Submitted:
21 March 2024
Posted:
25 March 2024
You are already at the latest version
Abstract
Keywords:
Introduction
Material and Methods
Experimental Site
Experimental Design and Grazing Management
Animal Performance
Canopy Attributes
Nutritive Value Attributes
Data Analysis
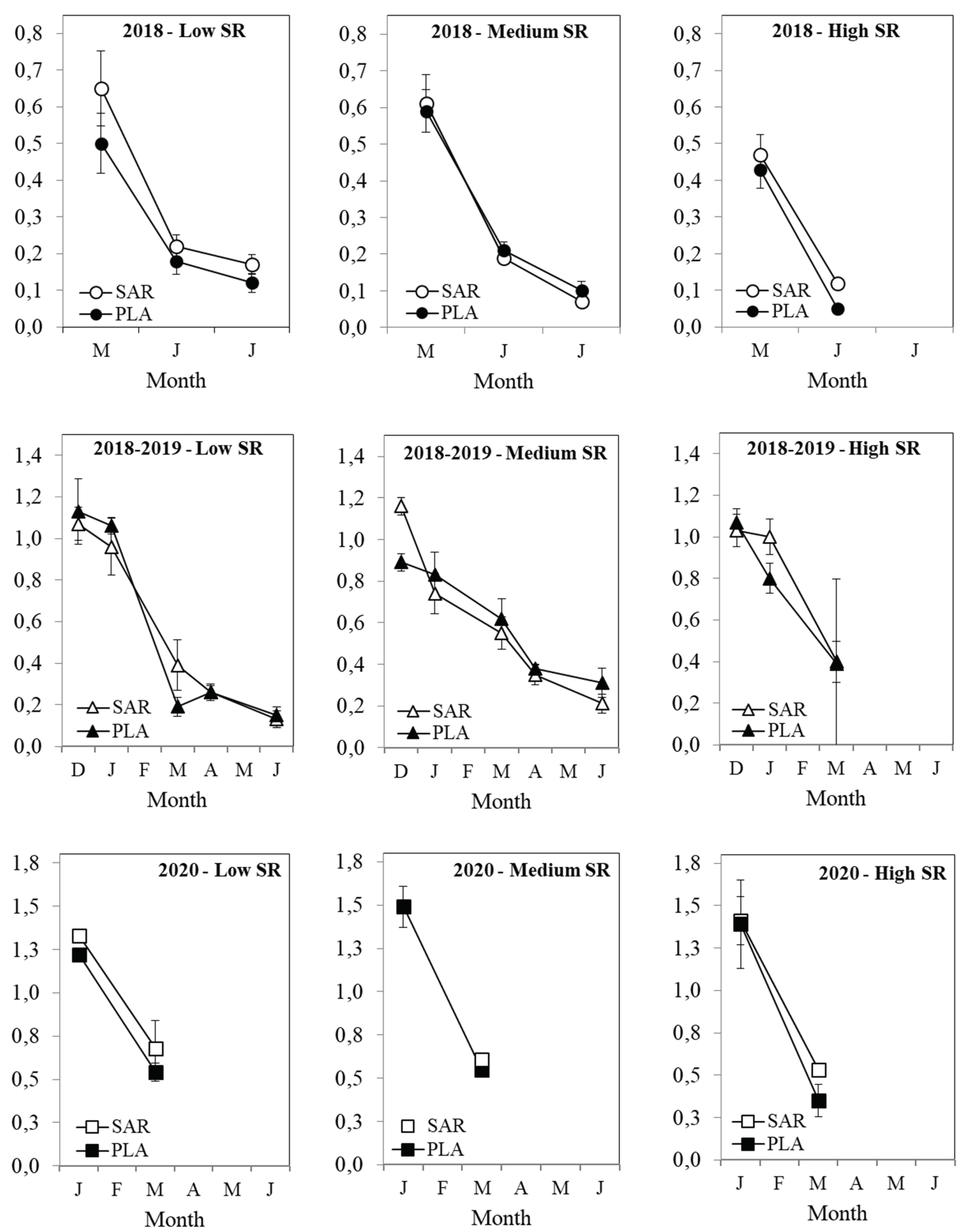
Results
Discussion
Acknowledgements
References
- Alvares CA; Stape JL; Sentelhas PC; Gonçalves JLM; Sparovek G. Köppen’s climate classification map for Brazil. Meteorologische Zeitschrift 2013, 22, 711–728. [Google Scholar] [CrossRef]
- AOAC (Association of Official Analytical Chemists). 1990. Official methods of analysis, 15th ed.
- Benvenutti MA; Gordon, IJ; Poppi DP; Crowther R; Spinks W. Foraging mechanics and their outcomes for cattle grazing reproductive tropical swards. Applied Animal Behaviour Science 2008, 113, 15–31. [Google Scholar] [CrossRef]
- Böhnert E; Lascano C; Weniger JH. Botanical and chemical composition of the diet selected by fistulated steers under grazing on improved grass-legume pastures in the tropical savannas of Colombia, I: botanical composition of forage available and selected. Journal of Animal Breeding and Genetics 1985, 102, 385–394. [Google Scholar] [CrossRef]
- Braga GJ; Maciel GA; Guimarães Jr R; Ramos AKB; Carvalho MA; Fernandes FD; Fonseca CEL; Jank L. Performance of young Nellore bulls on guineagrass pastures under rotational stocking in the Brazilian Cerrado. Tropical Grasslands-Forrajes Tropicales 2019, 7, 214–222. [Google Scholar] [CrossRef]
- Canto MW; Bona Filho A; Moraes A; Hoeschl AR; Gasparino E. Animal production in Tanzania grass swards fertilized with nitrogen. Revista Brasileira de Zootecnia 2009, 38, 1176–1182. [Google Scholar] [CrossRef]
- Carvalho MA; Fonseca CEL; Ramos AKB; Braga GJ; Fernandes FD; Pessoa Filho MACP. BRS Sarandi: a new Andropogon gayanus cultivar for tropical pastures. Crop Breeding and Applied Biotechnology, 2021, 21, 1–6. [CrossRef]
- CIAT (Centro Internacional de Agricultura Tropical). 1990. Andropogon gayanus Kunth: A grass for tropical acid soils. In Toledo, J. M., Vera, R., Lascano, C, & Lenné, J. M. (Eds.). (pp. 382).
- Csurhes S; Edwards R. 1998. Potential environmental weeds in Australia: Candidate species for preventative control. Canberra, Australia. Biodiversity Group, Environment Australia.
- Delevatti LM; Cardoso AS; Barbero RP; Leite RG; Romanzini EP; Ruggieri AC; Reis RA. Effect of nitrogen application rate on yield, forage quality, and animal performance in a tropical pasture. Scientific Report 2019, 9, 7596. [Google Scholar] [CrossRef] [PubMed]
- Euclides VPB; Costa FP; Macedo MCM; Flores R; Oliveira MP. Eficiência biológica e econômica de pasto de capim-tanzânia adubado com nitrogênio no final do verão. Pesquisa Agropecuária Brasileira 2007, 42, 1345–1355. [Google Scholar] [CrossRef]
- Euclides VPB; Thiago LRLS; Macedo MCM; Oliveira MP. Consumo voluntário de forragem de três cultivares de Panicum maximum sob pastejo. Revista Brasileira de Zootecnia 1999, 28, 1177–1185. [Google Scholar] [CrossRef]
- Euclides VPB; Cardoso EGC; Macedo MCM; Oliveira MP. Voluntary intake of Brachiaria decumbens cv. Basilisk and Brachiaria brizantha cv. Marandu under grazing. Revista Brasileira de Zootecnia 2000, 29, 2200–2208. [Google Scholar]
- Euclides VPB; Valle CB; Macedo MCM; Almeida RG; Montagner DB; Barbosa RA. Brazilian scientific progress in pasture research during the first decade of XXI century. Revista Brasileira de Zootecnia 2010, 39, 151–168. [Google Scholar] [CrossRef]
- Feitosa OS; Leite RC; Alexandrino E; Pires TJS; Oliveira LBT; Paula Neto JJ; Santos AC. Forage performance and cattle production as a function of the seasonality of a Brazilian tropical region. Acta Scientiarum. Animal Sciences 2022, 43, e53779. [Google Scholar] [CrossRef]
- Ferguson JE; Andrade RP. 1999. Andropogon gayanus in Latin America. In: D. S. Loch & J.E. Ferguson (Eds.), Forage Seed Production. Volume 2: Tropical and Subtropical Species. (pp. 381-386). CABI Publishing.
- Fonseca CEL; Pessoa Filho M; Braga GJ; Ramos AKB; Carvalho MA; Fernandes FD; Karia CT; Maciel GA; Athayde NB; Dessaune SN; Thomé SP; Garcia ACC. Near-infrared reflectance spectroscopy as a tool for breeding Andropogon gayanus Kunth for forage quality. Journal of Agriculture and Veterinary Science 2020, 13, 57–66. [Google Scholar] [CrossRef]
- Garay AH; Sollenberger LE; McDonald DC; Ruegsegger GJ; Kalmbacher RS; Mislevy P. Nitrogen fertilization and stocking rate affect stargrass pasture and cattle performance. Crop Science 2004, 44, 1348–1354. [Google Scholar] [CrossRef]
- Herling VR; Pedreira CGS; Luz PHC; Braga GJ; Marchesin WA; Macedo FB; Lima CG. Performance and productivity of Nellore steers on rotationally stocked palisadegrass (Brachiaria brizantha) pastures in response to herbage allowance. Journal of Agricultural Science 2011, 149, 761–768. [Google Scholar] [CrossRef]
- Inyang U; Vendramini JMB; Sollenberger LE; Sellers B; Adesogan A; Paiva L; Lunpha A. Forage species and stocking rate effects on animal performance and herbage responses of ‘Mulato’ and Bahiagrass pastures. Crop Science 2010, 50, 1079–1085. [Google Scholar] [CrossRef]
- Jank L; Barrios SC; Valle CB; Simeão RM; Alves GF. The value of improved pastures to Brazilian beef production. Crop and Pasture Science 2014, 65, 1132–1137. [Google Scholar] [CrossRef]
- Lascano, C. Thomas D. 1990. Quality of Andropogon gayanus and animal productivity. In J. M. Toledo, R. Vera, C. Lascano, & J. M. Lenné (Eds.), Andropogon gayanus Kunth. A grass for tropical acid soils. (pp. 247–276). CIAT.
- Machado LAZ; Fabrício AC; Gomes A; Assis PGG; Lempp B; Maraschin GE. Desempenho de animais alimentados com lâminas foliares em pastagem de capim-marandu. Pesquisa Agropecuária Brasileira 2008, 43, 1609–1616. [Google Scholar] [CrossRef]
- Maciel GA; Braga GJ; Guimarães Jr R; Ramos AKB; Carvalho MA; Fernandes FD; Fonseca CEL; Jank L. Seasonal liveweight gain of beef cattle on guineagrass pastures in the Brazilian Cerrados. Agronomy Journal 2018, 110, 480–487. [Google Scholar] [CrossRef]
- Martha Jr GB; Alves E; Contini E. Land-saving approaches and beef production growth in Brazil. Agricultural Systems 2012, 110, 173–177. [Google Scholar] [CrossRef]
- McManus C; Louvandini H; Carneiro HC; Lima PRM; Braccini Neto J. Production indices for dual purpose cattle in central Brazil. Revista Brasileira de Zootecnia, 2011, 40, 1576–1586. [CrossRef]
- Mganga KZ; Ndathi AJN; Wambua SM; Bosma L; Kaindi EM; Kioko T; Kadenyi N; Musyoki GK; van Steenbergen F; Musimba NKR. Forage value of vegetative leaf and stem biomass fractions of selected grasses indigenous to African rangelands. Animal Production Science 2021, 61, 1476–1483. [Google Scholar] [CrossRef]
- Moore JE; Mott GO. Recovery of residual organic matter from in vitro digestion of forages. Journal of Dairy Science 1974, 57, 1258–1259. [Google Scholar] [CrossRef]
- Parente L; Mesquita V; Miziara F; Baumann L; Ferreira L. Assessing the pasturelands and livestock dynamics in Brazil, from 1985 to 2019, A novel approach based on high spatial resolution imagery and Google Earth Engine cloud computing. Remote Sensing of Environment 2017, 232, 1–11. [Google Scholar] [CrossRef]
- Paula CCL; Euclides VPB; Montagner DB; Lempp B; Difante GS; Carloto MN. Sward structure, herbage intake and animal performance on marandu palisadegrass pastures subjected to continuous stocking. Arquivo Brasileiro de Medicina Veterinária e Zootecnia 2012, 64, 169–176. [Google Scholar] [CrossRef]
- Pereira JM; Tarré RM; Macedo R; Rezende CP; Alves BJR; Urquiaga S; Boddey RM. Productivity of Brachiaria humidicola pastures in the Atlantic forest region of Brazil as affected by stocking rate and the presence of a forage legume. Nutrient Cycling Agroecosystems 2009, 83, 179–196. [Google Scholar] [CrossRef]
- Ramírez-Restrepo CA; Vera RR. Bodyweight performance, estimated carcass traits and methane emissions of beef cattle categories grazing Andropogon gayanus, Melinis minutiflora and Stylosanthes capitata mixed swards and Brachiaria humidicola pasture. Animal Production Science 2019, 59, 729–740. [Google Scholar] [CrossRef]
- Rossiter-Rachor NA; Setterfield SA; Douglas MM; Hutley LB; Cook GD; Schimidt S. Invasive Andropogon gayanus (gamba grass) is an ecosystem transformer of nitrogen relations in Australian savanna. Ecological Applications 2009, 19, 1546–1560. [Google Scholar] [CrossRef]
- Rouquette Jr, FM. Invited Review: The roles of forage management, forage quality, and forage allowance in grazing research. The Professional Animal Scientist 2016, 32, 10–18. [Google Scholar] [CrossRef]
- SAS Institute Inc. 2020. SAS® Studio: Task Reference Guide. Cary, NC: SAS Institute Inc.
- Sollenberger LE; Cherney DJR. 1995. Evaluating forage production and quality. In RF Barnes, DA Miller; CJ Nelson (Eds.), Forages: The science of grassland agriculture (pp. 97–110). Ames, IA: Iowa State Univ. Press.
- Sollenberger LE; Moore JE; Allen VG; Pedreira CGS. Reporting forage allowance in grazing experiments. Crop Science 2005, 45, 896–900. [Google Scholar] [CrossRef]
- Sollenberger LE; Burns JC. Canopy characteristics, ingestive behaviour and herbage intake in cultivated tropical grasslands. International Grassland Congress 2001, 19, 321–327. [Google Scholar]
- Sollenberger LE; Vanzant ES. Interrelationships among forage nutritive value and quantity and individual animal performance. Crop Science 2011, 51, 420–432. [Google Scholar] [CrossRef]
- Sousa BML; Nascimento Júnior D; da Silva SC; Monteiro HCF; Rodrigues CS; Fonseca DM; Silveira MCT; Sbrissia AF. Morphogenetic and structural characteristics of andropogon grass submitted to different cutting heights. Revista Brasileira de Zootecnia 2010, 39, 2141–2147. [Google Scholar] [CrossRef]
- Thomas D; Andrade RP; Couto W; Rocha CMC; Moore P. Andropogon gayanus var. Bisquamulatus cv. Planaltina: principal forage characteristics. Pesquisa Agropecuária Brasileira 1981, 16, 347–355.
- Tilley JMA; Terry RA. A two-stage technique for the in vitro digestion of forage crops. Grass and Forage Science 1963, 18, 104–111. [Google Scholar] [CrossRef]
- Van Soest PJ; Robertson JB; Lewis BA. Methods for dietary fiber, neutral detergent fiber, and nonstarch polysaccharides in relation to animal nutrition. Journal of Dairy Science 1991, 74, 3583–3597. [Google Scholar] [CrossRef]
- Zimmer AH; Pimentel DM; Valle CB; Seiffert NF. 1983. Practical aspects in pastures formation. (In portuguese). Technical circular no. 12. Empresa Brasileira de Pesquisa Agropecuária (EMBRAPA) at the Centro Nacional de Pesquisa de Gado de Corte (CNPGC), Campo Grande, Brazil.



| Month | Rainfall (mm) | Mean air temperature (oC) | |||||||
| 2018 | 2019 | 2020 | 1974-2013 | 2018 | 2019 | 2020 | 1974-2013 | ||
| January | 150 | 27 | 365 | 239 | 22 | 23 | 22 | 22 | |
| February | 243 | 108 | 162 | 183 | 22 | 23 | 22 | 22 | |
| March | 194 | 270 | 263 | 201 | 22 | 22 | 22 | 23 | |
| April | 104 | 119 | 100 | 94 | 21 | 22 | 22 | 22 | |
| May | 4 | 35 | 29 | 24 | 20 | 22 | 20 | 21 | |
| June | 0 | 0 | 0 | 5 | 20 | 20 | 19 | 20 | |
| July | 0 | 0 | 0 | 4 | 20 | 19 | 19 | 20 | |
| August | 21 | 0 | 0 | 15 | 22 | 22 | 21 | 22 | |
| September | 36 | 0 | 45 | 37 | 23 | 25 | 23 | 23 | |
| October | 130 | 23 | 138 | 126 | 24 | 25 | 23 | 23 | |
| November | 333 | 179 | 240 | 189 | 21 | 23 | 22 | 22 | |
| December | 135 | 240 | 230 | 227 | 22 | 23 | 22 | 22 | |
| Year | Grazing Period |
| 2018 | 1) April 06 – May 09 |
| 2) May 09 – June 05 | |
| 3) June 05 – July 051 | |
| 2018-2019 | 1) Nov 27 – Jan 03 |
| 2) Jan 03 – Feb 14 | |
| 3) Feb 14 – Mar 18 | |
| 4) Mar 18 – May 091 | |
| 5) May 09 – July 021 | |
| 2020 | 1) Jan 07 – Feb 18 |
| 2) Feb 18 – Apr 07 | |
| 3) Apr 07 – June 011,2 |
| Year | Cultivar | P | |
| Sarandi (mean±s.e.) | Planaltina (mean±s.e.) | ||
| kg/bull/d | |||
| 2018 | 0.670±0.066A | 0.490±0.066B | 0.0839 |
| 2018-2019 | 0.980±0.038 | 1.020±0.038 | 0.4089 |
| 2020 | 0.790±0.045A | 0.650±0.045B | 0.0412 |
| Variable | Cultivar (2018) | P | ||
| Sarandi (mean±s.e.) | Planaltina (mean±s.e.) | |||
| Canopy attributes | ||||
| FM (kg/ha) | 9231±315 | 9136±315 | 0.8309 | |
| Leaf (%) | 15±0.4A | 14±0.4B | 0.0558 | |
| Stem (%) | 57±0.8B | 60±0.8A | 0.0166 | |
| Dead Material (%) | 28±0.5A | 26±0.5B | 0.0134 | |
| CH (cm) | 91±1.3B | 96±1.3A | 0.0045 | |
| Nutritive value attributes | ||||
| CP (g/kg) | 114±3.4 | 109±3.4 | 0.2943 | |
| IVDMD (g/kg) | 540±7.8 | 535±7.8 | 0.6607 | |
| NDF (g/kg) | 640±3.5 | 643±3.5 | 0.5842 | |
| ADF (g/kg) | 331±3.2 | 334±3.2 | 0.5307 | |
| Variable | Cultivar (2018-2019) | P | ||
| Sarandi (mean±s.e.) | Planaltina (mean±s.e.) | |||
| Canopy attributes | ||||
| FM (kg/ha) | 13392±561 | 13984±561 | 0.4494 | |
| Leaf (%) | 23±0.6 | 22±0.6 | 0.3638 | |
| Stem (%) | 40±1.4 | 41±1.4 | 0.8953 | |
| Dead Material (%) | 37±1.4 | 37±1.4 | 0.8271 | |
| CH (cm) | 130±4.4 | 126±4.4 | 0.4936 | |
| Nutritive value attributes | ||||
| CP (g/kg) | 132±1.9 | 128±1.9 | 0.2021 | |
| IVDMD (g/kg) | 599±3.7 | 592±3.7 | 0.2032 | |
| NDF (g/kg) | 622±2.3 | 624±2.3 | 0.5960 | |
| ADF (g/kg) | 330±2.7 | 331±2.7 | 0.7376 | |
| Variable | Cultivar (2020) | P | ||
| Sarandi (mean±s.e.) | Planaltina (mean±s.e.) | |||
| Canopy attributes | ||||
| FM (kg/ha) | 14501±1011 | 13689±968 | 0.3433 | |
| Leaf (%) | 36±7.7 | 35±7.7 | 0.8602 | |
| Stem (%) | 36±4.6B | 42±4.6A | 0.0020 | |
| Dead Material (%) | 28±3.1A | 23±3.1B | 0.0056 | |
| CH (cm) | 122±1.3B | 130±0.9A | 0.0005 | |
| Nutritive value attributes | ||||
| CP (g/kg) | 127±2.8 | 129±2.8 | 0.5804 | |
| IVDMD (g/kg) | 515±10.8 | 508±10.8 | 0.4064 | |
| NDF (g/kg) | 639±4.8 | 641±4.8 | 0.6938 | |
| ADF (g/kg) | 350±8.2 | 343±8.2 | 0.2985 | |
| Variable | Period (2018) | P | Period (2018-2019) | P | Period (2020) | P | |||||||
| May 3 | Jun 5 | Jul 41 | Dec 17 | Jan 15 | Mar 20 | Apr 301 | Jun 241 | Jan 28 | Mar 12 | ||||
| Canopy attributes | |||||||||||||
| FM (kg/ha) | 8469 | 9525 | 9555 | • | 10151 | 10874 | 14638 | 14353 | 18424 | *** | 12735 | 15343 | ** |
| ±351 | ±351 | ±464 | ±788 | ±788 | ±788 | ±1017 | ±1017 | ±554 | ±480 | ||||
| Leaf (%) | 27 | 11 | 5 | *** | 41 | 35 | 16 | 13 | 8 | *** | 46 | 25 | *** |
| ±0.5 | ±0.5 | ±0.6 | ±1.0 | ±1.0 | ±1.0 | ±1.2 | ±1.0 | ±1.1 | ±1.0 | ||||
| Stem (%) | 51 | 65 | 59 | *** | 39 | 39 | 41 | 44 | 41 | NS | 33 | 46 | *** |
| ±0.9 | ±0.9 | ±1.2 | ±2.1 | ±2.1 | ±2.1 | ±2.7 | ±2.1 | ±0.3 | ±0.3 | ||||
| Dead Mat. (%) | 22 | 24 | 36 | *** | 20 | 26 | 43 | 43 | 51 | *** | 21 | 29 | *** |
| ±0.6 | ±0.6 | ±0.7 | ±2.1 | ±2.1 | ±2.1 | ±2.7 | ±2.1 | ±1.0 | ±0.8 | ||||
| CH (cm) | 100 | 95 | 86 | *** | 112 | 132 | 138 | 127 | 133 | • | 126 | 126 | NS |
| ±1.4 | ±1.4 | ±1.8 | ±6.1 | ±6.1 | ±6.1 | ±7.9 | ±7.9 | ±1.1 | ±1.1 | ||||
| Nutritive value attributes | |||||||||||||
| CP (g/kg) | 142 | 98 | 95 | *** | 144 | 146 | 143 | 105 | 112 | *** | 127 | 127 | NS |
| ±4.2 | ±4.2 | ±4.2 | ±2.9 | ±2.9 | ±2.9 | ±2.9 | ±3.6 | ±2.5 | ±2.5 | ||||
| IVDMD (g/kg) | 599 | 514 | 500 | *** | 619 | 584 | 547 | 595 | 634 | *** | 495 | 523 | *** |
| ±9.5 | ±9.5 | ±9.5 | ±5.6 | ±5.6 | ±5.6 | ±5.6 | ±7.1 | ±3.9 | ±3.9 | ||||
| NDF (g/kg) | 630 | 639 | 655 | ** | 613 | 617 | 643 | 639 | 600 | *** | 646 | 635 | * |
| ±4.3 | ±4.3 | ±4.3 | ±3.5 | ±3.5 | ±3.5 | ±3.5 | ±4.5 | ±3.5 | ±3.5 | ||||
| ADF (g/kg) | 326 | 328 | 343 | ** | 327 | 330 | 354 | 342 | 301 | *** | 356 | 335 | *** |
| ±3.9 | ±3.9 | ±3.9 | ±4.1 | ±4.1 | ±4.1 | ±4.1 | ±5.2 | ±3.4 | ±3.4 | ||||
Disclaimer/Publisher’s Note: The statements, opinions and data contained in all publications are solely those of the individual author(s) and contributor(s) and not of MDPI and/or the editor(s). MDPI and/or the editor(s) disclaim responsibility for any injury to people or property resulting from any ideas, methods, instructions or products referred to in the content. |
© 2024 by the author. Licensee MDPI, Basel, Switzerland. This article is an open access article distributed under the terms and conditions of the Creative Commons Attribution (CC BY) license (https://creativecommons.org/licenses/by/4.0/).
