Submitted:
01 April 2024
Posted:
02 April 2024
You are already at the latest version
Abstract
Keywords:
1. Introduction
2. System Model and Problem Formulation
2.1. Modeling Line of Sight Probability
2.2. Modeling UAV Communication System
2.3. Optimization Problem Formulation
3. Joint Optimization
3.1. Height and Elevation Optimization Subproblem
3.2. Power and Path Loss Optimization Subproblem
3.3. Joint Optimization Problem
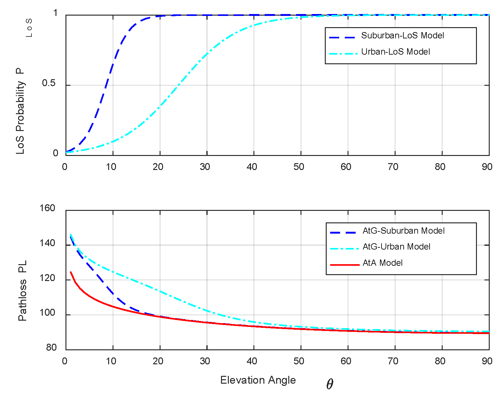
4. Simulations and Discussions
5. Conclusion
Author Contributions
Funding
Data Availability Statement
Conflicts of Interest
References
- Y. Zeng; R. Zhang; T. J. Lim. Wireless communications with unmanned aerial vehicles: opportunities and challenges. IEEE Commun. Mag. 2016, 54, 36–42. [Google Scholar] [CrossRef]
- M. Mozaffari; W. Saad; M. Bennis et al. A tutorial on UAVs for wireless networks: Applications, challenges, and open problems. IEEE Commun. Surveys & Tutorials 2019, 21, 2334–2360. [Google Scholar]
- B. Li; Z. Fei; Y. Zhang. UAV communications for 5G and beyond: Recent advances and future trends. IEEE Internet of Things J. 2019, 6, 2241–2263. [Google Scholar] [CrossRef]
- G. Geraci; A. Garcia-Rodriguez; M. M. Azari et al. What will the future of UAV cellular communications be? A flight from 5g to 6g. IEEE Commun. Surveys & Tutorials 2022, 24, 1304–1335. [Google Scholar]
- S. Ahmed; M. Z. Chowdhury; Y. M. Jang. Energy-Efficient UAV Relaying Communications to Serve Ground Nodes. IEEE Commun. Lett. 2020, 24, 849–852. [Google Scholar] [CrossRef]
- G. Zhang; X. Ou; M. Cui; Q. Wu et al. Cooperative UAV Enabled Relaying Systems: Joint Trajectory and Transmit Power Optimization. IEEE Trans. on Green Commun. & Networking 2022, 6, 543–557. [Google Scholar]
- N. Gupta; D. Mishra; S. Agarwal. Energy-Aware Trajectory Design for Outage Minimization in UAV-Assisted Communication Systems. IEEE Trans. on Green Commun. & Networking 2022, 6, 1751–1763. [Google Scholar]
- J. Dandapat; N. Gupta; S. Agarwal et al. Service Duration Maximization for Continuous Coverage in UAV-Assisted Communication System. IEEE Commun. Lett. 2022, 26, 2445–2449. [Google Scholar] [CrossRef]
- B. Li; S. Zhao; R. Zhang et al. Joint Transmit Power and Trajectory Optimization for Two-Way Multihop UAV Relaying Networks. IEEE Internet of Things J. 2022, 9, 24417–24428. [CrossRef]
- B. Al-Hourani; S. Kandeepan; S. Lardner. Optimal LAP altitude for maximum coverage. IEEE Wireless Commun. Lett. 2014, 3, 569–572. [Google Scholar]
- B. W. Khawaja; I. Guvenc; D. W. Matolak et al. A survey of air-to-ground propagation channel modeling for unmanned aerial vehicles. IEEE Commun. Surveys & Tutorials 2019, 21, 2361–2391.
- L. Xing; B. W. Johnson. Reliability Theory and Practice for Unmanned Aerial Vehicles. IEEE Internet of Things J. 2023, 10, 3548–3566.








| Algorithm 1 |
| 1:Initialize , , , |
| 2: Repeat 3: ; 4: For 5: solve the height and elevation subproblem (14). 6: For 7: solve the power and path loss subproblem (15). 8: Until |
Disclaimer/Publisher’s Note: The statements, opinions and data contained in all publications are solely those of the individual author(s) and contributor(s) and not of MDPI and/or the editor(s). MDPI and/or the editor(s) disclaim responsibility for any injury to people or property resulting from any ideas, methods, instructions or products referred to in the content. |
© 2024 by the authors. Licensee MDPI, Basel, Switzerland. This article is an open access article distributed under the terms and conditions of the Creative Commons Attribution (CC BY) license (http://creativecommons.org/licenses/by/4.0/).
