143(6), 1322-1331. [CrossRef]
- Colbourne, J.S. and R.M. Trew. 1986. Presence of Legionella in London's water supplies. Israel Journal of Medical Sciences 22(9), 633-639.
- Collado, L., G. Kasimir, U. Perez, A. Bosch, R. Pinto, G. Saucedo, et al. 2010. Occurrence and diversity of Arcobacter spp. along the Llobregat River catchment, at sewage effluents and in a drinking water treatment plant. Water Research. 44, pp. 3696–3702.
- Collier, S. A., Deng, L., Adam, E. A., Benedict, K. M., Beshearse, E. M., Blackstock, A. J....Beach, M. J. 2021. Estimate of Burden and Direct Healthcare Cost of Infectious Waterborne Disease in the United States. Emerging Infectious Diseases, 27(1), 140-149. [CrossRef]
- Collins, C.H., J.M. Grange, and M.D. Yates. 1984. Mycobacteria in water. J. Appl. Bacteriol. 57: 193-211.
- Collins, F.M. 1971. Relative susceptibility of acid fast and non-acid fast bacteria to ultraviolet light. Appl. Microbiol. 21: 411-413. [CrossRef]
- Covert TC, M.R. Rodgers, A.L. Reyes, G.N. Stelma Jr. 1999. Occurrence of nontuberculous mycobacteria in environmental samples. Appl Environ Microbiol 65(6):2492–2496.
- Crivaro, V., A. Di Popolo, A. Caprio, A. Lambiase, M. Di Resta, T. Borriello, A. Scarcella, M. Triassi, and R.Zarrilli. 2009. Pseudomonas aeruginosa in a neonatal intensive care unit: molecular epidemiology and infection control measures. BMC Infectious Diseases 9: 1-7.
- Cross, K. E., J. W. Mercante, A. J. Benitez, E. W. Brown, M. H. Diaz, and J. M. Winchell. 2016. Simultaneous detection of Legionella species and L. anisa, L. bozemanii, L. longbeachae, and L. micdadei using conserved primers and multiple probes in a multiplex real-time PCR assay. Diagnostic Microbiology and Infectious Diseases 85(3):295-301.
- Cullom, A.C.; Martin, R.L.; Song, Y.; Williams, K.; Williams, A.; Pruden, A.; Edwards, M.A.2020. Critical Review: Propensity of Premise Plumbing Pipe Materials to Enhance or Diminish Growth of Legionella and Other Opportunistic Pathogens. Pathogens, 9(11):957. [CrossRef]
- Cunha, B. A., A. Burillo, and E. Bouza. 2016. Legionnaires’ disease. Lancet. 387(10016):376-385.
- Cunliffe, D.A. 1990. Inactivation of Legionella pneumophila by monochloramine. Applied Bacteriology, 68: 453-459.
- Cunningham, A.B., J.E. Lennox, and R.J. Ross (Eds.) 2011. Biofilms: The Hypertextbook. http://www.hypertextbookshop.com/biofilmbook/v004/r003/.
- Currie B.J., M. Mayo, N.M. Anstey, P. Donohoe, A. Haase, D.J. Kemp. 2001. A cluster of melioidosis cases from an endemic region is clonal and is linked to the water supply using molecular typing of Burkholderia pseudomallei isolates. Am J Trop Med Hyg. 65:177–9.
- Curriero, F.C., J.A Patz, J.B. Rose, S. Lele. 2001. The association between extreme precipitation and waterborne disease outbreaks in the United States, 1948–1994. Am J Public Health. 91 (8): 1194–1199. [CrossRef]
- Cursons, R.T., T.J. Brown, and E.A. Keys. 1980. Effect of disinfectants on pathogenic free-living amoebae: in axenic conditions. Appl. Environ. Microbiol. 40:62-66.
- David, H. L. 1973. Response of mycobacteria to ultraviolet light. Amer. Rev. Respir. Dis. 108:1175-1185.
- David, H. L., W. D. Jones, and C. M. Newman. 1971. Ultraviolet light and photoreactivation in mycobacteria. Infect. Immun. 4(3): 318-319.
- De Beer, D., Srinivasan, R. and Stewart, P.S. 1994. Direct measurement of chlorine penetration into biofilms during disinfection. Appl. Environ. Microbiol. 60(12), 4339–4344.
- de Jonckheere, J., and H. Van de Voorde. 1976. Differences in Destruction of Cysts of Pathogenic and Nonpathogenic Naegleria and Acanthamoeba by Chlorine. Appl. Environ. Microbiol. 31:294-297.
- Dietrich, A. M., R. Hoehn, and C. E. Via. 1991. Taste and odor problems associated with chlorine dioxide. Denver, CO: Water Research Foundation and AWWA.
- Domingue, E.L., R.L. Tyndall, W.R. Mayberry, and O.C. Pancorbo. 1988. Effects of three oxidizing biocides on Legionella pneumophila serogroup 1. Applied and Environmental Microbiology, 54(3): 741-747.
- Donlan, R., R. Murga, J. Carpenter, E. Brown, R. Besser, and B. Fields. 2002. Monochloramine disinfection of biofilm-associated Legionella pneumophila in a potable water model system. In: Legionella, R. Marre, Y.A. Kwaik, and C. Bartlett, (eds.). 406-410. Washington, DC: American Society for Microbiology.
- Donlan, R.M. and Pipes, W.O. 1988. Selected drinking water characteristics and attached microbial population density. J. Am. Water Works. Assoc. 80(11): 70-76.
- Donohue M.J, J.H. Mistry, J.M. Donohue, K. O’Connell, D. King, J. Byran, T. Covert, S. Pfaller. 2015. Increased frequency of nontuberculous mycobacteria detection at potable water taps within the United States. Environ Sci Technol, 49:6127–6133.
- Donohue MJ, Wymer L. 2016. Increasing prevalence rate of nontuberculous mycobacteria infections in five states, 2008-2013. Ann Am Thorac Soc.; 13(12):2143–50.
- Donohue, M.J. 2018. Increasing nontuberculous mycobacteria reporting rates and species diversity identified in clinical laboratory reports. BMC Infectious Diseases 18:163. [CrossRef]
- Dooling, K. L., K.-A. Toews, L. A. Hicks, L. E. Garrison, B. Bachaus, S. Zansky, L. R. Carpenter, B. Schaffner, E. Parker, S. Petit, A. Thomas, S. Thomas, R. Mansmann, C. Morin, B. White, and G. E. Langley. 2013. Active bacterial core surveillance for Legionellosis—United States, 2011–2013. Morb. Mortal. Wkly. Rep. 64(42):1190-1193.
- Dowdell K., S.J. Haig, L.J. Caverly, Y. Shen, J.J. LiPuma, L. Raskin. 20`9. Nontuberculous mycobacteria in drinking water systems - the challenges of characterization and risk mitigation. Curr Opin Biotechnol. 57:127-136. [CrossRef]
- du Moulin, G.C., K.D. Stottmeier, P.A. Pelletier, A.Y. Tsang, and J. Hedley-Whyte. 1988 Concentration of Mycobacterium avium by hospital hot water systems. J. Am. Med. Assoc. 260, 1599-1601.
- Dupuy, M., S. Mazoua, F. Berne, C. Bodet, N. Garrec, P. Herbelin, F. Menard-Szczebara, S. Oberti, M.H. Rodier, S. Soreau, F. Wallet, and Y. Héchard. 2011. Efficiency of water disinfectants against Legionella pneumophila and Acanthamoeba. Water Research, 45: 1087-1094.
- ECDC. 2023. European Centre for Disease Prevention and Control. Legionnaires’ disease. https://www.ecdc.europa.eu/en/legionnaires-disease.
- European Union. 2020. Directive (EU) 2020/2184 of the European Parliament and of the Council on the Quality of Water Intended for Human Consumption. 16 December 2020 https://eur-lex.europa.eu/legal-content/EN/TXT/PDF/?uri=CELEX:32020L2184&from=EN.
- Evans, T., M, M.W. LeChevallier, C.E. Waarvick, and R.J. Seidler. 1981. Coliform species recovered from untreated surface water and drinking water by the membrane filter, standard, and modified most-probable-number techniques. Applied and Environmental Microbiology 41(3): 657-663.
- Falkinham J.O. 2018. Mycobacterium avium complex: Adherence as a way of life. AIMS Microbiol. 2018 Jun 12;4(3):428-438. [CrossRef]
- Falkinham, J. O., III, C. D. Norton, and M. W. LeChevallier. 2001. Factors influencing numbers of Mycobacterium avium, Mycobacterium intracellulare, and other Mycobacteria in drinking water distribution systems. Appl. Environ. Microbiol. 67(3): 1225-1231.
- Farnham, A., L. Alleyne, D. Cimini, and S. Balter. 2014. Legionnaires’ disease incidence and risk factors, New York, New York, USA, 2002–2011. Emerging Infectious Diseases 20(11):1795-1802.
- Favero, M.S., L.A. Carson, W.W. Bond, and N.J. Petersen. 1971. Pseudomonas aeruginosa: growth in distilled water from hospitals. Science, 173(3999), pp.836-838.
- Fernández-Bravo A., M.J. Figueras. 2020. An Update on the Genus Aeromonas: Taxonomy, Epidemiology, and Pathogenicity. Microorganisms. 8(1):129. [CrossRef]
- Fields BS, Barbaree JM, Sanden GN, Morrill WE. 1990. Virulence of a Legionella anisa strain associated with Pontiac fever: an evaluation using protozoan, cell culture, and guinea pig models. Infect Immun. 58(9):3139-42. PMID: 2117580.
- Fields, B.S., R.F. Benson, R.E. Besser. 2002. Legionella and Legionnaires’ Disease: 25 Years of Investigation. Clinical Microbiology Reviews, 15(3): 506–526. [CrossRef]
- Fisher, I., G. Kastl, A. Sathasivan. 2012. A suitable model of combined effects of temperature and initial condition on chlorine bulk decay in water distribution systems. Water Research, 46(10): 3293-3303. [CrossRef]
- Fisher, I.J., P.J. Phillips, K.M. Colella, S.C. Fisher, T. Tagliaferri, W.T. Foreman, E.T. Furlong. 2016. The impact of onsite wastewater disposal systems on groundwater in areas inundated by Hurricane Sandy in New York and New Jersey. Marine Pollution Bulletin. 107 (2): 509-517. [CrossRef]
- Fisman, D.N, S. Lim, G.A. Wellenius, C. Johnson, P. Britz, M. Gaskins, J. Maher, M.A. Mittleman, C.V. Spain, C.N. Haas, C. Newbern. 2005. It’s Not the Heat, It’s the Humidity: Wet Weather Increases Legionellosis Risk in the Greater Philadelphia Metropolitan Area, The Journal of Infectious Diseases, 192(12): 2066–2073. [CrossRef]
- Flannery, B., L.B. Gelling, D.J. Vugia, J.M. Weintraub, J.J. Salerno, M.J. Conroy, V.A. Stevens, C.E. Rose, M.R. Moore, B.S. Fields, and R.E. Besser. 2006. Reducing Legionella colonization of water systems with monochloramine. Emerging Infectious Diseases, 12(4): 588-596.
- Forbes, BA. 2017. Mycobacterial taxonomy. J Clin Microbiol 55:380 –383. [CrossRef]
- Friedman N.D., T.M. Korman, C.K. Fairley, J.C. Franklin, D.W. Spelman. 2002. Bacteremia due to Stenotrophomonas maltophilia: an analysis of 45 episodes. J Infect. 45(1):47-53. [CrossRef]
- Friedman, M. J., K. Martel, A. Hill, et al. (2003). Establishing Site Specific Flushing Velocities. Denver, CO: AWWA Research Foundation and American Water Works Association.
- García, M. T., S. Jones, C. Pelaz, R. D. Millar, and Y. Abu Kwaik. 2007. Acanthamoeba polyphaga resuscitates viable non-culturable Legionella pneumophila after disinfection. Environmental Microbiology 9:1267-77.
- García-Ávila, F., C. Sánchez-Alvarracín, M. Cadme-Galabay, J. Conchado-Martínez, G.García-Mera, C.Zhindón-Arévalo. 2020. Relationship between chlorine decay and temperature in drinking water. MethodsX, 7, 101002. [CrossRef]
- Garrison LE, Kunz JM, Cooley LA, et al. 2016. Vital Signs: Deficiencies in Environmental Control Identified in Outbreaks of Legionnaires’ Disease — North America, 2000–2014. MMWR Morb Mortal Wkly Rep 65:576 – 584. [CrossRef]
- Gebert M.J., M. Delgado-Baquerizo,A.M. Oliverio, T.M. Webster, L.M. Nichols, J.R. Honda, E.D. Chan, J. Adjemian, R.R. Dunn, N. Fierer. 2018. Ecological analyses of mycobacteria in showerhead biofilms and their relevance to human health. mBio, 9(5):e01614-18. [CrossRef]
- Geldreich, E.E. 1996. Microbial quality of water supply in distribution systems. Lewis Publishers, CRC Press, LLC. Boca Raton, FL. ISBN 1-56670-194-5.
- George, S.E., M.J. Kohan, D.A. Whitehouse, J.P. Creason, C.Y. Kawanishi, R.L. Sherwood, & L.D. Claxton. 1991.Distribution, clearance, and mortality of environmental Pseudomonads in mice upon intranasal exposure. Appl.Environ. Microbiol. 57 (8), 2420–2425.
- Gerba, C.P., and J.B. Rose.. 1990. Viruses in Source and Drinking Water. In: McFeters, G.A. (eds) Drinking Water Microbiology. Brock/Springer Series in Contemporary Bioscience. Springer, New York, NY. [CrossRef]
- Gerdes ME, Miko S, Kunz JM, Hannapel EJ, Hlavsa MC, Hughes MJ, et al. 2023. Estimating Waterborne Infectious Disease Burden by Exposure Route, United States, 2014. Emerg Infect Dis. 29(7):1357-1366. [CrossRef]
- Ghaju Shrestha, R., Y. Tanaka, and E. Haramoto. 2022. A Review on the Prevalence of Arcobacter in Aquatic Environments. Water 14, no. 8: 1266. [CrossRef]
- Gião, M.S., S.A. Wilks, N.F. Azevedo, M.J. Vieira, and C.W. Keevil. 2009. Validation of SYTO 9/propidium iodide uptake for rapid detection of viable but noncultivable Legionella pneumophila. Microbial Ecology, 58(1): 56-62. [CrossRef]
- Gleason, J.A., R. Newby, J.J. Gaynor, L.H. Lee, T. Chu, A.D. Bliese, C.W. Taylor, P. Yoon, S. DeLorenzo, D. Pranitis, J. Bella. 2023. Legionella monitoring results by water quality characteristics in a large public water system. Environ Sci Pollut Res (2023). [CrossRef]
- Glover N., A. Holtzman, T. Aronson, S. Froman, O.G.W. Berlin, P. Dominguez, K.A. Kunkel, G. Overturf, G. Stelma Jr., C. Smith, and M. Yakrus. 1994. The isolation and identification of Mycobacterium avium complex (MAC) recovered from Los Angeles potable water, a possible source of infection in AIDS patients. Int. J. Environ. Health Res.4, 63–72. [CrossRef]
- Goel, S., and E.J. Bouwer. 2004. Factors influencing inactivation of Klebsiella pneumoniae by chlorine and chloramine. Water Research. 38(2): 301-308. [CrossRef]
- Grobe, S., J. Wingender, and H.-C. Flemming. 2001. Capability of mucoid Pseudomonas aeruginosa to survive in chlorinated water. International journal of hygiene and environmental health 204(2-3): 139-142.
- Guentzel, M.N., 1996. Escherichia, Klebsiella, Enterobacter, Serratia, Citrobacter, and Proteus. Medical Microbiology. 4th edition.
- Hamilton, K.A., A.J. Prussin, W. Ahmed & C.N. Haas. 2018. Outbreaks of Legionnaires’ Disease and Pontiac Fever 2006–2017. Current Environmental Health Reports. 5:263–271. [CrossRef]
- Hamilton, K.A., M.T. Hamilton, W. Johnson, P. Jjemba, Z. Bukhari, M. LeChevallier, C.N. Haas, P.L. Gurian. 2019. Risk-Based Critical Concentrations of Legionella pneumophila for Indoor Residential Water Uses. Environmental Science & Technology. 53 (8), 4528-4541. [CrossRef]
- Hammer-Dedet, F., C. Dupont, M. Evrevin, E. Jumas-Bilak, S. Romano-Bertrand. 2021. Improved detection of non-tuberculous mycobacteria in hospital water samples. Infectious Diseases Now. 51(5): 488-491. [CrossRef]
- Hartemann, P. 2018. Evolution of Legionella Control in France 1998-2018. Annals of Infectious Disease and Epidemiology. 3(3): 1035. https://www.remedypublications.com/open-access/evolution-of-legionella-control-in-france-1998-2018-1790.pdf.
- Heffelfinger, J.D., J.L. Kool, S. Fridkin, V.J. Fraser, J. Hageman, J. Carpenter, and C.G. Whitney. 2003. Risk of hospital-acquired Legionnaires’ disease in cities using monochloramine versus other water disinfectants. Infection Control and Hospital Epidemiology, 24(8): 569-574.
- Hejazi, A., and F.R. Falkiner. 1997. Serratia marcescens. Journal of Medical Microbiology. 46(11): 903-912. [CrossRef]
- Hewett, CJM, Wilkinson, ME, Jonczyk, J, Quinn, PF. 2020. Catchment systems engineering: An holistic approach to catchment management. WIREs Water. 7:e1417. [CrossRef]
- Higgins, P.G., J. Hrenovic, H. Seifert, and S. Dekic. 2018. Characterization of Acinetobacter baumannii from water and sludge line of secondary wastewater treatment plant. Water Research 140: 261-267.
- Hijnen, W.A.M., Beerendonk, E.F., Medema, G.J. 2006. Inactivation credit of UV radiation for viruses, bacteria and protozoan (oo)cysts in water: a review. Water Res. 40, 3–22.
- Hilborn E.D., T.C. Covert, M.A. Yakrus, S.I. Harris, S.F. Donnelly, E.W. Rice, S. Toney, S.A. Bailey, G.N. Stelma Jr. 2006. Persistence of nontuberculous mycobacteria in a drinking water system after addition of filtration treatment. Appl Environ Microbiol 72(9):5864–5869. [CrossRef]
- Holsinger, H., N. Tucker, S. Regli, K. Studer, V.A. Roberts, S. Collier, E. Hannapel, C. Edens, J.S. Yoder, K. Rotert. 2022. Characterization of reported legionellosis outbreaks associated with buildings served by public drinking water systems: United States, 2001–2017. J Water Health. 20 (4): 702–711. [CrossRef]
- Hou, Ai, D. Yang, J. Miao, D.-Y. Shi, J. Yin, Z.-W. Yang, Z.-G. Shen et al. 2019. Chlorine injury enhances antibiotic resistance in Pseudomonas aeruginosa through over expression of drug efflux pumps. Water research 156: 366-371.
- Howard A., M. O'Donoghue, A. Feeney, R.D. Sleator. 2012. Acinetobacter baumannii: an emerging opportunistic pathogen. Virulence. 3(3):243-50. [CrossRef]
- Howard, K., and T.J. Inglis. 2005. Disinfection of Burkholderia pseudomallei in potable water. Water Res. 6:1085-92. [CrossRef]
- Hozalski, R.M., T.M. LaPara, X. Zhao, T. Kim, M.B. Waak, T. Burch, and M. McCarty. 2020. Flushing of Stagnant Premise Water Systems after the COVID-19 Shutdown Can Reduce Infection Risk by Legionella and Mycobacterium spp. Environ. Sci. Technol. 54)24): 15914–15924. [CrossRef]
- Hubeny, J., E. Korzeniewska, M. Buta-Hubeny, W. Zieliński, D. Rolbiecki, and M. Harnisz. 2022. Characterization of carbapenem resistance in environmental samples and Acinetobacter spp. isolates from wastewater and river water in Poland. Science of The Total Environment 822: 153437.
- Inglis, T.J., S.C. Garrow, M. Henderson, A. Clair, J. Sampson, L. O’Reilly, et al. 2000. Burkholderia pseudomallei traced to water treatment plant in Australia. Emerg Infect Dis. 6:56–9.
- Jacangelo, J. G., N. L. Patania, R. R. Trussell, C. N. Hass, and C. Gerba. 2002. Inactivation of Waterborne Emerging Pathogens by Selected Disinfectants. pp. 1-145. AWWA Research Foundation and the American Water Works Association, Denver, Colo.
- Jjemba, P., W. Johnson, Z. Bukhari and M. LeChevallier. 2014. Review of the leading challenges in maintaining reclaimed water quality during storage and distribution. Journal of Water Reuse and Desalination 4(4): 209-237.
- Johnson P.D., J. Azuolas , C.J. Lavender, E. Wishart, T.P. Stinear, J.A. Hayman, L. Brown, G.A. Jenkin, J.A. Fyfe. 2007. Mycobacterium ulcerans in mosquitoes captured during outbreak of Buruli ulcer, southeastern Australia. Emerg Infect Dis. (11):1653-60. [CrossRef]
- Johnson, W.J., P.K. Jjemba, Z. Bukhari, LeChevallier, M.W. 2018. Occurrence of Legionella in Non-Potable Reclaimed Water. JAWWA 110(3): 15-27. https://www.awwa.org/publications/journal-awwa/abstract/articleid/68666658.aspx.
- Joret, J.C. and Levi, Y. 1986. Méthode rapide d’évaluation du carbone éliminable des eaux par voie biologique. Trib. Cebedeau 510(39), 3–9.
- Karumathil, D.P., H.B. Yin, A. Kollanoor-Johny, and K. Venkitanarayanan. 2014. Effect of chlorine exposure on the survival and antibiotic gene expression of multidrug resistant Acinetobacter baumannii in water. International journal of environmental research and public health 11(2): 1844-1854.
- Kazemi, E., Soofiyani, S. R., Ahangari, H., Eyvazi, S., Hejazi, M. S., & Tarhriz, V. 2021. Chemolithotroph bacteria: from biology to application in medical sciences. Crescent Journal of Medical and Biological Sciences, 8(2: 81-89.
- Kemble, S.K., R. Lynfield, A.S. DeVries, D.M. Drehner, W.F. Pomputius III, M.J. Beach, G.S. Visvesvara et al. 2012. Fatal Naegleria fowleri infection acquired in Minnesota: possible expanded range of a deadly thermophilic organism." Clinical infectious diseases 54(6): 805-809. [CrossRef]
- Khodr, A., E. Kay, L. Gomez-Valero, C. Ginevra, P. Doublet, C. Buchrieser, and S. Jarraud. 2016. Molecular epidemiology, phylogeny, and evolution of Legionella. Infect Genet Evol. 43:108-122.
- Kilvington, S., and J. Price. 1990. Survival of Legionella pneumophila within cysts of Acanthamoeba polyphaga following chlorine exposure. Journal of Applied Bacteriology 68:519-525.
- Kim, B.R.; Anderson, J.E.; Mueller, S.A.; Gaines, W.A.; Kendall, A.M. 2002. Literature review--efficacy of various disinfectants against Legionella in water systems. Water Res., 36, 4433-4444.
- Kim, T., X. Zhao, T.M. LaPara, and R.M. Hozalski. 2023. Flushing Temporarily Improves Microbiological Water Quality for Buildings Supplied with Chloraminated Surface Water but Has Little Effect for Groundwater Supplies. Sci. Technol. 57(13): 5453–5463. [CrossRef]
- King, D.N., M.J. Donohue, S.J. Vesper, E.N. Villegas, M.W. Ware, M.E. Vogel, E.F. Furlong, D.W. Kolpin, S.T. Glassmeyer, and S. Pfaller. 2016. Microbial pathogens in source and treated waters from drinking water treatment plants in the United States and implications for human health. Science of the Total Environment. 562: 987-995. [CrossRef]
- Kirmeyer, G.J., T.M. Thomure, R. Rahman, J.L. Marie, M.W. LeChevallier, J. Yang, D.M. Hughes, and O. Schneider. 2014. Effective Microbial Control Strategies for Main Breaks and Depressurization. Water Research Foundation, Denver, CO.
- Kirschner R.A., Jr., B.C. Parker , and J.O. Falkinham III. 1992. Epidemiology of Infection by Nontuberculous Mycobacteria: Mycobacterium avium, Mycobacterium intracellulare, and Mycobacterium scrofulaceum in Acid, Brown-Water Swamps of the Southeastern United States and Their Association with Environmental Variables. American Review of Respiratory Disease, 145(2 pt 1): 271-275.
- Knudson, G.B. 1985. Photoreactivation of UV-irradiated Legionella pneumophila and other Legionella species. Applied and Environmental Microbiology, 49(4): 975-980.
- Kool, J.L., J.C. Carpenter, and B.S. Fields. 1999. Effect of monochloramine disinfection of municipal drinking water on risk of nosocomial Legionnaires’ disease. The Lancet, 353: 272-277.
- Kuchta, J.M., S.J. States, A.M. McNamara, R.M. Wadowsky, and R.B. Yee. 1983. Susceptibility of Legionella pneumophila to chlorine in tap water. Applied and Environmental Microbiology, 46(5): 1134-1139.
- Kuczynski, D. 2016. Occurrence of pathogenic bacteria in surface water of an urban river in Argentina (Reconquista River, Buenos Aires), Int. J. of Aquatic Science, 7(1), pp. 30-38.
- Kundzewicz Z.W., and P. Döll, 2009. Will groundwater ease freshwater stress under climate change? Hydrological Sciences–Journal–des Sciences Hydrologiques, 54(4): 665-675.
- KWR. 2021. https://www.kwrwater.nl/actueel/vernieuwing-legionella-regelgeving-krijgt-basis-in-nieuwste-wetenschappelijke-inzichten/ Accessed March 2023.
- Kyaw, M.H., D.M. Kern, S. Zhou, O. Tunceli, H.S. Jafri, and J. Falloon. 2015. Healthcare utilization and costs associated with S. aureus and P. aeruginosa pneumonia in the intensive care unit: a retrospective observational cohort study in a US claims database. BMC Health Serv Res 15, 241. [CrossRef]
- LaBauve AE, Wargo MJ. Growth and laboratory maintenance of Pseudomonas aeruginosa. Curr Protoc Microbiol. 2012 May;Chapter 6:Unit 6E.1.. [CrossRef]
- Langlais, B., Perrine, D. 1986. Action of ozone on trophozoites and free amoeba cysts, whether pathogenic or not. Ozone Sci. Eng. 8, 187–198.
- Langlais, B.; Recknow, D.; Brink, D. R.1991. Ozone in Water Treatment: Applications and Engineering; Lewis Publishers: Chelsea, MI.
- Lau H.Y., G.B. Huffnagle, T.A. Moore. 2008. Host and microbiota factors that control Klebsiella pneumoniae mucosal colonization in mice. Microbes Infect. (12-13):1283-90. [CrossRef]
- Le Dantec, C., J. P. Duguet, A. Montiel, N. Dumoutier, S. Dubrou, and V. Vincent. 2002. Chlorine disinfection of atypical mycobacteria isolated from a water distribution system. Appl. Environ. Microbiol. 68(3): 1025–1032.
- LeChevallier, M.W. 1991. Biocides and the current status of biofouling control in water systems. In Proceedings of an International Workshop on Industrial Biofouling and Biocorrosion, pp. 113–132, Springer Verlag, New York.
- LeChevallier, M.W. 2004. Control, Treatment and Disinfection of Mycobacterium avium Complex in Drinking Water, pp. 143-168. In: S. Pedley, J. Bartram, G. Rees, A. Dufour, J. Cotruvo (eds.), Pathogenic Mycobacteria in Water. ISBN: 1843390590, World Health Organization. Geneva, Switzerland.
- LeChevallier, M.W. 2005. Microbial Water Quality Within the Distribution System. Pp. 83-104. In: M. J. MacPhee (ed.), Distribution System water Quality Challenges in the 21st Century: A Strategic Guide. American Water Works Association. Denver, CO.
- LeChevallier, M.W. 2014a. Conducting self-assessments under the revised Total Coliform Rule. JAWWA 106 (9): 90-102.
- LeChevallier, M.W. 2014b. Measurement of biostability and impacts on water treatment in the US. pp. 33-56. In, D. van der Kooij and P.WJJ. van der Wielen (eds.), Microbial Growth in Drinking Water Supplies. IWA Publishing, London.
- LeChevallier, M.W. 2019a. Monitoring distribution systems for Legionella pneumophila using Legiolert. AWWA Water Science. 2019:e1122. [CrossRef]
- LeChevallier, M.W. 2019b. Occurrence of culturable Legionella pneumophila in drinking water distribution systems. AWWA Wat Sci. 2019;e1139. [CrossRef]
- LeChevallier, M.W. 2020. Managing Legionella pneumophila in Water Systems. JAWWA. 112(2): 11-23. [CrossRef]
- LeChevallier, M.W. 2021. Guidance on Developing a Legionella pneumophila Monitoring Program for Utility Distribution Systems. Health Education and Public Health. 4(1): 369 -. [CrossRef]
- LeChevallier, M.W. and K. K. Au. 2004. Water Treatment and Pathogen Control. ISBN 92 4 156255 2, World Health Organization. Geneva, Switzerland.
- LeChevallier, M.W. and W. D. Norton. 1995. Occurrence of Giardia and Cryptosporidium in Raw and Finished Drinking Water. J. Amer. Water Works Assoc., 87(9): 54-68.
- LeChevallier, M.W., C. D. Lowry, and R. G. Lee. 1990. Disinfecting biofilms in a model distribution system. J. Amer. Water Works Assoc. 82(7): 87 99.
- LeChevallier, M.W., C. D. Norton, J. O. Falkinham, III, M. D. Williams, R. H. Taylor, and H. E. Cowan. 2001. Occurrence and Control of Mycobacterium avium Complex. AWWA Research Foundation and American Water Works Association. Denver, CO.
- LeChevallier, M.W., C.D. Cawthon, and R.G. Lee. 1988. Inactivation of biofilm bacteria. Applied and Environmental Microbiology, 54(10): 2492-2499.
- LeChevallier, M.W., J. Yang, M. Xu, D. Hughes and G. Kunkel. 2014. Pressure Management: Industry Practices and Monitoring Procedures . Water Research Foundation, Denver, CO.
- LeChevallier, M.W., M.Cl. Besner, M. Friedman, and V.L. Speight. 2011. Microbiological Quality Control in Distribution Systems. pp. 21-1 to 21-84. In: J.K. Edzwald (ed.), Water Quality & Treatment: A Handbook on Drinking Water (6 ed.). American Water Works Association and McGraw-Hill, Inc. Denver, Colo.
- LeChevallier, M.W., N. J. Welch, and D. B. Smith. 1996. Full Scale Studies of Factors Related to Coliform Regrowth in Drinking Water. Appl. Environ. Microbiol. 62(7): 2201-2211.
- LeChevallier, M.W., T.M Babcock, and R.G. Lee. 1987. Examination and characterization of distribution system biofilms. Appl. Environ. Microbiol. 53: 2714-2724.
- LeChevallier, M.W., T.M. Evans and R.J. Seidler. 1981. Effect of turbidity on chlorination efficiency and bacterial persistence in drinking water. Appl. Environ. Microbiol. 42: 159 167.
- LeChevallier, M.W., T.M. Evans, R.J. Seidler, O.P. Daily, B.B. Merrell, S.W. Joseph and D.M. Rollins. 1982. Aeromonas sobria in chlorinated drinking water supplies. Microbial Ecology 8: 325 333.
- LeChevallier, M.W., C.D. Lowry, R. G. Lee, and D. L. Gibbon. 1993. Examining the Relationship Between Iron Corrosion and the Disinfection of Biofilm Bacteria. J. Amer. Water Works Assoc., 85(7): 111-123.
- Lee, E.S., T.H. Yoon, M.Y. Lee, S.H. Han, J.O. Ka. 2010. Inactivation of environmental mycobacteria by free chlorine and UV. Water Research. 44(5): 1329-1334. [CrossRef]
- Lee, W.H., D.G. Wahman, P.L. Bishop, and J.G. Pressman. 2011. Free chlorine and monochloramine application to nitrifying biofilm: Comparison of biofilm penetration, activity and viability. Environmental Science and Technology, 45, 1412-1419.
- Lee, Y. 2013. An evaluation of microbial and chemical contamination sources related to the deterioration of tap water quality in the household water supply system. International journal of environmental research and public health, 10(9), 4143-4160. [CrossRef]
- Lin, Y.E., J.E. Stout, and V.L. Yu. 2011. Controlling Legionella in hospital drinking water: An evidence-based review of disinfection methods. Infection Control and Hospital Epidemiology, 32(2): 166-173.
- Ling, F., R. Whitaker, M.W. LeChevallier, W.T Liu. 2018. Drinking water microbiome assembly induced by water stagnation. ISME Journal. [CrossRef]
- Logan-Jackson, A.R., and J.B. Rose. 2022. Water Age Effects on the Occurrence and Concentration of Legionella Species in the Distribution System, Premise Plumbing, and the Cooling Towers. Microorganisms 10, no. 1: 81. [CrossRef]
- Loh, C.H., and R. Soni. 2020. Exposure to potting soils and compost material as potential sources of Legionella pneumophilia in Australia. Respiratory Medicine Case Reports, 31, 101156. [CrossRef]
- Loret, J.F., S. Robert, V. Thomas, A.J. Cooper, W.F. McCoy, and Y. Lévi. 2005. Comparison of disinfectants for biofilm, protozoa and Legionella control. IWA Journal of Water and Health, 3(4): 423-433.
- Lu, J., I. Struewing, S. Yelton, N. Ashbolt. 2015. Molecular survey of occurrence and quantity of Legionella spp., Mycobacterium spp., Pseudomonas aeruginosa and amoeba hosts in municipal drinking water storage tank sediments, Journal of Applied Microbiology, 119(1): 278–288. [CrossRef]
- Maciver, S.K., J.E. Piñero, and J. Lorenzo-Morales. 2020. Is Naegleria fowleri an emerging parasite?. Trends in parasitology 36(1): 19-28. [CrossRef]
- Mackay, S.J. 1988. Investigation of outgrowths of Klebsiella spp in distributed potable water. Water Air Soil Pollut 40, 327–343. [CrossRef]
- Mahlen, Steven D. 2011. Serratia infections: from military experiments to current practice. Clinical microbiology reviews 24(4): 755-791.
- Maki, G., S. McElmurry, P. Kilgore, N. Love, H. Misikir, M. Perri, and M. Zervos. 2019. Bacterial colonization of drinking water: implications for an aging US water infrastructure. International Journal of Infectious Diseases 79 (2019): 30-31. [CrossRef]
- Mary, P., C. Defives, & J. Hornez. 2000. Occurrence and Multiple Antibiotic Resistance Profiles of Non-fermentative Gram-Negative Microflora in Five Brands of Non-carbonated French Bottled Spring Water . Microb Ecol 39 , 322 –329. [CrossRef]
- Mayo, M., M. Kaesti, G. Harrington, A.C. Cheng, L. Ward, D. Karp, P. Jolly, D. Godoy, B.G. Spratt, B.J. Currie. 2011. Burkholderia pseudomallei in unchlorinated domestic bore water, Tropical Northern Australia. Emerg Infect Dis. 17(7):1283-5. [CrossRef]
- McCarthy, C. M. and J. O. Schaefer. 1974. Response of Mycobacterium avium to ultraviolet irradiation. Appl. Microbiol. 28(1): 151-153.
- Mena, K.D. & C.P. Gerba. 2009. Risk assessment of Pseudomonas aeruginosa in water. In: Reviews of Environmental Contamination and Toxicology (D. M. Whitacre, ed.). Springer, US, vol. 201, pp. 71–115.
- Miettinen, I. T., T. Vartiainen, and P. J. Martikainen. 1997. Phosphorus and Bacterial Growth in Drinking Water. Applied and Environmental Microbiology 63(8):3242–3245.
- Miltner, E.C., and L.E. Bermudez. 2000. Mycobacterium avium grown in Acanthamoeba castellanii is protected from the effects of antimicrobials." Antimicrobial agents and chemotherapy 447): 1990-1994. [CrossRef]
- Ministry of Health (2005) Guide technique: l’eau dans les établissements de santé. 2005:129. https://nosobase.chu-lyon.fr/Reglementation/2005/guide_eau_etabs.pdf (accessed on January 5, 2021).
- Miyamoto, M.; Yamaguchi, Y; Sastsu, M. Disinfectant effects of hot water, ultraviolet light, silver ions and chlorine on stains of Legionella and nontuberculous mycobacteria. Micrbios 2000, 101, 7-13.
- Moore, M. and S. Shelton. 2014. Updated Guidelines for the Control of Legionella in Western Pennsylvania. Allegheny County Health Department Pittsburgh Regional Health Initiative. https://www.rand.org/content/dam/rand/pubs/external publications/EP60000/EP66197/RAND_EP66197.pdf (accessed 4/2023).
- Moore, M.R., M. Pryor, B. Fields, C. Lucas, M. Phelan, and R.E. Besser. 2006. Introduction of monochloramine into a municipal water system: Impact on colonization of buildings by Legionella spp. Applied and Environmental Microbiology, 72: 378-383.
- Moreno, Y., S. Botella, J.K. Alonso, M.A. Ferrús, M. Hernández and J. Hernández. 2003. Specific detection of Arcobacter and Campylobacter strains in water and sewage by PCR and fluorescent in situ hybridization. Applied and Environmental Microbiology. 69, pp. 1181–1186.
- Muder, R. R., and L. Y. Victor. 2002. Infection due to Legionella species other than L. pneumophila. Clin. Infect. Dis. 35(8):990-998.
- Muraca, P., J.E. Stout, and V.L. Yu. 1987. Comparative assessment of chorine, heat, ozone and UV light for killing Legionella pneumophila within a model plumbing system. Applied and Environmental Microbiology, 53(2): 447-453.
- NASEM (National Academies of Sciences, Engineering, and Medicine). 2019. Management of Legionella in Water Systems. Washington, DC: The National Academies Press. [CrossRef]
- National Health and Medical Research Council (NHMRC). 2022. Australian Drinking Water Guidelines 6. Version 3.8. 6 National Water Quality Management Strategy. National Health and Medical Research Council, National Resource Management Ministerial Council, Commonwealth of Australia, Canberra. https://www.nhmrc.gov.au/about-us/publications/australian-drinking-water-guidelines.
- National Institute of Health (NIH). 2023. Klebsiella infection. https://rarediseases.info.nih.gov/diseases/10085/klebsiella-infection. (Accessed 4/2023).
- National Research Council. 2006. Drinking Water Distribution Systems: Assessing and Reducing Risks. National Academies Press, Washington, DC.
- Nichols, G., C. Lane, N. Asgari, N.Q. Verlander, A. Charlett. 2009. Rainfall and outbreaks of drinking water related disease in England and Wales. J Water Health. 7 (1): 1–8. [CrossRef]
- Nichols, G., T. Ford, J. Bartram, A. Dufor, F. Portaels. 2004. Introduction to Pathogenic Mycobacteria in Water. Pp. 1-14. In: S. Pedley, J. Bartram, G. Rees, A. Dufour, J. Cotruvo (eds.), Pathogenic Mycobacteria in Water. ISBN: 1843390590, World Health Organization. Geneva, Switzerland.
- Norton, C. D., and M. W. LeChevallier. 2000. A Pilot Study of Bacteriological Population Changes through Potable Treatment and Distribution. Appl. Environ. Microbiol. 66(1): 268-276.
- Norton, C. D., M. W. LeChevallier, and J. O. Falkinham, III. 2004. Survival of Mycobacterium avium in a Model Distribution System. Water Research, 38: 1457-1466.
- O’Keeffe, J. 2022. Climate change and opportunistic pathogens (OPs) in the built environment. Environmental Health Review, 65(3), 69-76. [CrossRef]
- O'Brien D.P., V.L. Krause, B.J. Currie. 2000. Nontuberculous mycobacterial disease in northern Australia: a case series and review of the literature. Clin Infect Dis. 31:958–68. [CrossRef]
- O'Connell, H.A., L.J. Rose, A. Shams, M. Bradley, M.J. Arduino, and E.W. Rice. 2009. Variability of Burkholderia pseudomallei strain sensitivities to chlorine disinfection. Applied and Environmental Microbiology 75(16): 5405-5409.
- Oguma, K., H. Katayama and S. Ohgaki. 2004. Photoreactivation of Legionella pneumophila after inactivation by low- or medium-pressure ultraviolet lamp. Water Research, 38(11): 2757-2763.
- Omoregie, E., A. Szczerba, J. Novak, I. Rubinstein, Y. Chuang, J. Wu, J. Wang, C. Kretz, S. Hughes, A. Capetanakis, S. Freud, J.L. Rakeman. 2022. Legionella monitoring in the New York City water distribution system 2017 to 2019. AWWA Water Science, e1272. [CrossRef]
- Opheim, D. Grochowski, J. and Smith, D. 1988. Isolation of coliforms from water main tubercles, N-6. Abst. Annual Meet. Amer. Soc. Microbiol. p. 245.
- Pachepsky, Y.A., R.A. Blaustein, G. Whelan, D.R. Shelton. 2014. Comparing temperature effects on Escherichia coli, Salmonella, and Enterococcus survival in surface waters. Letters in Applied Microbiology, 59( 3): 278–283. [CrossRef]
- PADEP. 2015. http://files.dep.state.pa.us/PublicParticipation/Advisory%20Committees/AdvCommPortalFiles/TAC/Proposed%20Disinfectant%20Residual%20Requirements%20Rule_TAC%20PPT_Pre-Draft.pdf. (Accessed 4/2023).
- PADEP. 2016. http://www.dep.pa.gov/Business/Water/BureauSafeDrinkingWater/DrinkingWaterMgmt/Regulations/Pages/Proposed-Disinfection-Requirements-Rule--.aspx. (Accessed 4/2023).
- Panditharatne, M. 2018. New Data: 2 Million Puerto Ricans Risk Water Contamination. https://www.nrdc.org/experts/mekela-panditharatne/over-2-million-puerto-ricans-risk-bacteria-water.
- Papapetropoulou, M., J. Iliopoulou, G. Rodopoulou, J. Detorakis, and O. Paniara. 1994. Occurrence and antibiotic-resistance of Pseudomonas species isolated from drinking water in southern Greece." Journal of chemotherapy 6(2): 111-116.
- Pelletier, P.A., E.M. Carney, and G.C. duMoulin. 1991. Comparative resistance of Mycobacterium avium complex and other nontuberculous mycobacteria to chloramine. AWWA Annual Conference, Water Qual. New Decade, p. 47-58. AWWA, Denver, CO.
- Peter, A., Routledge E (2018) Present-day monitoring underestimates the risk of exposure to pathogenic bacteria from cold water storage tanks. PLoS ONE 13(4): e0195635.
- Pfaller, S., D. King, J.H. Mistry, et al. 2022. Occurrence revisited: Mycobacterium avium and Mycobacterium intracellulare in potable water in the USA. Appl Microbiol Biotechnol 106, 2715–2727 (2022). [CrossRef]
- Podschun R, and U. Ullmann. 1998. Klebsiella spp. as nosocomial pathogens: epidemiology, taxonomy, typing methods, and pathogenicity factors. Clin Microbiol Rev. (4):589-603. [CrossRef]
- Powell, J.C., N.B. Hallam, J.R. West, C.F. Forster, J. Simms. 2000. Factors which control bulk chlorine decay rates. Water Research, 34(1): 117-126. [CrossRef]
- Pressman, J.G., W.H. Lee, P.L. Bishop, and D.G. Wahman. 2012. Effect of free ammonia concentration on monochloramine penetration within a nitrifying biofilm and its effect on activity, viability and recovery. Water Research, 46(3): 882-894.
- Primm TP, Lucero CA, Falkinham JO 3rd. 2004. Health impacts of environmental mycobacteria. Clin Microbiol Rev. (1): 98-106. [CrossRef]
- Prouzet-Mauléon V., L. Labadi, N. Bouges, A. Ménard, F. Mégraud. 2006. Arcobacter butzleri: underestimated enteropathogen. Emerg Infect Dis. 12(2):307-9. [CrossRef]
- Pryor M., S. Springthorpe, S. Riffard, T. Brooks, Y. Huo, G. Davis, S.A. Sattar. 2004. Investigation of opportunistic pathogens in municipal drinking water under different supply and treatment regimes. Water Sci Technol. 50 (1): 83–90. [CrossRef]
- Pumpuang, A., N. Chantratita, C. Wikraiphat, N. Saiprom, N.P.J. Day, S.J. Peacock, V. Wuthiekanun. 2011. Survival of Burkholderia pseudomallei in distilled water for 16 years, Transactions of The Royal Society of Tropical Medicine and Hygiene, 105(10): 598–600. [CrossRef]
- Qin, K., I. Struewing, J. Santo Domingo, D. Lytle, and J. Lu. 2017. Opportunistic Pathogens and Microbial Communities and Their Associations with Sediment Physical Parameters in Drinking Water Storage Tank Sediments Pathogens 6, no. 4: 54. [CrossRef]
- Qin, S., W. Xiao, C. Zhou, Q. Pu, X. Deng, L. Lan, H. Liang, X. Song & M. Wu. 2022. Pseudomonas aeruginosa: pathogenesis, virulence factors, antibiotic resistance, interaction with host, technology advances and emerging therapeutics. Sig Transduct Target Ther. 7, 199. [CrossRef]
- Ratnatunga C.N., V.P. Lutzky, A. Kupz, D.L. Doolan, D.W. Reid, M. Field, S.C. Bell, R.M. Thomson, J.J. Miles. 2020. The Rise of Non-Tuberculosis Mycobacterial Lung Disease. Frontiers in Immunology. 11 . [CrossRef]
- Revetta, R. P., V. Gomez-Alvarez, T. L. Gerke, C. Curioso, J. W. Santodomingo, AND Nicholas J. Ashbolt. 2013. Establishment and Early Succession of Bacterial Communities in Monochloramine-Treated Drinking Water Biofilms. FEMS Microbiology Ecology. Federation of European Microbiological Societies, Blackwell Publishing, , Uk, 86(3):404-414.
- Rice J., and P. Westerhoff. 2015. Spatial and Temporal Variation in De Facto Wastewater Reuse in Drinking Water Systems across the U.S.A. Environmental Science & Technology. 49(2): 982-989 . [CrossRef]
- Rice, E.W., M.R. Rodgers, I.V. Wesley, C.H Johnson, and S.A. Tanner. 1999. Isolation of Arcobacter butzleri from ground water. Letters in Applied Microbiology. 28, pp. 31–35.
- Rice, S.A., B. Van Den Akker, F. Pomati, and D. Roser. 2012. A risk assessment of Pseudomonas aeruginosa in swimming pools: A review. Journal of Water and Health 10(2): 181-196.
- Rittmann, B. E., and V. L. Snoeyink (1984). “Achieving Biologically Stable Drinking Water.” Journal AWWA 76(10):106–114. [CrossRef]
- Robinne, F-N, Hallema, DW, Bladon, KD, et al. 2021. Scientists' warning on extreme wildfire risks to water supply. Hydrological Processes. 35:e14086. [CrossRef]
- Rucinski, S. L., M. P. Murphy, K. D. Kies, S. A. Cunnignham, A. N. Schuetz, and R. Patel. 2018. Eight years of clinical Legionella PCR testing illustrate seasonal patterns. Clin. Infect. Dis. [CrossRef]
- Rusin P.A., J.B. Rose, C.N. Haas, C.P. Gerba. 1997. Risk assessment of opportunistic bacterial pathogens in drinking water. Rev Environ Contam Toxicol. 152:57-83. [CrossRef]
- Said M.S., E. Tirthani, E. Lesho. 2023. Stenotrophomonas maltophilia. [Updated 2023 Feb 1]. In: StatPearls [Internet]. Treasure Island (FL): StatPearls Publishing; 2023 Jan-. Available from: https://www.ncbi.nlm.nih.gov/books/NBK572123/. (Accessed 4/23)/.
- Sang, J., X. Zhang, and Z. Wang. 2003. Role of phosphorus on controlling bacterial regrowth in drinking water. In Proceedings of the Water Quality Technology Conference. Denver, CO: AWWA.
- Santos ALSD, Galdino ACM, Mello TP, Ramos LS, Branquinha MH, Bolognese AM, Columbano Neto J, Roudbary M. What are the advantages of living in a community? A microbial biofilm perspective! Mem Inst Oswaldo Cruz. 2018 Jul 26;113(9):e180212. [CrossRef]
- Schoen, M.E. and Ashbolt, N.J., 2011. An in-premise model for Legionella exposure during showering events. Water research, 45(18): 5826-5836. [CrossRef]
- Schulze-Robbecke, R., and K. Buchholtz. 1992. Heat susceptibility of aquatic mycobacteria. Appl. Environ. Microbiol. 58:1869–1873.
- Schwartz, T.; Hoffmann, S.; Obst, U. 2003. Formation of natural biofilms during chlorine dioxide and U.V. disinfection in a public drinking water distribution system. J. Appl. Microbiol, 95, 591-601.
- Schwering, M., J. Song, M. Louie, R.J. Turner, & H. Ceri. 2014. Multi-species biofilms defined from drinking water microorganisms provide increased protection against chlorine disinfection. Biofouling, 29, 917–928.
- Shin, G.A., J.K. Lee, R. Freeman, and G.A. Cangelosi. 2008. Inactivation of Mycobacterium avium complex by UV irradiation. Applied and environmental microbiology, 74(22), pp.7067-7069.
- Sisti, Albano, Brandi. 1998. Bactericidal effect of chlorine on motile Aeromonas spp. in drinking water supplies and influence of temperature on disinfection efficacy, Letters in Applied Microbiology, 26(5): 347–351. [CrossRef]
- Smeulders, M. J., J. Keer, R. A. Speight, and H. D. Williams. 1999. Adaptation of Mycobacterium smegmatis to stationary phase. J. Bacteriol. 181: 270–283.
- Smith S, J. Hanson, B.J. CurrieJ. 2018. Melioidosis: An Australian Perspective. Trop Med Infect Dis. 3(1):27. [CrossRef]
- Soda, E.A., A.E. Barskey, P.P. Shah, S. Schrag, C.G. Whitney, M.. Arduino, S.C. Reddy J.M. Kunz, C.M. Hunter, B.H. Raphael, L.A. Cooley. 2017. Vital signs: health care–associated Legionnaires’ disease surveillance data from 20 states and a large metropolitan area—United States, 2015. American Journal of Transplantation 17(8): 2215-2220. [CrossRef]
- Stahl, L.M., and J,B. Olson. 2021. Environmental abiotic and biotic factors affecting the distribution and abundance of Naegleria fowleri. FEMS Microbiology Ecology 97(1): fiaa238. [CrossRef]
- Stewart PS, McFeters GA, Huang CT. Biofilm control by antimicrobial agents. In: Bryers JD, editor. Biofilms. 2nd ed. New York: John Wiley & Sons; 2000. pp. 373–405.
- Strahl, E.D., G.E. Gillaspy, and J.O. Falkinham III. 2001. Fluorescent acid-fast microscopy for measuring phagocytosis of Mycobacterium avium, Mycobacterium intracellulare, and Mycobacterium scrofulaceum by Tetrahymena pyriformis and their intracellular growth. Applied and Environmental Microbiology 67(10): 4432-4439. [CrossRef]
- Sweeney, S. 2021. Increase Disinfectant Residual While Reducing Disinfection Byproducts. OpFlow. 47(9): . [CrossRef]
- Symons, J. M. 1978. Ozone, chlorine dioxide and chloramines as alternatives to chlorine for disinfection of drinking water. U.S. Environmental Protection Agency, Cincinnati, Ohio.
- Szczerba, A. 2019. American Water Works Association Water Quality Technology Conference & Exposition. Dallas, TX.
- Taylor, R. H., J. O. Falkinham, III, C. D. Norton, and M. W. LeChevallier. 2000. Chlorine Chloramine, Chlorine Dioxide, and Ozone Susceptibility of Mycobacterium avium. Appl. Environ. Microbiol. 66(4): 1702-1705.
- Thomas, J.M. and N.J. Ashbolt. 2011. Do free-living amoebae in treated drinking water systems present an emerging health risk?. Environmental science & technology, 45(3), pp.860-869.
- Thomson, R, E. Donnan , A. Konstantinos. Notification of nontuberculous mycobacteria: an Australian perspective. Ann Am Thorac Soc. (2017) 14:318–23. [CrossRef]
- Thomson, R.M., R. Carter, C. Tolson, C. Coulter, F. Huygens, M. Hargreaves. 2013a. Factors associated with the isolation of Nontuberculous mycobacteria (NTM) from a large municipal water system in Brisbane, Australia. BMC Microbiology. 13:89. [CrossRef]
- Thomson, R,C. Tolson, H. Sidjabat, F. Huygens, M. Hargreaves. 2013b. Mycobacterium abscessus isolated from municipal water - a potential source of human infection. BMC Infect Dis. (2013) 13:241. [CrossRef]
- Thomson, R,C. Tolson, R. Carter, C. Coulter, F. Huygens, M. Hargreaves. 2013c. Isolation of nontuberculous mycobacteria (NTM) from household water and shower aerosols in patients with pulmonary disease caused by NTM. J Clin Microbiol. 51:3006–11. [CrossRef]
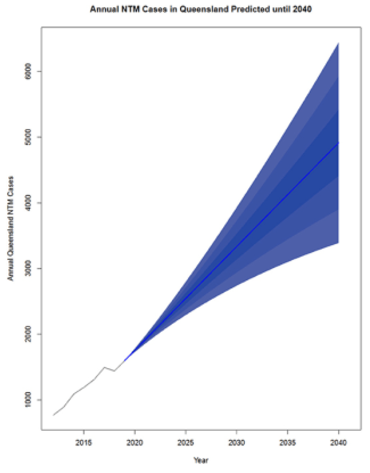
- Thomson, R.M., L. Furuya-Kanamori, C. Coffey, S. C. Bell, L.D. Knibbs, C.L. Lau. 2020. Influence of climate variables on the rising incidence of nontuberculous mycobacterial (NTM) infections in Queensland, Australia 2001–2016. Science of The Total Environment, 740, 139796. [CrossRef]
- Tolofari, D.L., T. Bartrand, C.N. Haas, M.S. Olson, and P.L. Gurian. 2022. Disability-Adjusted Life Year Frameworks for Comparing Health Impacts Associated with Mycobacterium avium, Trihalomethanes, and Haloacetic Acids in a Building Plumbing System. ACS ES&T Water, 2(9), pp.1521-1531. [CrossRef]
- Umezawa, K., S. Asai, T. Ohshima, H. Iwashita, M. Ohashi, M. Sasaki, A. Kaneko, S. Inokuchi, and H. Miyachi. 2015. Outbreak of drug-resistant Acinetobacter baumannii ST219 caused by oral care using tap water from contaminated hand hygiene sinks as a reservoir. American journal of infection control 43(11): 1249-1251. [CrossRef]
- USEPA. 1989. Drinking water; national primary drinking water regulations; filtration, disinfection; turbidity, Giardia lamblia, viruses, Legionella, and heterotrophic bacteria; final rule. Federal Register 54:27486--541.
- USEPA. 1994. Drinking water criteria document for chloramines. ECAO-CIN-D002.
- USEPA. 1998. Federal register notice. National primary drinking water regulations; disinfectants and disinfection byproducts; final rule. 63 FR 69390. (December 16, 1998). Available online at: http://www.gpo.gov/fdsys/pkg/FR-1998-12-16/pdf/98-32887.pdf.
- USEPA. 2003. Health Effects Support Document for Acanthamoeba. EPA-822-R-03-012. U.S. Environmental Protection Agency Office of Water, Health and Ecological Criteria Division. Washington, DC 20460. www.epa.gov/safewater/ccl/pdf/acanthamoeba.pdf.
- USEPA. 2006. Ultraviolet disinfection guidance manual for the final long term 2 enhanced surface water treatment rule. EPA 815-R-06-007.
- USEPA. 2009. Drinking Water Contaminant Candidate List (CCL) and Regulatory Determination. https://www.epa.gov/ccl.
- USEPA. 2016. Technologies for Legionella Control in Premise Plumbing Systems: Scientific Literature Review. Office of Water EPA 810-R-16-001, Washington, DC.
- USEPA. 2022. Contaminant Candidate List 5 - CCL 5. https://www.epa.gov/ccl/contaminant-candidate-list-5-ccl-5 (accessed 4/2023).
- USEPA. 2023. https://www.epa.gov/dwsixyearreview/public-engagements-potential-revisions-microbial-and-disinfection-byproducts-rules.
- Vaccaro, L., F. Izquierdo, A. Magnet, C. Hurtado, M. A. Salinas, T. Santos Gomes, S. Angulo, S. Salso, J. Pelaez, M. I. Tejeda, A. Alhambra, C. Gómez, A. Enríquez, E. Estirado, S. Fenoy, and C. del Aguila. 2016. First case of Legionnaire’s disease caused by Legionella anisa in Spain and the limitations on the diagnosis of Legionella non-pneumophila infections. PLoS ONE 11(9):e016293.
- van Bel, N., L.M. Hornstra, A. van der Veen, and G. Medema. 2019. Efficacy of Flushing and Chlorination in Removing Microorganisms from a Pilot Drinking Water Distribution System. Water 11(5): 903. [CrossRef]
- van Bel, N., P. van der Wielen, B. Wullings, J. van Rijn, E. van der Mark, H. Ketelaars, and W. Hijnen. 2021. Aeromonas species from nonchlorinated distribution systems and their competitive planktonic growth in drinking water." Applied and Environmental Microbiology 87(5): e02867-20. [CrossRef]
- van der Kooij, D. 1990. Assimilable organic carbon (AOC) in drinking water. In Drinking Water Microbiology (ed G.A. McFeters), pp. 57–87, Springer-Verlag, New York.
- van der Kooij, D. 1992. Assimilable organic carbon as an indicator of bacterial regrowth. J. Am. Water Works Assoc. 84, 57–65.
- van der Kooij, D., J. P. Oranje, and W. A. Hijnen. 1982. Growth of Pseudomonas aeruginosa in tap water in relation to utilization of substrates at concentrations of a few micrograms per liter." Applied and Environmental Microbiology 44(5): 1086-1095.
- van der Lugt, W., S.M. Euser, J.P. Bruin, J.W. den Boer, E.P.F. Yzerman. 2019. Wide-scale study of 206 buildings in the Netherlands from 2011 to 2015 to determine the effect of drinking water management plans on the presence of Legionella spp. Water Research, 161: 581-589. [CrossRef]
- van der Wielen, P.W., W. Wierenga, F. Oesterholt , A. Oostdijk, A. van der Werff. 2021. Rightly to a more effective Legionella prevention. A forward-looking review of regulations on Legionella prevention in tap water systems based on scientific and legal analysis. Berenschot Group B.V. Utrecht, the Netherlands. https://www.berenschot.nl/.
- van der Wielen, P.W.J.J., and D. van der Kooij. 2013. Nontuberculous mycobacteria, fungi, and opportunistic pathogens in unchlorinated drinking water in The Netherlands. Applied and environmental microbiology 79(3): 825-834.
- Volk, C.J., and M. W. LeChevallier. 2000. Assessing biodegradable organic matter. J. Amer. Water Works Assoc., 92(5): 64-76.
- Volk, C., E. Dundore, J. Schiermann, and M. LeChevallier. 2000a. Practical evaluation of iron corrosion control in a drinking water distribution system. Water Research 34(6): 1967-1974.
- Volk, C., K. Bell, E. Ibrahim, D. Verges, G. Amy, and M. LeChevallier. 2000b. Impact of Enhanced and Optimized Coagulation on Removal of Organic Matter and It’s Biodegradable Fraction in Drinking Water. Water Research 34(12): 3247-3257.
- Volk, C., Renner, C. and Joret, J.C. 1992. The measurement of BDOC: an index of bacterial regrowth potential in water. Rev. Sci. Eau 5(n special), 189–205.
- Volkow, P., F. Sánchez-Girón, l. Rojo-Gutiérrez, P. Cornejo-Juárez. 2013. Hospital-Acquired Waterborne Bloodstream Infection by Acinetobacter baumannii From Tap Water: A Case Report. Infectious Diseases in Clinical Practice 21(6):p 405-406. [CrossRef]
- von Baum, H., S. Ewig, R. Marre, N. Suttorp, S. Gonschior, T. Welte, and C. Lück. 2008. Community-acquired Legionella pneumonia: New insights from the German competence network for community acquired pneumonia. Clin. Infect. Dis. 46(9):1356-64.
- Vukić Lušić, D., N. Maestro, A. Cenov, D. Lušić, K. Smolčić, . Tolić, D. Maestro, D. Kapetanović, S. Marinac-Pupavac, D. Tomić Linšak, Ž. Linšak, and M. Glad. 2021. Occurrence of P. aeruginosa in Water Intended for Human Consumption and in Swimming Pool Water. Environments 8, no. 12: 132. [CrossRef]
- Walker, J.T.; Mackerness, C.W.; Mallon, D.; Makin, T.; Williets, T.; Keevil, C.W. 1995. Control of Legionella pneumophila in a hospital water system by chlorine dioxide. J. Ind. Microbiol. 1995, 15, 384-390.
- Wang, H., M. Edwards, J.O. Falkinham 3rd, A. Pruden. 2012. Molecular survey of the occurrence of Legionella spp, Mycobacterium spp, Pseudomonas aeruginosa, and amoeba hosts in two chloraminated drinking water distribution systems. App Environ Microbiol 78(17):6285–94. 10.1128/AEM.01492-12.
- Wang, Y., X. Zhang, S. Feng, Z. Niu, and C. Chen. 2009. Study on inactivation of iron bacteria isolated from real drinking water distribution systems by free chlorine and chloramine. Annals of microbiology 59: 353-358. [CrossRef]
- Water Services Association of Australia. 2017. Fact Sheet: Pseudomonas aeruginosa. https://www.wsaa.asn.au/sites/default/files/publication/download/Fact%20Sheet_Pseudomonas_Aug16.pdf. Accessed 4/23.
- Whiley, H., A. Keegan, H. Fallowfield, and R. Bentham. 2014. Detection of Legionella, L. pneumophila and Mycobacterium avium Complex (MAC) along Potable Water Distribution Pipelines. International Journal of Environmental Research and Public Health 11(7): 7393-7405. [CrossRef]
- Whiley, H., and R. Bentham. 2011. Legionella longbeachae and legionellosis. Emerging Infectious Diseases 17(4):579-583.
- Wickramanayake, G.B., Rubin, A.J., Sproul, O.J. 1984. Inactivation of Naegleria and Giardia cysts in water by ozonation. J. WPCF 56, 983–988.
- Wingender, J., & H.-C. Flemming. 2004. Contamination potential of drinking water distribution network biofilms. Water Science and Technology, 49(11–12), 277–286.
- World Health Organization (WHO). 2017. Guidelines for drinking-water quality (Fourth Edition), p. 250, Geneva, Switzerland.
- World Health Organization (WHO). 2022. https://www.who.int/news-room/fact-sheets/detail/legionellosis.
- Wullings, B.A., and D. van der Kooij. 2006. Occurrence and Genetic Diversity of Uncultured Legionella spp. in Drinking Water Treated at Temperatures below 15°C. Applied and Environmental Microbiology 72(1): 157 – 166. [CrossRef]
- Xu M., J. Yang, D.M. Hughes, and M.W. LeChevallier. 2014. Survey of pressure management in water distribution Systems. JAWWA 106 (11): e518 – 3524. [CrossRef]
- Yarlott, N., 2000. What's This Pink Stuff in My Bathroom?. Opflow, 26(11), pp.3-3.
- Yu, V. L., J. F. Plouffe, M. C. Pastoris, J. E. Stout, M. Schousboe, A. Widmer, J. Summersgill, T. File, C. M. Heath, D. L. Paterson, and A. Chereshsky. 2002. Distribution of Legionella species and serogroups isolated by culture in patients with sporadic community-acquired legionellosis: an international collaborative survey. J. Infect. Dis. 186:127-128.
- Zeidan, M. and A. Ostfeld. 2022. Using Hydraulic Transients for Biofilm Detachment in Water Distribution Systems: Approximated Model. Journal of Water Resources Planning and Management, 148(4): . [CrossRef]
- Zheng, Q., C. Chen, X.J. Zhang, P.P. Lu, Y.Y. Liu, Y.Q. Chen. 2013. Inactivation of Mycobacteria mucogenicum in drinking water: chlorine resistance and mechanism analysis. Huan Jing Ke Xue. 2013 Feb;34(2):576-82. Chinese. PMID: 23668125.
- Zhang, Y., N. Love, M. Edwards. 2009. Nitrification in Drinking Water Systems, Critical Reviews in Environmental Science and Technology, 39:3, 153-208. [CrossRef]


















| Number of Positive Criteria | Total Number of Events |
Coliform Positive Samples |
Number of Coliform Episodes | Frequency of Coliform Observation (%) |
|---|---|---|---|---|
| 0 | 160 | 3 | 3 | 1.9 |
| 1 | 292 | 18 | 15 | 5 |
| 2 | 191 | 24 | 16 | 8.4 |
| 3 | 62 | 26 | 10 | 16 |

| AOC Level | Disinfectant Type |
Disinfectant Residual (mg/L) | Copper Pipe 1 | Iron Pipe 1 | ||
| HPC | M. avium | HPC | M. avium | |||
| 85 μg/L AOC | Free chlorine | 0.6 | 1.76 | 0.18 | 6.02 | 5.85 |
| Chloramine | 2.2 | 2.44 | 2.38 | 5.21 | 4.92 | |
| 213 μg/L AOC | Free chlorine | 0.3 | 2.17 | 0.37 | 5.93 | 5.50* |
| Chloramine | 1.4 | 2.43 | 2.10 | 5.89 | 5.20* | |


| Organism | Temp (oC) | pH | CT99.9% |
|---|---|---|---|
| Acanthamoeba M3 | 30 | 8 | 12 |
| Acanthamoeba M3 (infected) | 30 | 8 | 5 |
| Acanthamoeba S2 | 30 | 8 | 37 |
| Acanthamoeba S2 (infected) | 30 | 8 | 39 |
| Acanthamoeba V1 | 30 | 8 | 70 |
| Acanthamoeba V1 (infected) | 30 | 8 | 82 |
| Acanthamoeba M3 | 50 | 8 | 5 |
| Acanthamoeba M3 (infected) | 50 | 8 | 5 |
| Acanthamoeba S2 | 50 | 8 | 5 |
| Acanthamoeba S2 (infected) | 50 | 8 | 5 |
| Acanthamoeba V1 | 50 | 8 | 28 |
| Acanthamoeba V1 (infected) | 50 | 8 | 28 |
| L. pneumophila | 30 | 8 | 4 |
| L. pneumophila (V1 co-culture) | 30 | 8 | 38 |
| L. pneumophila (S2 co-culture) | 30 | 8 | 44 |
| L. pneumophila (M3 co-culture) | 30 | 8 | 50 |
| L. pneumophila | 50 | 8 | 3 |
| L. pneumophila (V1 co-culture) | 50 | 8 | 3 |
| L. pneumophila (S2 co-culture) | 50 | 8 | 3 |
| L. pneumophila (M3 co-culture) | 50 | 8 | 3 |
| Organism | Temp (oC) | pH | CT 99.9% | Reference |
|---|---|---|---|---|
| Acanthamoeba M3 | 30 | 8 | 0.5 | Dupuy et al. (2011) |
| Acanthamoeba M3 (infected) | 30 | 8 | 0.5 | Dupuy et al. (2011) |
| Acanthamoeba S2 | 30 | 8 | 2.1* | Dupuy et al. (2011) |
| Acanthamoeba S2 (infected) | 30 | 8 | 5.5* | Dupuy et al. (2011) |
| Acanthamoeba V1 | 30 | 8 | 0.4* | Dupuy et al. (2011) |
| Acanthamoeba V1 (infected) | 30 | 8 | 3.5* | Dupuy et al. (2011) |
| Hartmanella vermiformis | 20 | 7.6-7.8 | 300* | Kutcha et al. 1993 |
| Legionella sp. | ND | ND | 0.08 | Campos et al. (2003) |
| Legionella pneumophila | 30 | 8 | 0.4 | Dupuy et al. (2011) |
| L. pneumophila (V1 co-culture) | 30 | 8 | 2.8 | Dupuy et al. (2011) |
| L. pneumophila (S2 co-culture) | 30 | 8 | 0.9** | Dupuy et al. (2011) |
| L. pneumophila (M3 co-culture) | 30 | 8 | 2.4 | Dupuy et al. (2011) |
| Organism | Temp (oC) | pH | CT 99.9% |
|---|---|---|---|
| Acanthamoeba M3 | 30 | 8 | 19 |
| Acanthamoeba M3 (infected) | 30 | 8 | 20 |
| Acanthamoeba S2 | 30 | 8 | 40* |
| Acanthamoeba S2 (infected) | 30 | 8 | 47* |
| Acanthamoeba V1 | 30 | 8 | 23 |
| Acanthamoeba V1 (infected) | 30 | 8 | 24 |
| Legionella pneumophila | 30 | 8 | 17 |
| L. pneumophila (V1 co-culture) | 30 | 8 | 23 |
| L. pneumophila (S2 co-culture) | 30 | 8 | 22 |
| L. pneumophila (M3 co-culture) | 30 | 8 | 19 |
| Organism | Temp (oC) | pH | CT 99% (mg min/L) | Reference |
|---|---|---|---|---|
| Naegleria gruberi (NEG) | 25 | 7 | 1.3 | Wickramanayake et al. (1984) |
| Naegleria gruberi (NEG) | 25 | 7 | <1.6 | Langlais and Perrine (1986) |
| Naegleria gruberi (1518/1d) | 25 | 7 | 1.6 | Langlais and Perrine (1986) |
| Naegleria gruberi (Echirolles) | 25 | 7 | <1.6 | Langlais and Perrine (1986) |
| Naegleria spp. (MO5; C110; An24) | 25 | 7 | <1.6 | Langlais and Perrine (1986) |
| Naegleria fowleri | 25 | 7 | <1.6 | Langlais and Perrine (1986) |
| Acanthamoeba polyphaga (1501/3a) | 25 | 7 | 2.5 | Langlais and Perrine (1986) |
| Acanthamoeba polyphaga | 20-22 | 7.5-8 | 5 | Loret et al. (2005) |
| Acanthamoeba culbertsoni (A1) | 25 | 7 | <1.6 | Langlais and Perrine (1986) |
| Acanthamoeba royreba (OR) | 25 | 7 | <1.6 | Langlais and Perrine (1986) |
| Acanthamoeba spp. (MR4) | 25 | 7 | 1.6 | Langlais and Perrine (1986) |
| Vermamoeba vermiformis | 25 | ND | <1.6 | Langlais and Perrine (1986) |
| Legionella pneumophila | 25 | ND | 60 | Muraca et al. (1987) |
| Legionella pneumophila | 43 | ND | 55 | Muraca et al. (1987) |
| Legionella pneumophila serogroup 1 | 25-45 | 7.2 | 0.5 | Domingue et al. (1988) |
| Legionella pneumophila serogroup 1 | 25 | 8 | 0.95 | Domingue et al. (1988) |
| Legionella pneumophila serogroup 1 | 25 | 8.9 | 0.65* | Domingue et al. (1988) |
| Organism | Fluency (mJ/cm2) for Respective Inactivation | Reference | |||
|---|---|---|---|---|---|
| 1 Log | 2 Logs | 3 Logs | 4 Logs | ||
| Acanthamoeba sp. | 40 | Hijnen et al. 2006 | |||
| A. castellani CCAP 1534/2 (Trophozoites) | 32.1 | 22.7 | Cervero-Aragó et al. (2014) | ||
| A. castellani CCAP 1534/2 (Cysts) | 45.4 | 90.9 | Cervero-Aragó et al. (2014) | ||
| Acanthamoeba sp. 155 (Trophozoites) | 27.6 | 65.7 | Cervero-Aragó et al. (2014) | ||
| Acanthamoeba sp. 155 (Cysts) | 34.2 | 99.2 | Cervero-Aragó et al. (2014) | ||
| V. vermiformis CCAP 1534/7A (Trophozoites) | 10.7 | 26 | Cervero-Aragó et al. (2014) | ||
| V. vermiformis CCAP 1534/7A (Cysts) | 16.8 | 53.8 | Cervero-Aragó et al. (2014) | ||
| V. vermiformis 195 (Trophozoites) | 10.1 | 24.2 | Cervero-Aragó et al. (2014) | ||
| V. vermiformis 195 (Cysts) | 31.5 | 76.2 | Cervero-Aragó et al. (2014) | ||
| Legionella pneumophila sg. 1 ATCC 33152 | 1.7 | 5.7 | Cervero-Aragó et al. (2014) | ||
| Legionella pneumophila sg. 1 enva | 1.7 | 5 | Cervero-Aragó et al. (2014) | ||
| Legionella pneumophila sg. 7 ATCC 33823 | 1.7 | 5 | Cervero-Aragó et al. (2014) | ||
| Legionella pneumophila sg. 8 enva. | 1.8 | 6.1 | Cervero-Aragó et al. (2014) | ||
| Legionella longbeachae ATCC 33462 | 1.4 | 6.3 | Cervero-Aragó et al. (2014) | ||
| Legionella pneumophila sg. 1 env | 4 | Cervero-Aragó et al. (2014) | |||
| Legionella pneumophila sg. 1 env with A. castellani CCAP 1534/2 | 6 | Cervero-Aragó et al. (2014) | |||
| Legionella pneumophila sg. 1 env with Acanthamoeba sp. 155 | 8 | Cervero-Aragó et al. (2014) | |||
| Legionella pneumophila (25oC and 43oC ) | 30 | Muraca et al. (1987) | |||
| L. pneumophila Strain | Lamp Type | 1-log | 2-log | 3-log | 4-log | |
|---|---|---|---|---|---|---|
| Philadelphia Type 2 | LP | 0.92 | 1.84 | 2.76 | No data | |
| Philadelphia 1 (no light repair) | LP | 0.5 | 1 | 1.6 | No data | |
| Philadelphia 1 (with light repair) | LP | 2.3 | 3.5 | 4.6 | No data | |
| Philadelphia 1 ATCC33152 | LP | 1.6 | 3.2 | 4.8 | 6.5 | |
| Philadelphia 1 ATCC33152 | MP | 1.9 | 3.8 | 5.8 | 7.7 |
| Disinfectant | Control | Mycobacterium avium Strain | ||||
| (Culture condition) | E. coli C | A5 | 1060 | 1508 | 5002 | 5502 |
| Chlorine (M7H9) | 0.088 ± 0.003 | 106 ± 9 | 204 ± 36 | 164 ± 28 | 126 ± 27 | 51 ± 10 |
| Chlorine (water) | ND | 1552 ± 403 | 1445 ± 238 | 596 ± 292 | 962 ± 431 | 551 ± 290 |
| Monochloramine | 73 ± 28 | 97 ± 9 | 458 ± 152 | 548 ± 62 | 1710 ± 814 | 91 ± 34 |
| Chlorine Dioxide | 0.015 ± 0.003 | NDb | 8 ± 3 | ND | 11 ± 2 | 2 ± 0.1 |
| Ozone | 0.002 ± 0.002 | ND | 0.17 ± 0.14 | ND | 0.12 ± 0.01 | 0.10 ± 0.01 |
| Disinfectant | Giardia cysts | Mycobacterium avium |
| Chlorine | 46 | 130 |
| Monochloramine | 700* | 580 |
| Chlorine Dioxide | 11 | 7 |
| Ozone | 0.48 | 0.13 |
| Temperature (°C) |
pH | Giardia cysts |
Mycobacterium fortuitum |
| 5 5 5 |
6.0 7.0 8.0 |
70 99 144 |
>320-1000 320-630 >320->1000 |
| 15 15 15 |
6.0 7.0 8.0 |
35 50 72 |
90-320 500->1000 >320-1000 |
| 25 25 25 |
6.0 7.0 8.0 |
17 25 36 |
50->320 130->320 130->320 |
| Organism | CT value (mg.min/L) |
Log Inactivation |
| M. fortuitum | 2 42 |
0.04 2.9 |
| M. chelonae | 2 10.5 21 42 |
0.03 2.5 4.75 2.8 |
| M. gordonae | 2 | 0.07 |
| M. scrofulaceum | 2 | 0.08 |
| Organism | Chloramine (mg/L) | Contact time (min) | CT value (mg.min/L) |
| M. avium 743 | 1.0 3.0 6.5 |
600 240 30 |
600 720 195 |
| M. avium 723 | 1.0 3.0 6.5 |
600 240 30 |
600 720 195 |
| M. intracellulare | 1.2 3.0 6.5 |
258 120 30 |
310 360 195 |
| M. chelonae | 1.6 3.0 6.5 |
48 36 6 |
76 108 39 |
| M. gordonae | 1.6 3.0 6.5 |
60 40 10 |
96 120 78 |
| M. kansasii | 1.2 3.0 6.5 |
60 10 9 |
72 30 58 |
| M. fortuitum | 1.5 3.0 6.5 |
36 24 2 |
54 72 19.5 |
| Strain | Log inactivation |
UV dose (mJ/cm2) |
Reference |
|
M. tuberculosis H37Rv M. tuberculosis Erdman M. tuberculosis |
1 1 1 |
5.7 2.4 2.8 |
David et al. 1971 Collins 1971 David 1973 |
|
M. avium DM9* M. avium-intracellulare T-931-72* M. avium-intracellulare T-931-72* M. avium subsp. hominissuis, MC02 M. avium subsp. hominissuis, MC02 |
2 2 1 1 4 |
7 14 8.4 6 20 |
McCarthy and Schaeffer 1974 David 1973 David 1973 Shin et al., 2008 Shin et al., 2008 |
| M. bovis BCG | 1 | 2.4 | Collins 1971 |
|
M. fortuitum strain 1 M. fortuitum strain 2 M. fortuitum strain 56 |
1 1 1 |
3.2 8.9 6.8 |
David et al. 1971 David et al. 1971 David 1973 |
| M. phlei strain 44 | 1 | 7.6 | David 1973 |
| M. kansasii (avg. of 6 strains)* | 1 | 13.3 | David 1973 |
|
M. marinum strain 1 M. marinum strain 1 |
1 1 |
17.8 17.0 |
David et al. 1971 David et al. 1971 |
| M. flavescens | 1 | 12.0 | David 1973 |
|
M. smegmatis M. smegmatis M. fortuitum |
1 1 3 |
24.3 10.8 50 |
David et al. 1971 David 1973 Lee et al., 2010 |
| Weeks Sampled |
Baseline, 42 μg/L | 85 μg/L AOC |
103 μg/L AOC |
213 μg/L AOC |
||||
| HPC | M. avium | HPC | M. avium | HPC | M. avium | HPC | M. avium | |
| 1 | 5.27 | 4.24 | 5.04 | 3.86 | 5.62 | 4.41 | 5.08 | 3.68 |
| 4 | 5.95 | 4.10 | 6.27 | 3.89 | 6.40 | 4.03 | 6.82 | 4.89 |
| 9 | 5.99 | 3.17 | 6.08 | 4.44 | 6.64 | 3.85 | 7.16 | 5.36 |
| 10 | 5.51 | 4.90 | 6.31 | 4.44 | 6.74 | 4.96 | 6.88 | 5.96 |
| 11 | 6.51 | 5.07 | 6.33 | 4.27 | 6.50 | 3.91 | 6.98 | 4.04 |
| Avg | 5.85 | 4.30 | 6.01 | 4.18 | 6.38 | 4.23 | 6.58 | 4.79 |
| Disinfectant | Suspended or Biofilm Cells | Experimental Scale | Disinfectant Dose | Contact Time (min) | Initial Cell Concentration (cfu/mL) | Log Reduction | Strain, Resistance or Recovery |
|---|---|---|---|---|---|---|---|
| Chlorine | Suspended | Laboratory | 0.5 mg/L Cl2/L | <1 | 106 | 4 | PAO1 |
| Laboratory | 0.5 mg/L Cl2/L | 30 | 8 x 10-1 | 0.6 | Env - river water | ||
| Laboratory | 0.1 - 0.6 mg/L Cl2/L | 5 | 106 | 0.4-4.3 | Env - water system biofilm | ||
| Biofilm | Laboratory | 0.5 mg/L Cl2/L | 30 | 106 | 1.7 | PAO1 - biofilm | |
| Laboratory | 5.8 mg/L Cl2/L | 60 | nd | 2 | Env | ||
| Monochloramine | Suspended | Laboratory | 2 mg/L Cl2/L | 30 | 106 | 5 | PAO1 |
| Biofilm | Laboratory | 4 mg/L Cl2/L | 60 | 3.8 x 1012 cfu/m2 | 4 | ERC1 - hydraulic system biofilm | |
| Chlorine Dioxide | Suspended | Laboratory | 0.5 mg/L Cl2/L | 30 | 107 | 5 | Env |
| Laboratory | 1.5 mg/L Cl2/L | 30 | 107 | 7 | Env | ||
| Biofilm | Laboratory | 1.5 mg/L Cl2/L | 30 | 107 | <1 | Env | |
| Silver ions | Suspended | Laboratory | 5 mg/L | 20 | 3 x 107 | 2 | PAO1 wild-type BAA-47; resistance over time |
| Laboratory | 0.08 mg/L | 720 | 3 x 106 | 6 | PAO1 - biofilm | ||
| Laboratory | 0.1 mg/L | 480 | 106 | 5.5 | Env | ||
| Biofilm | Laboratory | 5 mg/L | 20 | 6.3 x 107 | 1 | PAO1 wild-type BAA-47; resistance over time | |
| Laboratory | 10 mg/L | 30 | 106 | 0.06 | PAO1 - biofilm | ||
| Copper ions | Suspended | Laboratory | 0.6 mg/L | 600 | 106 | 6 | Env - plumbing biofilm, full recovery |
| Laboratory | 0.1 mg/L | 90 | 3 x 106 | 6 | Env | ||
| Laboratory | 2 mg/L | 300 | 106 | 6 | PAO1 wild type | ||
| Biofilm | Laboratory | 16 mg/L | 300 | 3 x 107 | 3.5 | PAO1 wild-type; resistance to copper observed | |
| Ozone | Suspended | Laboratory | 0.6 ppm | 6 | 106 | 1 | Env |
| 3.14 ppm | 2 | 106 | 4 | Env | |||
| Laboratory | 0.37 ppm | 0.5; 5 | OD600=1.75-2.0 | 1.07;1.4 | ATCC27853 | ||
| Thermal shock | Suspended | Hospital | 70oC | 30 | not applicable | Env strains - contamination at the tap eliminated after thermal treatment | |
| Hospital | 75oC | 60 | not applicable | ||||
| Biofilm | Laboratory | 65oC | 2 | 108 cfu/m2 | 5 | PAO1 | |
| Laboratory | 85oC | 1 | 4 x 104 cfu/m2 | 2-3 | ATCC9027 |
| Opportunistic Pathogen | Risk from Tap Water | Availability of Treatment | Guidelines for Control | |
|---|---|---|---|---|
| Legionella pneumophila | +++ | +++ | +++ | |
| Mycobacterium avium | ++ | + | + | |
| Pseudomonas aeruginosa | + | +++ | ++ | |
| Aeromonas hydrophila | + | +++ | + | |
| Klebsiella pneumoniae | + | +++ | + | |
| Serratia marcescens | + | +++ | + | |
| Burkholderia pseudomallei | + | +++ | + | |
| Acinetobacter baumannii | + | +++ | + | |
| Stenotrophomonas maltophilia | + | +++ | + | |
| Arcobacter butzleri | + | +++ | + | |
| Naegleria fowleri | ++ | +++ | ++ | |
| Acanthamoeba | + | +++ | + | |
| pportunistic Pathogen | Risk from Tap Water | Methods available | Availability of treatment | Guidelines for Control |
| Legionella pneumophila | +++ | +++ | +++ | +++ |
| Mycobacterium avium | ++ | + | + | + |
| Pseudomonas aeruginosa | + | +++ | +++ | ++ |
| Aeromonas hydrophila | + | +++ | +++ | + |
| Klebsiella pneumoniae | + | +++ | +++ | + |
| Serratia marcescens | + | ++ | +++ | + |
| Burkholderia pseudomallei | + | + | +++ | + |
| Acinetobacter baumannii | + | + | +++ | + |
| Stenotrophomonas maltophilia | + | + | +++ | + |
| Arcobacter butzleri | + | + | +++ | + |
| Naegleria fowleri | ++ | ++ | +++ | ++ |
| Acanthamoeba | + | + | +++ | + |
Disclaimer/Publisher’s Note: The statements, opinions and data contained in all publications are solely those of the individual author(s) and contributor(s) and not of MDPI and/or the editor(s). MDPI and/or the editor(s) disclaim responsibility for any injury to people or property resulting from any ideas, methods, instructions or products referred to in the content. |
© 2024 by the authors. Licensee MDPI, Basel, Switzerland. This article is an open access article distributed under the terms and conditions of the Creative Commons Attribution (CC BY) license (http://creativecommons.org/licenses/by/4.0/).