Submitted:
22 March 2024
Posted:
27 March 2024
You are already at the latest version
Abstract
Keywords:
1. Introduction
2. Materials and Methods
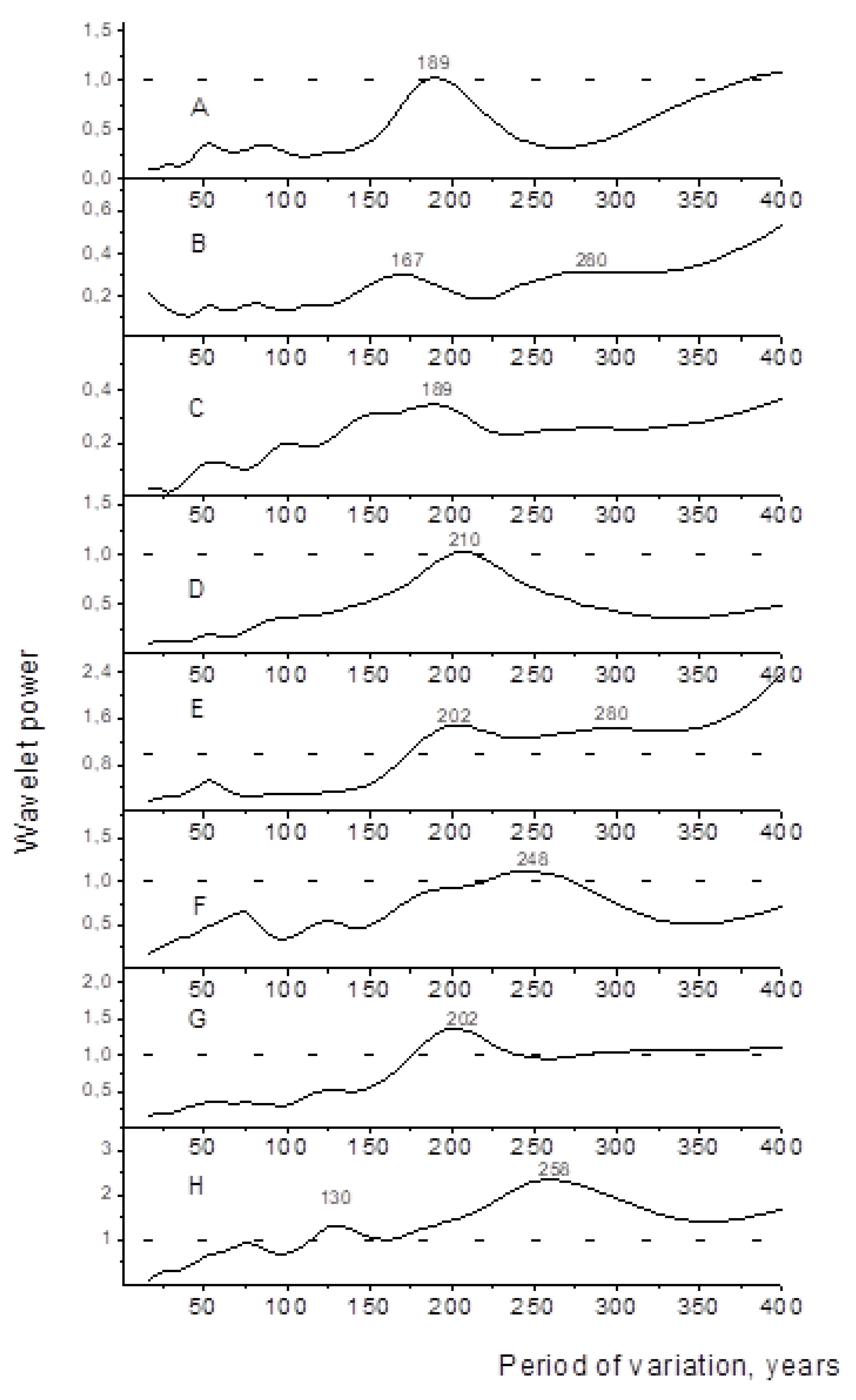
3. Results
4. Discussion and Conclusions
Funding
Data Availability Statement
Conflicts of Interest
References
- Barnett, T.P.; Santer, B.D.; Jones, P.D.; Bradley, R.S.; Briffa, K.R. , Estimates of low frequency natural variability in near-surface air temperature. The Holocene 1996, 3, 255–263. [Google Scholar] [CrossRef]
- Briffa, K.R. , Annual climate variability in the Holocene: interpreting the message of ancient trees. Quat. Sci. Rev. 2000, 19, 87–105. [Google Scholar] [CrossRef]
- Andreu-Hayles; L. , Leland, C., Dendrochronology, Progress. Encyclopedia of Scientific Dating Methods 2014, 1–12. [Google Scholar] [CrossRef]
- Esper, J.; Schneider, L.; Krusic, P. J.; Luterbacher, J.; Büntgen, U. ; Timonen, M; Zorita, E., European summer temperature response to annually dated volcanic eruptions over the past nine centuries. Bull. Volcanol, 75. [CrossRef]
- Raspopov, O.M.; Dergachev, V.A.; Esper, J.; Kozyreva, O.V.; Frank, D.; Ogurtsov, M.; Shao, X. , The influence of the de Vries (∼200-year) solar cycle on climate variations: Results from the Central Asian Mountains and their global link. Palaeogeography, Palaeoclimatology, Palaeoecology, 2008; 259, 6–16. [Google Scholar] [CrossRef]
- Ogurtsov, M.; Veretenenko, S.; Lindholm, M.; Jalkanen, R. Possible solar-climate imprint in temperature proxies from the middle and high latitudes of North America. Adv. Space Res. 2016, 57, 1112–1117. [Google Scholar] [CrossRef]
- Liu, X.Q.; Dong, H.L.; Yang, X.D.; Herzschuh, U.; Zhang, E.L.; Stuut, J.B.W.; Wang, Y.B. Late Holocene forcing of the Asian winter and summer monsoon as evidenced by proxy records from the northern Qinghai–Tibetan Plateau. Earth Planet. Sci. Lett. 2009, 280, 276–284. [Google Scholar] [CrossRef]
- Novello, V.; Vuille, M.; Cruz, F. W.; Strikis, N.; Paula, M.; Edwards, R. L.; et al. , Centennial-scale solar forcing of the South American Monsoon System recorded in stalagmites. Sci. Reports 2016, 6(1), 24762. [Google Scholar] [CrossRef] [PubMed]
- Ogurtsov, M. Long-term variability of summer temperature in the southern part of South America – is there a connection with changes in solar activity? Atmosphere 2022, 13, 1360. [Google Scholar] [CrossRef]
- Ogurtsov, M. Study on possible solar influence on the сlimate of the Southern Hemisphere. Atmosphere 2022, 13, 680. [Google Scholar] [CrossRef]
- Breitenmoser, P.; Beer, J.; Brönnimann, S.; Frank, D.; Steinhilber, F.; Wanner, H. Solar and volcanic fingerprints in tree-ring chronologies over the past 2000 years. Palaeogeography, Palaeoclimatology, Palaeoecology 2012, 313-314, 127–139. [Google Scholar] [CrossRef]
- Ogurtsov, M.; Nagovitsyn, Yu.; Kocharov, G.E.; Jungner, H. , Long-Period cycles of the Sun's activity recorded in direct solar data and proxies. Solar Phys. 2002, 211, 371–394. [Google Scholar] [CrossRef]
- Esper, J.; Cook, E.R.; Schweingruber, F.H. Low-frequency signals in long tree-ring chronologies for reconstructing past temperature variability. Science 2002, 295, 2250–2253. [Google Scholar] [CrossRef] [PubMed]
- Schneider, L.; Smerdon, J.E.; Büntgen, U.; Myglan, V.; Kirdyanov, A.V.; Esper, J. Revising midlatitude summer temperatures back to A.D. 600 based on a wood density network. Geophys. Res. Lett. 2015, 42, 4556–4562. [Google Scholar] [CrossRef]
- Wilson, R.; Anchukaitis, K.; Briffa, K.; Büntgen, U.; Cook, E.; D'Arrigo, R. Last millennium northern hemisphere summer temperatures from tree rings: Part I: The long term context. Quat. Sci. Rev. 2016, 134, 1–18. [Google Scholar] [CrossRef]
- Moberg, A.; Sonechkin, D.M.; Holmgren, K.; Datsenko, M.; Karlen, W. Highly variable Northern Hemisphere temperatures reconstructed from low- and high-resolution proxy data. Nature 2005, 433, 613–617. [Google Scholar] [CrossRef] [PubMed]
- Christiansen, B.; Ljungqvist, F.C. The extra-tropical Northern Hemisphere temperature in the last two millennia: reconstructions of low-frequency variability. Clim. of the Past. 2012, 8, 765–786. [Google Scholar] [CrossRef]
- Guillet, S.; Corona, C.; Khodri, M.; Lavigne, F.; Ortega, P.; Eckert, N.; et al. Climate response to the Samalas volcanic eruption in 1257 revealed by proxy records. Nat. Geosci. 2017, 10, 123–128. [Google Scholar] [CrossRef]
- Büntgen, U.; Allen, K.; Anchukaitis, K.J.; Arseneault, D.; Boucher, E. , Chatterjee, S. The influence of decision-making in tree ring-based climate reconstructions. Nat. Commun. 2021, 12, 3411. [Google Scholar] [CrossRef] [PubMed]
- Loehle, C. A 2000-year global temperature reconstruction on non-tree ring proxies. Energy Environ. 2007, 18, 1049–1058. [Google Scholar] [CrossRef]
- Torrence, C.; Compo, G.P. () A Practical Guide to Wavelet Analysis. Bull. Amer. Meteorol. Soc. 1998, 79, 61–78. [Google Scholar] [CrossRef]





| Source | Time span | Responsive season | Geographic area | Data type |
|---|---|---|---|---|
| Esper et al. [13] | 831-1992 | Growing season | Extratropical part of the Hemisphere (Φ>300 | Tree-ring (TRW) |
| Moberg et al. [16] | 1-1979 | annual | Northern Hemisphere | Multi-proxy (TRW, δ18O, P, BT, IM) |
| Loehle [20] | 16-1980 | annual | Northern Hemisphere | Non tree-ring multi-proxy (BT, δ18O, P, Mg/Ca, VS, diatoms) |
| Christiansen and Ljungqvist [17] | 0-1973 | annual | Extratropical part of the Hemisphere (Φ>300 N) | Multi-proxy (TRW, MXD, 18O, VS, D, P, speleotemperaturе) |
| Schneider et al. [14] | 600-2002 | June-August | Extratropical part of the Hemisphere (Φ>300 N) | Tree-ring (MXD) |
| Wilson et al. [15] | 800-2010 | May-August | Northern Hemisphere | Tree-ring (MXD) |
| Guillet et al. [18] | 500-2000 | JunAugust | Northern Hemisphere | Multi-proxy (TRW, MXD, δ18O) |
| Buntgen et al. [19] | 1-2016 | June-August | Northern Hemisphere | TRW |
| Esper et al. [13] | Moberg et al. [16] | Loehle [20] | Christiansen and Ljungqvist [17] | Schneider et al. [14] | Wilson et al. [15] | Guillet et al. [18] | Büntgen et al. [19] | |
|---|---|---|---|---|---|---|---|---|
| Esper et al. [13] | 0.40 (0.37) | 0.28 (0.45) | 0.81 (0.009) | 0.37 (0.61) | 0.68 (0.023) | 0.16 (0.72) | 0.75 (0.009) | |
| Moberg et al. [16] | 0.49 (0.059) | 0.61 (0.001) | 0.51 (0.097) | 0.67 (0.012) | 0.49 (0.57) | 0.67 (0.001) | ||
| Loehle [20] | 0.45 (0.048) | 0.62 (0.024) | 0.32 (0.43) | 0.61 (0.008) | 0.23 (0.72), | |||
| Christiansen and Ljungqvist [17] | 0.67 (0.046) | 0.87 (0.001) | 0.66 (0.017) | 0.76 (<10-3) | ||||
| Schneider et al. [14] | 0.50 (0.090) | 0.69 (0.012) | 0.71 (0.012) | |||||
| Wilson et al. [15] | 0.45 (0.14) | 0.91 (<10-3) | ||||||
| Guillet et al. [18] | 0.64 (0.009) | |||||||
| Büntgen et al. [19] |
Disclaimer/Publisher’s Note: The statements, opinions and data contained in all publications are solely those of the individual author(s) and contributor(s) and not of MDPI and/or the editor(s). MDPI and/or the editor(s) disclaim responsibility for any injury to people or property resulting from any ideas, methods, instructions or products referred to in the content. |
© 2024 by the author. Licensee MDPI, Basel, Switzerland. This article is an open access article distributed under the terms and conditions of the Creative Commons Attribution (CC BY) license (https://creativecommons.org/licenses/by/4.0/).