Submitted:
02 April 2024
Posted:
03 April 2024
You are already at the latest version
Abstract
Keywords:
1. Introduction
2. Materials and Methods
2.1. Study Area
2.2. Experimental Design
2.3. Growth and Competition
2.4. Wood Properties
2.4.1. Weighted Basic Apparent Density
2.4.2. Current Apparent Density
2.4.3. Bending Strength
2.4.4. Compression Strength Parallel to the Fibers
2.5. Statistical Analysis
3. Results
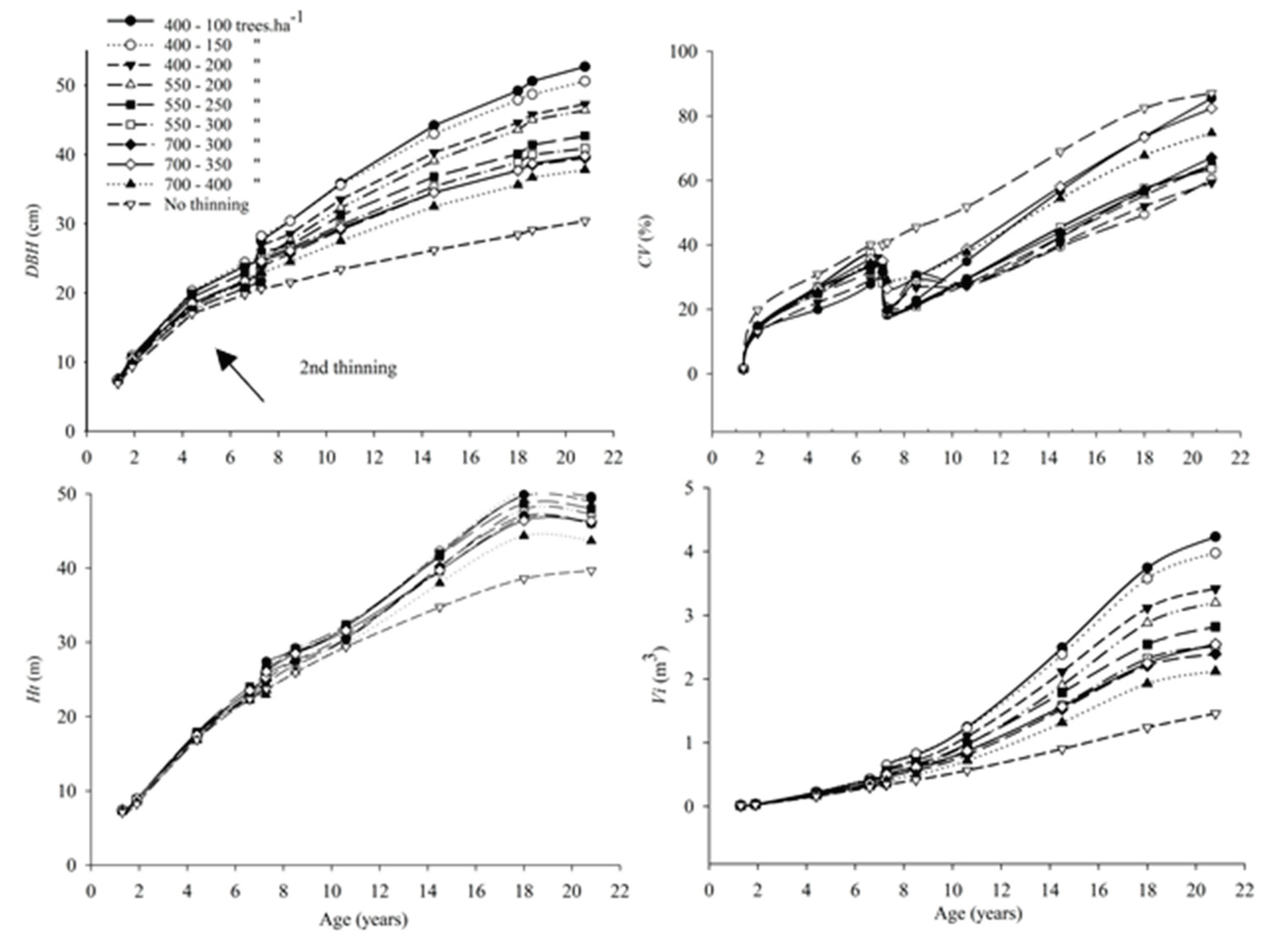
3.1. Individual Growth
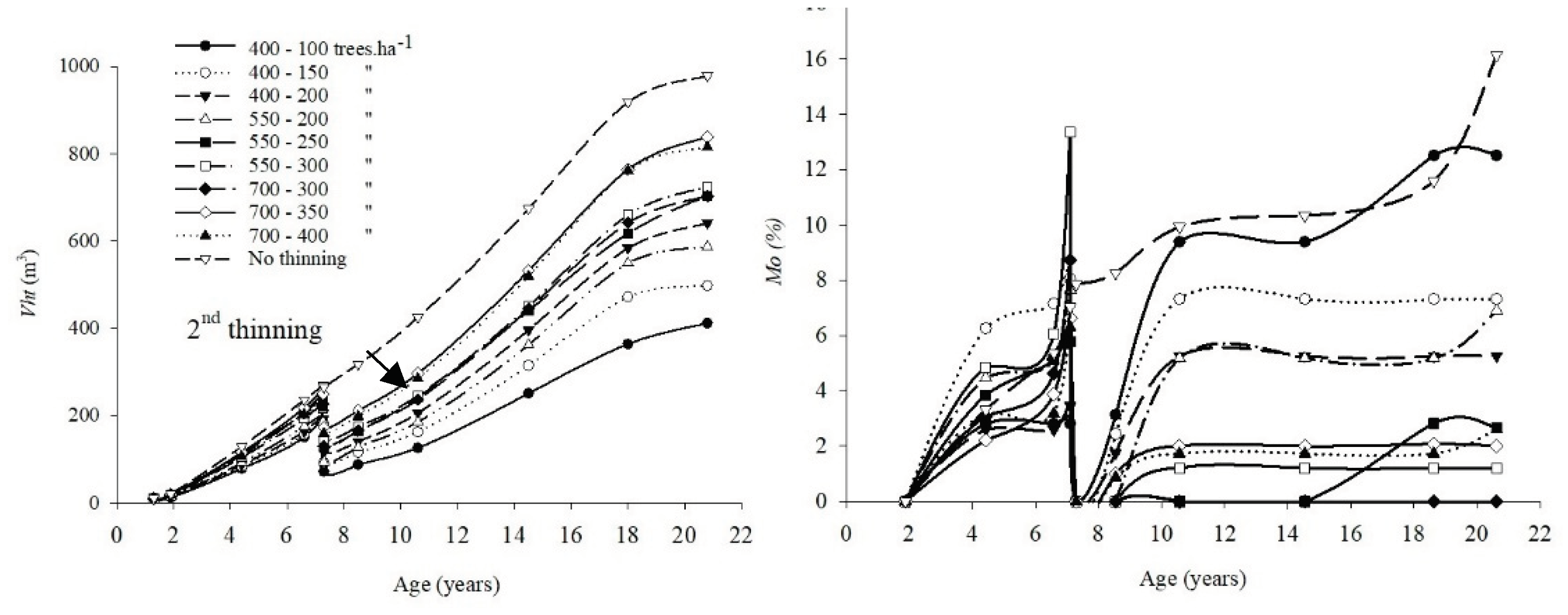
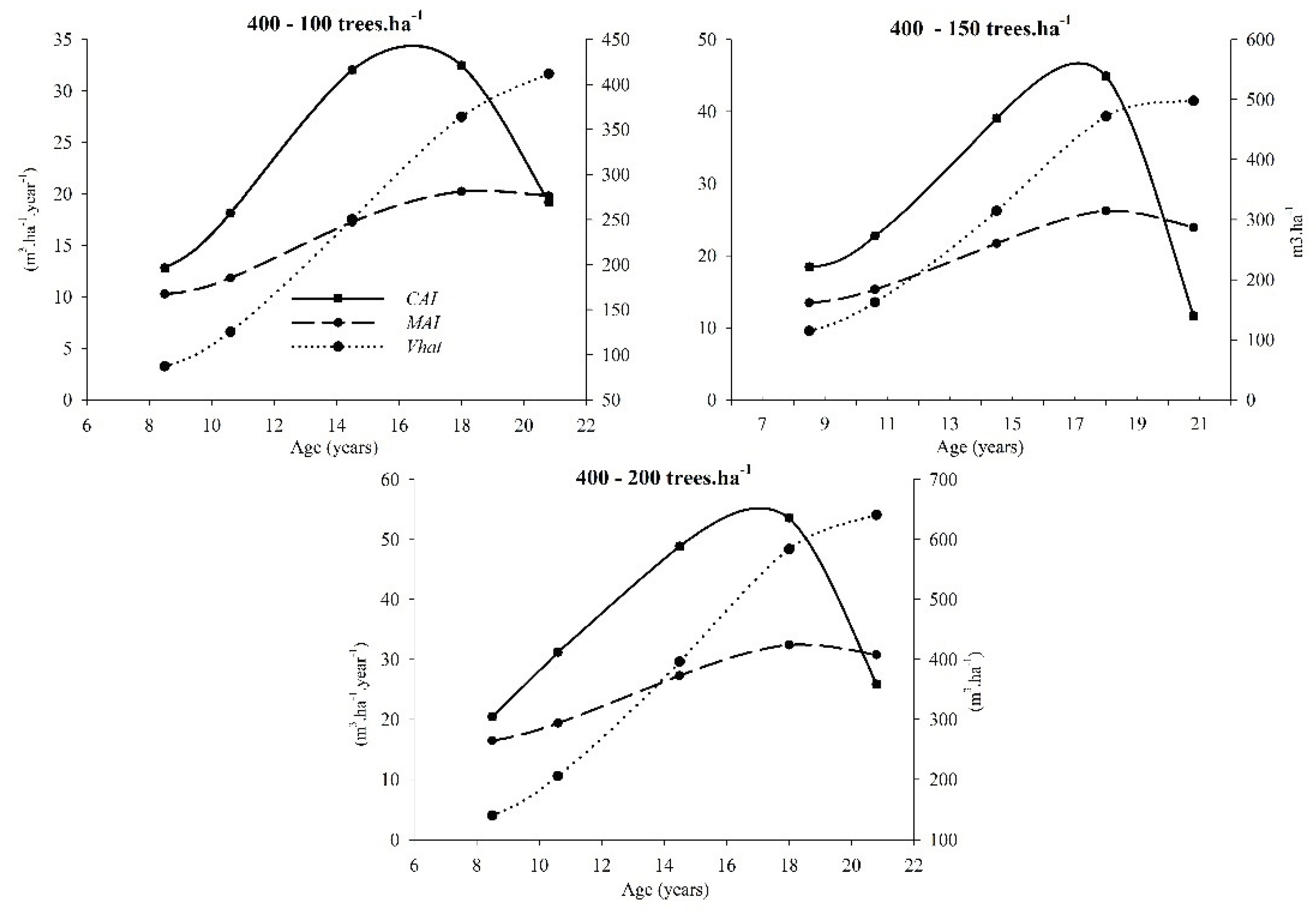
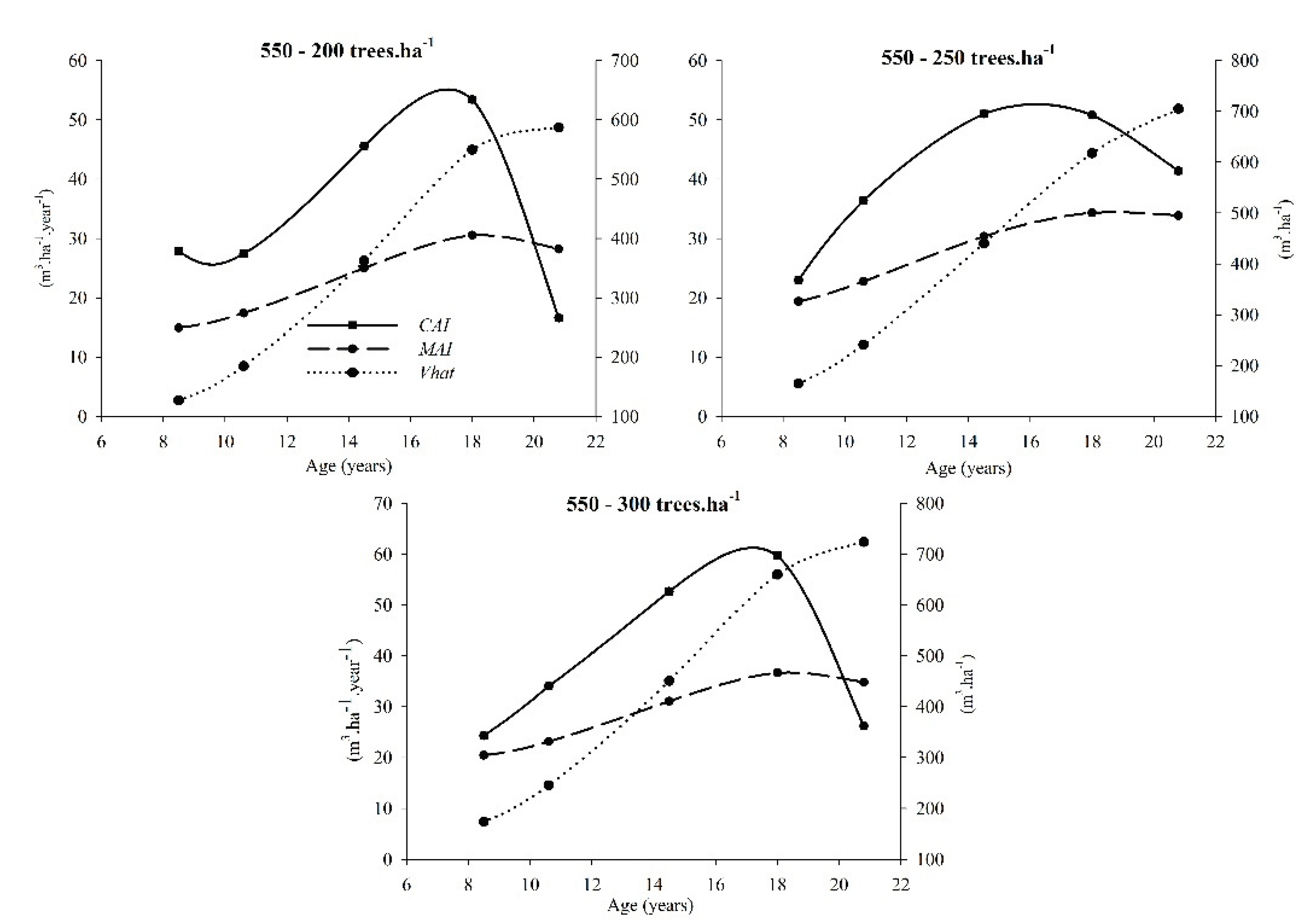
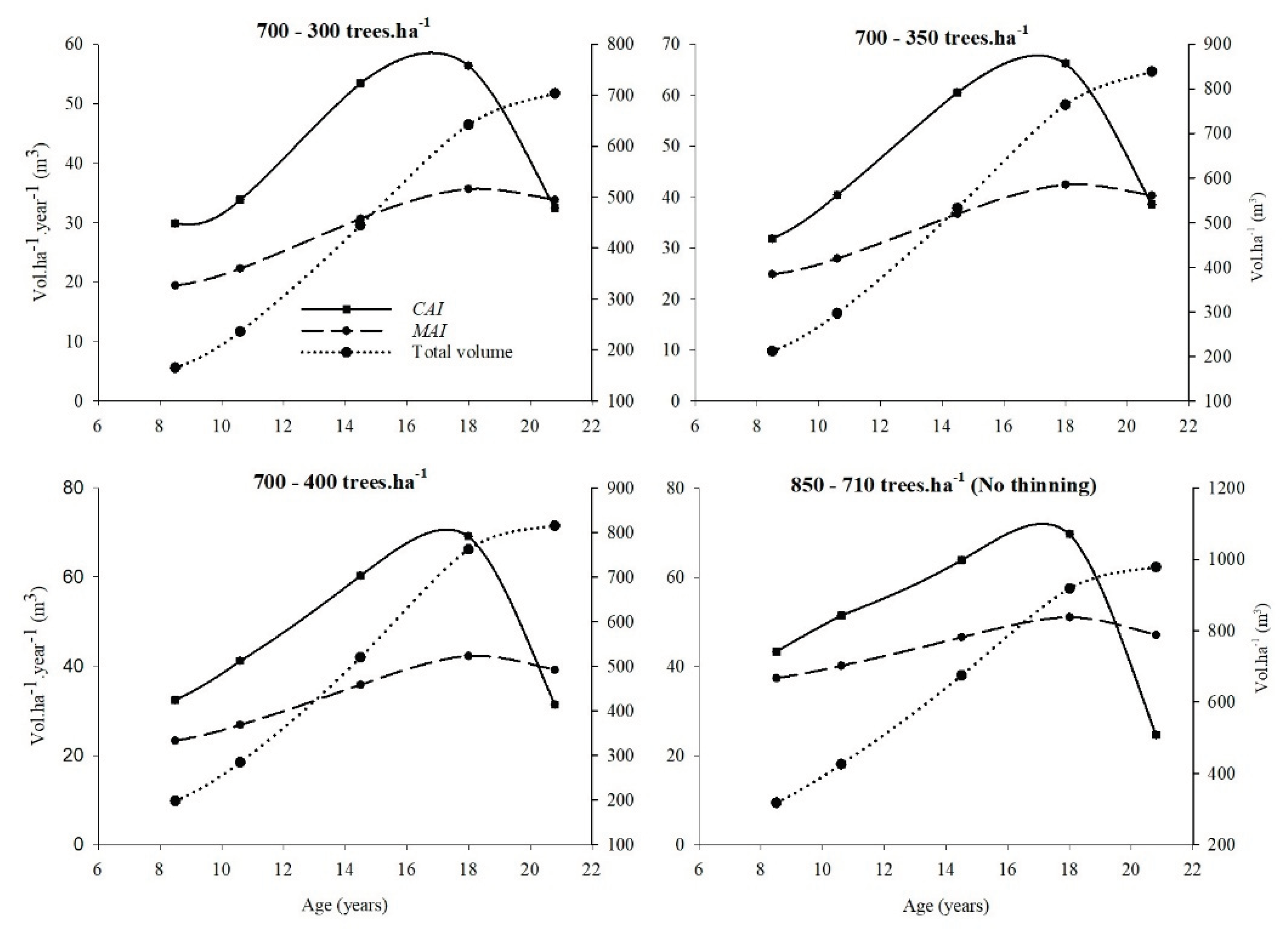
3.2. Productivity per Hectare and Competition Level




3.3. Wood Properties
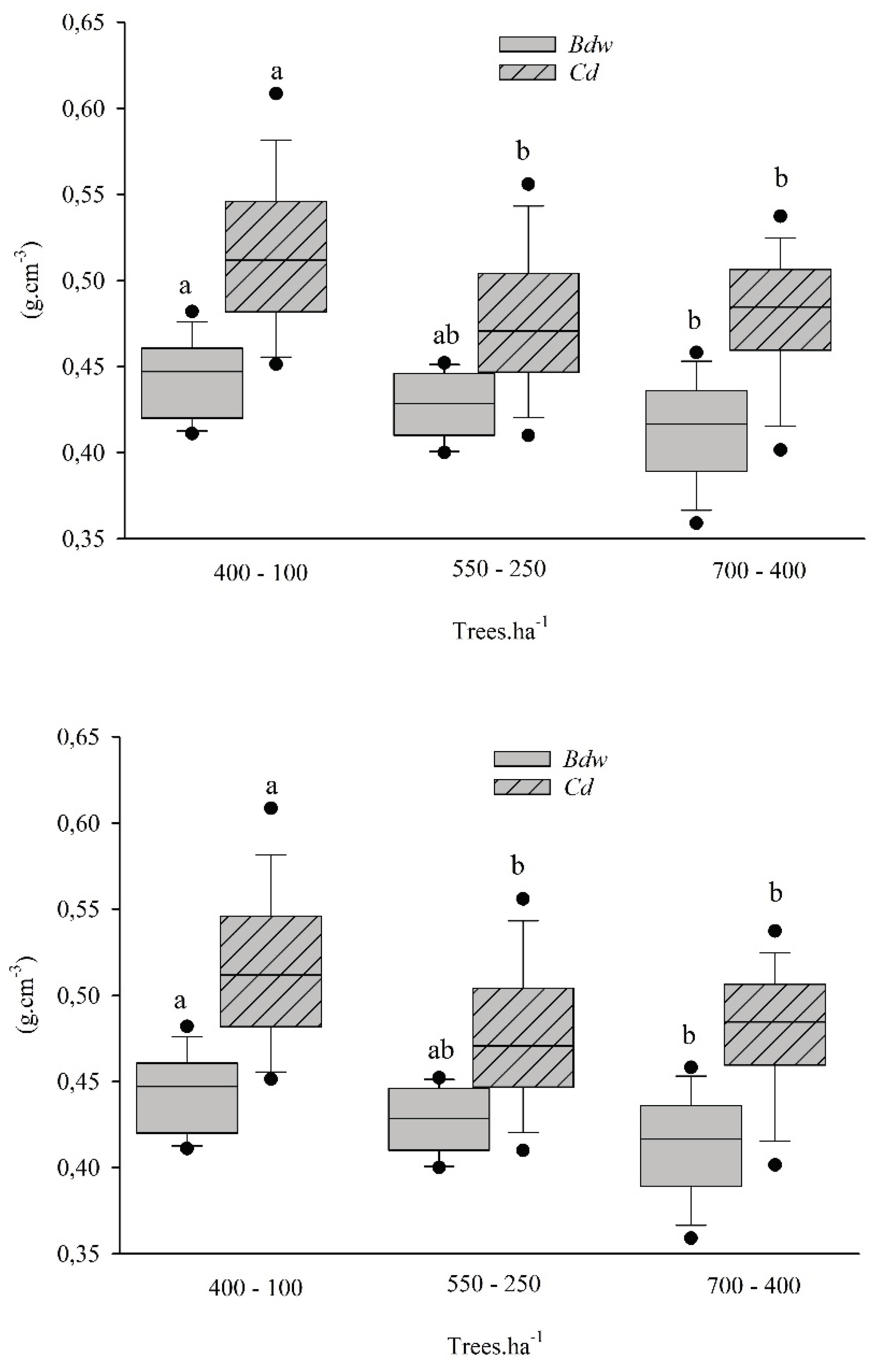
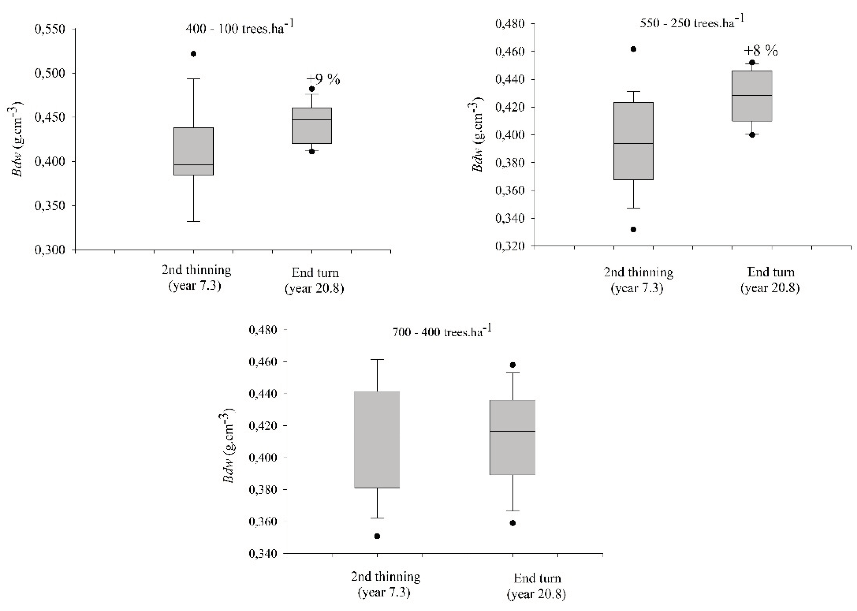
3.3.1. Basic Apparent Density and Current Apparent Density
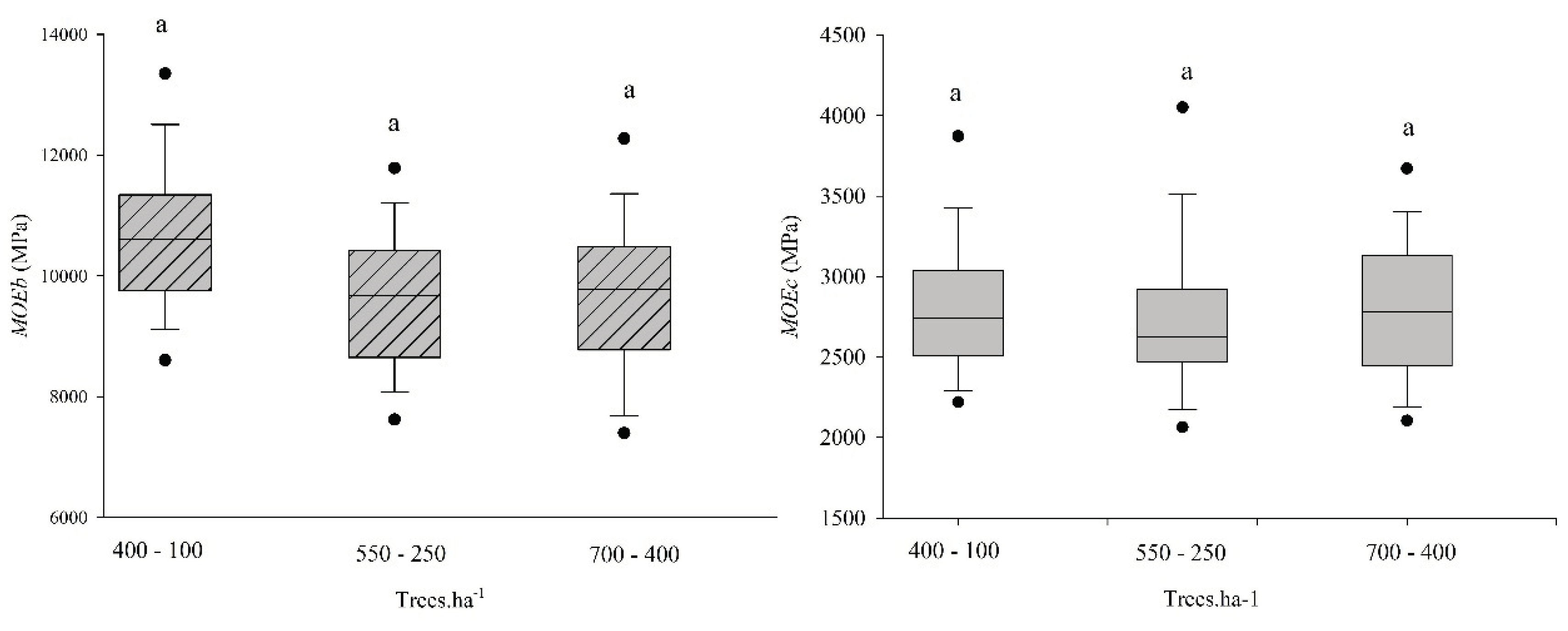
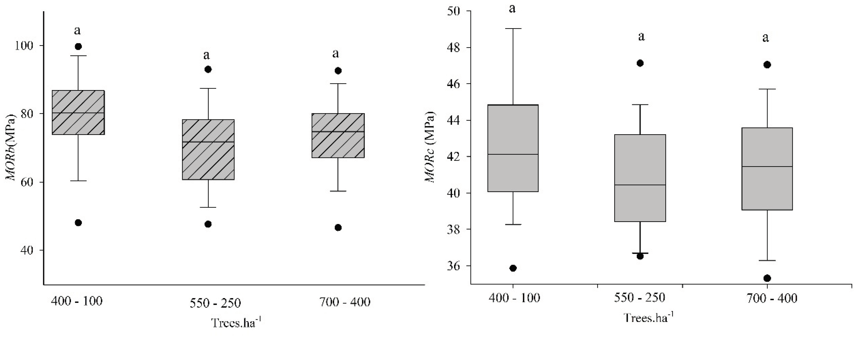
3.3.2. Mechanical Properties
3.4. Relationship between Density and Mechanical Properties
4. Discussion
4.1. Individual Growth
4.2. Productivity per Hectare
4.3. Wood Density
4.4. Mechanical Properties of Wood
4.5. Relationships between Wood Properties
5. Conclusions
Supplementary Materials
Author Contributions
Funding
Data Availability Statement
Acknowledgments
Conflicts of Interest
References
- SGS Qualifor, Informe de Certificación de Manejo Forestal. Resumen Público. Compañía Forestal Uruguaya (COFUSA). 2005.
- R. H.S. Barbosa, N.C. Fiedler, A.R. Mendonça, J.F. Chichorro, S.B. Gonçalves, E.G. Alves, F.A.Q. Kobiyama, Análise Técnica e Econômica do Desbaste em Um Povoamento de Eucalipto na Região Sul do Espírito Santo. Nativa. 2015, 3, 125–130. [Google Scholar] [CrossRef]
- J. L. Medhurst, C.L. Beadle, Crown structure and leaf area index development in thinned and unthinned Eucalyptus nitens plantations. Tree Physiol. 2001, 21, 989–999. [Google Scholar] [CrossRef]
- J. Medhurst, C. Beadle, Photosynthetic capacity and foliar nitrogen distribution in Eucalyptus nitens is altered by high-intensity thinning. Tree Physiol. 2005, 25, 981–991. [Google Scholar] [CrossRef]
- M.R. Jacobs, Growth Habits of the Eucalypts. Forestry and Timber Bureau, Canberra, 262 pp. (1955).
- M. Tomé, T. Verwijst, Modelling competition in short rotation forests. Biomass Bioenergy. 1996, 11, 177–187. [Google Scholar] [CrossRef]
- P. J. Alcorn, P. Pyttel, J. Bauhus, G. Smith, D. Thomas, R. James, A. Nicotra, Effects of initial planting density on branch development in 4-year-old plantation grown Eucalyptus pilularis and Eucalyptus cloeziana trees. For. Ecol. Manage. 2007, 252, 41–51. [Google Scholar] [CrossRef]
- M. A. Monte, M. das G.F. Reis, G.G. dos Reis, H.G. Leite, F.V. Cacau, F. de F. Alves, Growth of eucalypt clone submitted to pruning and thinning. Rev. Arvore. 2009, 33, 777–787. [Google Scholar] [CrossRef]
- P. R. Schneider, C.A.G. Finger, J.M. Hoppe, R. Drescher, L.W. Scheeren, G.L. Mainardi, F.D. Fleig, Produção de Eucalyptus grandis Hhill ex Maiden em diferentes intensidades de desbaste. Ciência Florest. 1998, 8, 129–140. [Google Scholar] [CrossRef]
- R. Trevisan, C.R. Haselein, É.J. Santini, P.R. Schneider, L.F. de Menezes, Efeito da intensidade de desbaste na qualidade da madeira serrada de Eucalyptus grandis. Floresta. 2009, 39, 825–831. [Google Scholar] [CrossRef]
- J. Medhurst, C. Beadle, W. Neilsen, Early-age and later-age thinning affects growth, dominance, and intraspecific competition in Eucalyptus nitens plantations. Can. J. For. Res. 2001, 31, 187–197. [Google Scholar] [CrossRef]
- M. G. Messina, Response of Eucalyptus regnans F. Muell. to thinning and urea fertilization in New Zealand. For. Ecol. Manage. 1992, 51, 269–283. [Google Scholar] [CrossRef]
- R. Smith, P. Brennan, First thinning in sub-tropical eucalypt plantations grown for high-value solid-wood products: A review. Aust. For. 2006, 69, 305–312. [Google Scholar] [CrossRef]
- D. I. Forrester, S.R. Elms, T.G. Baker, Tree growth-competition relationships in thinned Eucalyptus plantations vary with stand structure and site quality. Eur. J. For. Res. 2013, 132, 241–252. [Google Scholar] [CrossRef]
- D. I. Forrester, Growth responses to thinning, pruning and fertiliser application in Eucalyptus plantations: A review of their production ecology and interactions. For. Ecol. Manage. 2013, 310, 336–347. [Google Scholar] [CrossRef]
- J. V. da Silva, G.S. Nogueira, R.C. Santana, H.G. Leite, M.L.R. de Oliveira, R. de P. Almado, Produção e acúmulo de nutrientes em povoamento de eucalipto em consequência da intensidade do desbaste e da fertilização. Pesqui. Agropecuária Bras. 2012, 47, 1555–1562. [Google Scholar] [CrossRef]
- R. Trevisan, L. Denardi, C.R. Haselein, D.A. Gatto, Efeito do desbaste e variação longitudinal da massa específica básica da madeira de Eucalyptus grandis. Sci. For. Sci. 2012, 40, 393–399. [Google Scholar]
- D. I. Forrester, T.G. Baker, Growth responses to thinning and pruning in Eucalyptus globulus, Eucalyptus nitens, and Eucalyptus grandis plantations in southeastern Australia. Can. J. For. Res. 2012, 42, 75–87. [Google Scholar] [CrossRef]
- OPYPA - MGAP, Análisis sectorial y cadenas productivas. Temas de política. Estudios, 2016. http://www.mgap.gub.uy/portal/page.aspx?2,opypa,opypa-anuario-2015,O,es,0,.
- J. L. Medhurst, M. Battaglia, C.L. Beadle, Measured and predicted changes in tree and stand water use following high-intensity thinning of an 8-year-old Eucalyptus nitens plantation. Tree Physiol. 2002, 22, 775–784. [Google Scholar] [CrossRef]
- F. W. Smith, J.N. Long, Age-related decline in forest growth : an emergent property. For. Ecol. Manage. 2001, 144, 175–181. [Google Scholar] [CrossRef]
- Ferraz Filho, Management of Eucalyptus Plantation for solid wood production, Universidade Federal de Lavras, Mg, Brasil, 2013.
- L. W. Scheeren, P.R. Schneider, C.A.G. Finger, Crescimento e produção de povoamentos monoclonais de Eucalyptus saligna Smith manejados com desbaste, na região Sudeste do estado do Rio Grande do Sul. Ciência Florest. 2004, 14, 111–122. [Google Scholar] [CrossRef]
- L. Reineke, Perfecting a stand-density index for even- aged forests. J. Agric. Res. 1933, 46, 627–638. [Google Scholar]
- F. S. Malan, M. Hoon, Effect of initial spacing and thinning on some wood properties of Eucalyptus grandis. South African For. J. 1992, 163, 13–20. [Google Scholar] [CrossRef]
- A. P.G. Schönau, J. Coetzee, Initial spacing, stand density and thinning in eucalypt plantations. For. Ecol. Manage. 1989, 29, 245–266. [Google Scholar] [CrossRef]
- D. S. Thomas, K.D. Montagu, J.P. Conroy, Changes in wood density of Eucalyptus camaldulensis due to temperature — the physiological link between water viscosity and wood anatomy. For. Ecol. Manage. 2004, 193, 157–165. [Google Scholar] [CrossRef]
- J. Medhurst, G. Downes, M. Ottenschlaeger, C. Harwood, R. Evans, C. Beadle, Intra-specific competition and the radial development of wood density, microfibril angle and modulus of elasticity in plantation-grown Eucalyptus nitens. Trees. 2012, 26, 1771–1780. [Google Scholar] [CrossRef]
- G. Downes, D. Worledge, L. Schimleck, C. Harwood, J. French, C. Beadle, The effect of growth rate and irrigation on the basic density and kraft pulp yield of Eucalyptus globulus and E. nitens, New Zeal. J. For. 2006, 51, 13–22. [Google Scholar]
- M. F.V. Rocha, B.R. Vital, A.C.O. Carneiro, A.M.M.L. Carvalho, M.T. Cardoso, P.R.G. Hein, Effects of plant spacing on the physical, chemical and energy properties of Eucalyptus wood and bark. J. Trop. For. Sci. 2016, 28, 243–248. [Google Scholar]
- E.J. Paulino, Influência do espaçamento e da idade na produção de biomassa e na rotação econômica em plantios de Eucalipto, Universidade Federal Dos Vales Do Jequitinhonha e Mucuri - UFVJM, Diamantina, MG, Brasil, 2012.
- H. J. Eufrade Junior, R.X. de Melo, M.M.P. Sartori, S.P.S. Guerra, A.W. Ballarin, Sustainable use of eucalypt biomass grown on short rotation coppice for bioenergy. Biomass and Bioenergy. 2016, 90, 15–21. [Google Scholar] [CrossRef]
- I. L. de Lima, J.N. Garcia, Variação da densidade aparente e resistência à compressão paralela às fibras em função da intensidade de desbaste, adubação e posição radial em Eucalyptus grandis hill ex-maiden. Rev. Árvore. 2010, 34, 551–559. [Google Scholar] [CrossRef]
- H. O´Neill, F. H. O´Neill, F. Tarigo, J. Tarigo, G. García, Propiedades mecánicas de Eucalyptus grandis Maiden. del norte de Uruguay, 2005.
- J. Medhurst, C. Beadle, Sapwood hydraulic conductivity and leaf area - Sapwood area relationships following thinning of a Eucalyptus nitens plantation, Plant. Cell Environ. 2002, 25, 1011–1019. [Google Scholar] [CrossRef]
- R. L. Yao, K. Glencross, J.D. Nichols, Difference in shade tolerance affects foliage-sapwood response to thinning by two eucalypts. South. For. 2014, 76, 93–100. [Google Scholar] [CrossRef]
- A. P. Wilkins, Sapwood, heartwood and bark thickness of silviculturally treated Eucalyptus grandis. Wood Sci. Technol. 1991, 25, 415–423. [Google Scholar] [CrossRef]
- R. L. Dickson, C.A. Raymond, W. Joe, C.A. Wilkinson, Segregation of Eucalyptus dunnii logs using acoustics. For. Ecol. Manage. 2003, 179, 243–251. [Google Scholar] [CrossRef]
- P. R.G. Hein, J.T. Lima, Relationships between microfibril angle, modulus of elasticity and compressive strength in Eucalyptus wood. Maderas Cienc. y Tecnol. 2012, 14, 267–274. [Google Scholar] [CrossRef]
- J. L. Yang, R. Evans, Prediction of MOE of eucalypt wood from microfibril angle and density. Holz Als Roh - Und Werkst. 2003, 61, 449–452. [Google Scholar] [CrossRef]
- P. R.G. Hein, J.R.M. Silva, L. Brancheriau, Correlations among microfibril angle, density, modulus of elasticity, modulus of rupture and shrinkage in 6-year-old Eucalyptus urophylla × E. grandis. Maderas Cienc. y Tecnol. 2013, 15, 171–182. [Google Scholar] [CrossRef]
- J. R. Barnett, V.A. Bonham, Cellulose microfibril angle in the cell wall of wood fibres. Biol. Rev. Camb. Philos. Soc. 2004, 79, 461–472. [Google Scholar] [CrossRef]
- L. Donaldson, Microfibril angle: Measurement, variation and relationships - A review. IAWA J. 2008, 29, 345–386. [Google Scholar] [CrossRef]
- J. Lima, M. Breese, C. Cahalan, Variation in microfibril angle in Eucalyptus clones. Holzforschung. 2004, 58, 160–166. [Google Scholar] [CrossRef]
- R. Wimmer, G. Downes, R. Evans, Temporal variation of microfibril angle in Eucalyptus nitens grown in different irrigation regimes. Tree Physiol. 2002, 22, 817. [Google Scholar]
- MAP.CONEAT, Grupos de Suelos Decretados de Aptitud Forestal, (1979) 167.
- J. Castaño, A. J. Castaño, A. Giménez, M. Ceroni, J. Furest, R. Aunchayna, Caracterización agroclimática del uruguay 1980-2009, (2010) 40.
- C. C. Rachid, E.G. Mason, R. Woollons, F. Resquin, Volume and taper equations for P. taeda (L.) and E. grandis (Hill ex. Maiden). Agrociencia (Montevideo). 2014, 18, 47–60. [Google Scholar] [CrossRef]
- I.U. de N.T. UNIT 237:2008, Determinación de la densidad aparente en maderas, (2008) 12.
- M. dos Santos, Efeito do espaçamento de plantio na biomassa do fuste de um clone híbrido interespecífico de Eucalyptus grandis e Eucalyptus urophylla, Universidade Estadual Paulista “Júlio de Mesquita Filho” Faculdade de Ciências Agronômicas Campus de Botucatu, 2011.
- American Standard Testing Methods - ASTM D 143-94, Standard Methods of Testing Small Clear Specimens of Timber 1, (1994) 31.
- I.U. de N.T. UNIT 1137:2007, Método de ensayo para la determinación de los módulos de elasticidad y rotura en ensayo de flexión estática en maderas, (2007) 12.
- D. I. Forrester, J.L. Medhurst, M. Wood, C.L. Beadle, J.C. Valencia, Growth and physiological responses to silviculture for producing solid-wood products from Eucalyptus plantations: An Australian perspective. For. Ecol. Manage. 2010, 259, 1819–1835. [Google Scholar] [CrossRef]
- G. S. Nogueira, P.L. Marshall, H.G. Leite, J.C.C. Campos, Thinning Intensity and Pruning Impacts on eucalyptus Plantations in Brazil. Int. J. For. Res. 2015, 2015, 1–10. [Google Scholar] [CrossRef]
- A. C. Ferraz Filho, B. Mola-Yudego, J.R. González-Olabarria, J.R.S. Scolforo, Thinning regimes and initial spacing for Eucalyptus plantations in Brazil. An. Acad. Bras. Cienc. 2018, 90, 255–265. [Google Scholar] [CrossRef] [PubMed]
- D. Binkley, J. Stape, W. Bauerle, M. Ryan, Explaining growth of individual trees: Light interception and efficiency of light use by Eucalyptus at four sites in Brazil. For. Ecol. Manage. 2010, 259, 1704–1713. [Google Scholar] [CrossRef]
- W. Neilsen, A. Gerrand, Growth and branching habit of Eucalyptus nitens at different spacing and the effect on final crop selection. For. Ecol. Manage. 1999, 123, 217–229. [Google Scholar] [CrossRef]
- H. McKenzie, A. Hawke, Growth response of Eucalyptus regnans dominant trees to thinning in New Zealand, New Zeal. J. For. Sci. 1999, 29, 301–310. [Google Scholar]
- A. P.G. Schönau, The effect of planting espacement and pruning on growth, yield and timber density of Eucalyptus grandis. South African For. J. 1974, 88, 16–23. [Google Scholar] [CrossRef]
- E. A. Balloni, J.W. Simões, O espaçamento de plantio e suas implicações silviculturais, IPEF - Série Técnica. 1980, 1, 1–16.
- F. Patiño - Valera, Variação genética em progênies de Eucalyptus saligna, Smith e sua interação com o espaçamento, Escola Superior de Agricultura “Luiz de Queiroz”, da Universidade de São Paulo, 1986.
- R. Trevisan, Efeito do desbaste nos parâmetros dendrométricos e na qualidade da madeira de Eucalyptus grandis W. Hill ex Maiden, Universidade Federal de Santa Maria (UFSM-RS), 2010.
- G. S.L. Gomes, S.N. de O. Neto, H.G. Leite, M.L. da Silva, L.S. de S. Lopes, B.L. Said Schettini, Relationships between spacing, productivity and profitability of eucalypt plantations in a small rural property in south-eastern Brazil. South. For. 2022, 84, 206–214. [Google Scholar] [CrossRef]
- G. L. Fernandes, G.G. Casas, L.P. Fardin, G.S. Nogueira, R.V. Leite, L. Couto, H.G. Leite, Effects of Spacing on Early Growth Rate and Yield of Hybrid Eucalyptus Stands. Pertanika J. Trop. Agric. Sci. 2023, 46, 627–645. [Google Scholar] [CrossRef]
- F. Resquin, R.M. Navarro-Cerrillo, C. Rachid-Casnati, A. Hirigoyen, L. Carrasco-Letelier, J. Duque-Lazo, Allometry, Growth and Survival of Three Eucalyptus Species (Eucalyptus benthamii Maiden and Cambage, E. dunnii Maiden and E. grandis Hill ex Maiden) in High-Density Plantations in Uruguay. Forests. 2018, 9, 1–22. [Google Scholar] [CrossRef]
- F. Larocca, F. Dalla Tea, J.L. Aparicio, Técnicas de implantación y manejo de Eucalyptus grandis para pequeños y medianos forestadores en entre ríos y corrientes. XIX Jornadas For. Entre Ríos. VII 2004, 1–16.
- F. Caniza, C. Mastandrea, S. Alberti, J. Aparicio, L. Ingaramo, Efecto Del Raleo En La Densidad Basica de la madera de Eucalyptus grandis, in: XXIII JORNADAS For. ENTRE RIOS Concordia, 2008: p. 11.
- R. Berger, Crescimento e qualidade da madeira de um clone de Eucalyptus saligna Smith sob o efeito do espaçamento e da fertilização, Uiniversidade Federal de Santa Maria, 2000.
- E. Navarrete, X. Figueroa, P. Novoa, M. Espinosa, Efecto del manejo silvícola y clase de copa sobre la densidad básica de Eucalyptus nitens. Floresta. 2009, 39, 345–354. [Google Scholar] [CrossRef]
- M. Rezende, J. Saglietti, R. Chaves, Variação da massa específica da madeira de Eucalyptus grandis aos 8 anos de idade em função de diferentes níveis de produtividade. Sci. For. 1998, 53, 71–78. [Google Scholar]
- J. T. da S. Oliveira, J. de C. Silva, Variação Radial Da Retratibilidade E Densidade Básica Da madeira de Eucalyptus saligna Sm. Rev. Árvore. 2003, 27, 381–385. [Google Scholar] [CrossRef]
- P. Schneider, Introdução ao manejo florestal, Santa María, RS, Brasil, 1993.
- Miranda, J. Gominho, H. Pereira, Variation of heartwood and sapwood in 18-year-old Eucalyptus globulus trees grown with different spacings. Trees. 2009, 23, 367–372. [Google Scholar] [CrossRef]
- R. Washusen, R. Evans, S. Southerton, A study of eucalyptus grandis and Eucalyptus globulus branch wood microstructure. IAWA. 2005, 26, 203–210. [Google Scholar] [CrossRef]
- G. Cueto, H. O´Neill, C. Rachid, S. Ohta, F. Resquin, Influencia del raleo sobre el módulo de elasticidad y ruptura en Eucalyptus grandis. Agrociencia. 2013, 17, 91–97. [Google Scholar] [CrossRef]
- Lima, J. Garcia, Influência do desbaste em propriedades físicas e mecânicas da madeira de Eucalyptus grandis Hill ex-Maiden. Rev. Inst. Flor. 2005, 17, 151–160. [Google Scholar] [CrossRef]
- H. O´Neill, F. Tarigo, P. Iraola, Propiedades Mecánicas de Eucalyptus grandis H. del norte de Uruguay, 2004.
- H. O´Neill, F. Tarigo, P. Cardenas, C. Olivera, J. Tarigo, G. García, Propiedades mecánicas de Eucalyptus grandis maiden del centro del Uruguay, 2006.
- UNIT - Instituto Uruguayo de Normas Técnicas, Madera aserrada de uso estructural - Clasificación visual - Madera de eucalipto (Eucalyptus grandis). 2018, 1262, 1–28. https://ci.nii.ac.jp/naid/130004619145/.
- ABNT - Associação Brasileira de Normas Técnicas, NBR 7190 Projeto de estruturas de madeira, (1997) 2–107.
- L. Scanavaca Junior, J. Garcia, Determinação das propriedades físicas e mecânicas da madeira de Eucalyptus urophylla. Determination of the physical and mechanical properties of the wood of Eucalyptus urophylla. Sci. For. 2004, 65, 120–129. [Google Scholar]








| First thinning (1.5 years) |
Second thinning (7.3 years) |
Rotation age (20.8 years) |
||
|---|---|---|---|---|
| Prescribed | Effective | Prescribed | Effective | Observed |
| 400 | 372 | 100 | 111 | 97 |
| 400 | 389 | 150 | 142 | 132 |
| 400 | 403 | 200 | 198 | 188 |
| 550 | 545 | 200 | 188 | 188 |
| 550 | 542 | 250 | 250 | 250 |
| 550 | 573 | 300 | 292 | 292 |
| 700 | 677 | 300 | 299 | 299 |
| 700 | 628 | 350 | 347 | 340 |
| 700 | 667 | 400 | 403 | 396 |
| No thinning |
840 | No thinning |
774 | 708 |
| Thinning regimes (remaining trees.ha -1) |
DBH (cm) |
Ht (m) |
Vi (m3) |
|---|---|---|---|
| 400-100 | 52.7 (0.3) a | 49.6 (0.6) ab | 4.2 (0.12) a |
| 400-150 | 50.7 (0.7) ab | 50.4 (0.1) a | 4.0 (0.14) ab |
| 400-200 | 47.2 (0.4) b | 48.9 (0.2) ab | 3.4 (0.03) b |
| 550-200 | 46.4 (1.5) bc | 47.2 (0.4) b | 3.2 (0.18) bc |
| 550-250 | 42.7 (0.2) c | 48.0 (1.0) b | 2.8 (0.08) c |
| 550-300 | 40.9 (0.5) cd | 46 (0.5) bc | 2.6 (0.04) cd |
| 700-300 | 39.5 (0.7) cd | 46.1 (0.4) bc | 2.4 (0.12) cd |
| 700-350 | 39.8 (1.0) cd | 46.3 (1.1) bc | 2.5 (0.14) cd |
| 700-400 | 37.8 (0.5) d | 43.7 (1.0) c | 2.1 (0.08) d |
| No thinning | 30.4 (0.7) e | 39.6 (0.8) c | 1.5 (0.05) e |
| Thinning regimes (trees.ha-1) |
2nd Thinning (7.3 years) |
Rotation lenght (20.8 years) |
Total |
|---|---|---|---|
| -------------------(m3 .ha-1)---------------------- | |||
| 400-100 | 113 (2.1) a | 412 (35.3)d | 525 (33.6)d |
| 400-150 | 88 (3.2)b | 498 (35.8) cd | 586 (38.4) cd |
| 400-200 | 75 (3.3) bc | 641 (23.4)c | 716 (26.6)c |
| 550-200 | 97 (4.4) ab | 587 (30.3)c | 684 (34.7)c |
| 550-250 | 103 (5.6) ab | 704 (19.7) bc | 807 (19.9)b |
| 550-300 | 71 (5.9) bc | 724 (15.2) bc | 795 (9.6)b |
| 700-300 | 109 (13.6) ab | 703 (24.3) bc | 812 (19.9)b |
| 700-350 | 77 (8.5) bc | 839 (41.4) ab | 916 (34.7) a |
| 700-400 | 60(5.9)c | 815 (19.7)b | 875 (18.2) ab |
| No thinning | - | 978 (24.0) a | 978 (24.0) a |
| Age (years) | ||||||||||||
|---|---|---|---|---|---|---|---|---|---|---|---|---|
| Thinning regimes (trees.ha-1) | 1.3b | 1.3a | 1.9 | 4.4 | 6.6 | 7.1b | 7.3a | 8.5 | 10.6 | 14.5 | 18 | 20.8 |
| 400-100 | 10 | 9 | 8 | 21 | 28 | 29 | 11 | 12 | 15 | 21 | 24 | 27 |
| 400-150 | 9 | 9 | 8 | 21 | 29 | 30 | 14 | 16 | 19 | 26 | 31 | 34 |
| 400-200 | 9 | 9 | 9 | 23 | 30 | 32 | 18 | 20 | 25 | 33 | 39 | 43 |
| 550-200 | 9 | 9 | 11 | 26 | 34 | 35 | 16 | 19 | 24 | 32 | 38 | 42 |
| 550-250 | 9 | 9 | 11 | 29 | 37 | 39 | 21 | 23 | 29 | 38 | 43 | 48 |
| 550-300 | 10 | 9 | 12 | 28 | 36 | 37 | 23 | 26 | 31 | 41 | 48 | 53 |
| 700-300 | 9 | 9 | 13 | 31 | 40 | 41 | 22 | 25 | 31 | 40 | 47 | 51 |
| 700-350 | 9 | 9 | 13 | 31 | 40 | 42 | 28 | 30 | 36 | 48 | 55 | 61 |
| 700-400 | 0 | 0 | 0 | 30 | 40 | 41 | 29 | 32 | 38 | 50 | 59 | 64 |
| No thinning | 9 | 9 | 15 | 37 | 46 | 48 | 48 | 51 | 58 | 70 | 80 | 84 |
| Thinning regimes (trees.ha-1) |
2nd Thinning (7.3 years) |
Rotation lenght (20.8 years) |
Total | ||||||
|---|---|---|---|---|---|---|---|---|---|
| Sawmill | pulp | Total | Sawmill | pulp | Total | Sawmill | pulp | Total | |
| --------------------------------------------(m3.ha-1 )--------------------------------------- | |||||||||
| 400-100 | - | 110 | 110 | 310 (88%) |
43 (12%) | 353 | 310 (67%) |
153 (33%) | 463 |
| 400-150 | - | 87 | 87 | 368 (86%) |
59 (14%) | 427 | 368 (72%) |
146 (28%) |
513 |
| 400-200 | - | 72 | 72 | 436 (83%) |
91 (17%) |
527 | 436 (73%) |
163 (27%) |
609 |
| 550-200 | - | 90 | 90 | 414 (82%) |
93 (18%) |
507 | 414 (69%) |
183 (31%) |
597 |
| 550-250 | - | 94 | 94 | 432 (76%) |
135 (24%) |
567 | 432 (65%) |
229 (35%) |
661 |
| 550-300 | - | 71 | 71 | 439 (72%) |
167 (28%) |
606 | 439 (65%) |
238 (35%) |
677 |
| 700-300 | - | 120 | 120 | 386 (69%) |
175 (31%) |
561 | 386 (58%) |
277 (42%) |
663 |
| 700-350 | - | 72 | 72 | 469 (71%) |
196 (29%) |
665 | 469 (64%) |
268 (36%) |
737 |
| 700-400 | - | 56 | 56 | 457 (66%) |
239 (34%) |
696 | 457 (61%) |
295 (39%) |
752 |
| No thinning | - | - | - | 373 (47%) |
413 (53%) |
786 | 373 (47%) |
413 (53%) |
786 |
| MOEf | MOEc | MORf | MORc | Bdw | Cd | |
|---|---|---|---|---|---|---|
|
Cd p-value |
0.64 < 0.0001 |
0.32* 0.0001 |
0.64 < 0.0001 |
0.63* < 0.0001 |
0.69 < 0.0001 |
- |
|
Bdw p-value |
0.61 < 0.0001 |
0.27 0.12 |
0.44 0.008 |
0.57 0.0003 |
- | - |
Disclaimer/Publisher’s Note: The statements, opinions and data contained in all publications are solely those of the individual author(s) and contributor(s) and not of MDPI and/or the editor(s). MDPI and/or the editor(s) disclaim responsibility for any injury to people or property resulting from any ideas, methods, instructions or products referred to in the content. |
© 2024 by the authors. Licensee MDPI, Basel, Switzerland. This article is an open access article distributed under the terms and conditions of the Creative Commons Attribution (CC BY) license (http://creativecommons.org/licenses/by/4.0/).
