1. Introduction
There are certain well-known descriptors that can be derived from a Mueller matrix
M and provide information on specific features related to enpolarizing (diattenuation and polarizance [
1,
2]), depolarizing and retarding properties [
3]. Nevertheless, form the point of view of the analysis and exploitation of the information held by
M, it still lacks the definition of a parameter giving an overall measure of the ability of the medium to transform the states of polarization of incident electromagnetic waves regardless of the origin and nature of the features involved (enpolarization, depolarization or retardation), which usually appear in a combined manner. Such an ability can be characterized through the distance from
M to the 4 × 4 identity matrix
I (which in turn represents a completely neutral polarimetric effect).
Thus, the aim of this work is to introduce a properly defined measure of the polarizing power associated with
M, which in no way replaces other known descriptors. The contents of this communication are organized as follows.
Section 2 summarizes the theoretical concepts and notations necessary to describe the original results presented.
Section 3 is devoted to the introduction of the concept of polarizing power associated with a given Mueller matrix, together with some related analyses and graphical representation.
Section 4 deals with the invariance properties of the polarizing power with respect to certain polarimetric transformations. The results are illustrated in
Section 5 through the inspection of the values taken by the polarizing power for typical polarization devices like diattenuators, retarders and intrinsic depolarizers.
2. Theoretical Background
Hereinafter we will use the term “light” for the sake of brevity, nevertheless it can be understood as the more general “electromagnetic wave”.
The transformation of polarized light by the action of a linear medium (under fixed interaction conditions) can always be represented mathematically as
s’ =
Ms where
s and
s’ are the Stokes vectors that represent the states of polarization of the incident and emerging light beams, respectively, while
M is the Mueller matrix associated with this kind of interaction and that can always be expressed as [
3,
4,
5,
6]
where
m00 is the mean intensity coefficient (MIC), i.e., the ratio between the intensity of the emerging light and the intensity of incident unpolarized light;
D and
P are the diattenuation and polarizance vectors, with absolute values
D (diattenuation) and
P (polarizance), and vectors
k,
r,
q, with respective absolute values
k,
r, and
q, are constitutive of the normalized 3 × 3 submatrix
m associated with
M, which provides the complementary information on retardance and depolarization properties.
Mathematically, Mueller matrices are fully characterized by the so-called ensemble criterion [
3], which involves two sets of inequalities, namely the passivity, i.e.,
m00(1+
Q) ≤ 1, with
Q ≡ max(
D,
P) [
7,
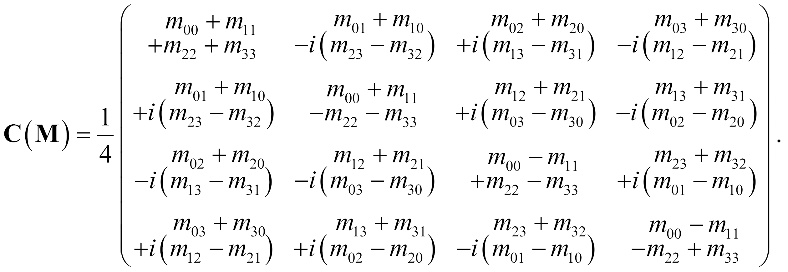
8], together with the four covariance conditions constituted by the nonnegativity of the eigenvalues of the Hermitian coherency matrix
C associated with
M, whose explicit expression in terms of the elements
mij (
i,
j=0,1,2,3) of
M, is [
9]
A measure of the ability of
M to preserve the degree of polarization (DOP) of totally polarized incident light, is given by the
degree of polarimetric purity of
M (also called
depolarization index) [
9],
PΔ, which can be expressed as
where
PP is the so-called degree of polarizance [
11], or
enpolarizance (a measure of the ability of
M to increase the degree of polarization of light in either forward or reverse incidence),
and
PS is the polarimetric dimension index (also called the degree of spherical purity), defined as [
3,
12,
13]
Nondepolarizing (or pure) media (i.e., media that do not decrease de degree of polarization of totally polarized incident light) exhibit, uniquely, the maximal degree of polarimetric purity,
PΔ = 1, while
PΔ = 0 is characteristic of perfect depolarizers, with associated Mueller matrix
MΔ0 =
m00(diag(1,0,0,0). The maximal value of
PS,
PS = 1, entails
PΔ = 1 with
PP = 0 (pure and nonenpolarizing media), which corresponds uniquely to retarders (regardless of the value of
m00, i.e., regardless of whether they are transparent or exhibit certain amount of isotropic attenuation); the minimal polarimetric dimension index,
PS = 0, corresponds to Mueller matrices with
m = 0 Maximal enpolarizance,
PP = 1, implies
PΔ = 1 and corresponds to perfect polarizers, while the minimal,
PP = 0, is exhibited by nonenpolarizing interactions (either pure or depolarizing) [
12,
14].
Regarding measures of the anisotropies involved in
M, a set of anisotropy coefficients was defined in Ref. [
15], leading to an overall parameter called the degree of anisotropy,
Pα, which is obtained as a square average of linear and circular anisotropies due to enpolarizing and retarding properties, and can be expressed as follows (except for nondepolarizing diagonal Mueller matrices, for which
Pα is undetermined) [
15]
The values of Pα are limited by 0 ≤ Pα ≤ PΔ.
As for depolarizing properties of
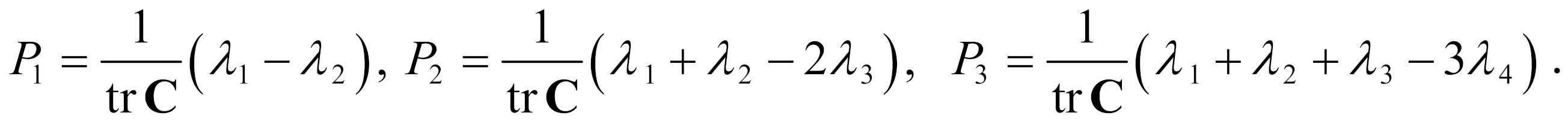
M, complete quantitative information is given by the corresponding indices of polarimetric purity (IPP), defined as follows in terms of the (nonnegative) eigenvalues (
λ1,
λ2,λ3,λ4) of
C(
M), labeled in non-increasing order (
λ1≥
λ2≥
λ3≥
λ4) [
2,
16]
Leaving aside systems exhibiting magneto-optic effects, the Mueller matrix that represents the same linear interaction as
M, but with the incident and emergent directions of the light probe swapped, is given by [
17,
18]
Consequently,
D(
M’) =
P(
M) and
P(
M’) =
D(
M), showing that
D and
P share a common nature related to the ability of the medium to enpolarize unpolarized light incoming in either forward or reverse directions [
2,
11].
3. Polarizing Power
Since a fully neutral polarimetric effect is characterized by
M =
I,
I being the 4×4 identity matrix, any enpolarizing, depolarizing and retarding effect implies that
M takes a form different from
I. Thus, the overall ability of
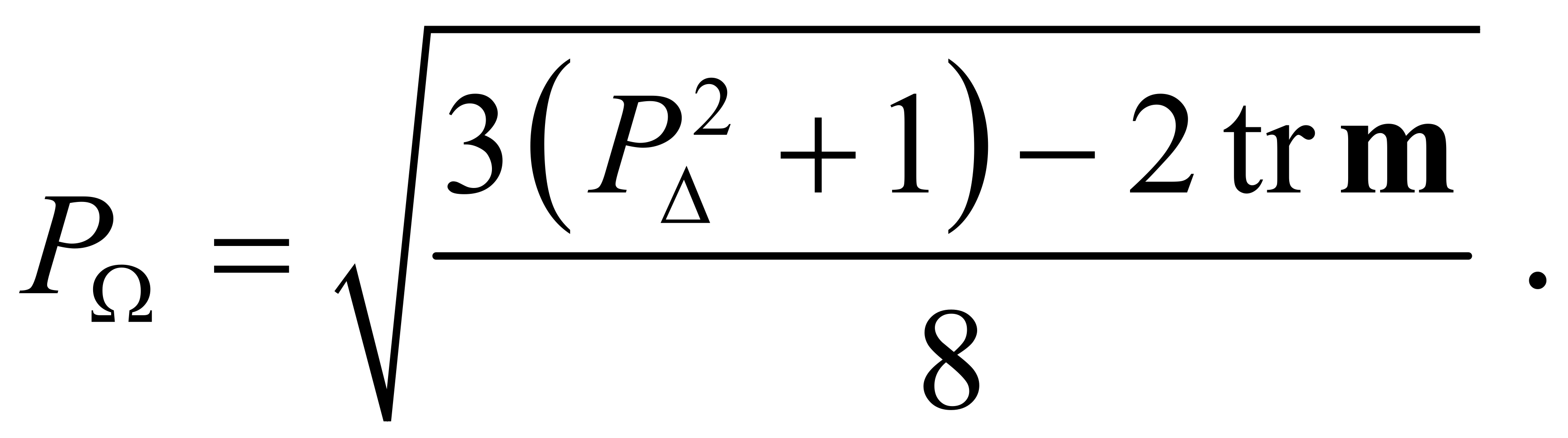
M to change the incident state of polarization, can be characterized by the polarizing power defined as the normalized distance between matrices
M an
I,
where ‖‖
2 represents the Frobenius norm and
g is an integer parameter that will be determined by imposing the limit
PΩ ≤ 1.
By considering the partitioned form of
M in Equation (1) together with Equations (3) and (5), and taking into account the relation

, tr representing the trace, we get
As expected, the lower limit for

is zero and corresponds, uniquely, to
M =
I, while the upper limit takes the value 8/
g2, which corresponds necessarily to either of the following three diagonal half-wave retarders
all of them exhibiting retardance
π and respective eigenvalues linear horizontal/vertical, linear ±
π/4 and circular right/left handed. Thus, the choice

is what matches the normalization criterion
PΩ ≤ 1 and therefore 0 ≤
PΩ ≤ 1, so that we define the polarizing power of
M as
Since the physical meanings of the degree of polarimetric purity and the polarizing power are well established, the above definition provides an interpretation of the quantity tr
m in terms of
PΔ and
PΩ
Note that −1 ≤ trm ≤ 3, where the minimal achievable value trm = −1 corresponds necessarily to one of the diagonal half-wave retarders in Equation (11) (PΔ = 1, PΩ = 1), while the maximum trm = 3 is reached, uniquely, when M = I (PΔ = 0, PΩ = 0).
The feasible region for pairs of values

is shown in
Figure 1. Achievable values are limited by the triangle with vertices AEF. Edge
c (AE) corresponds, uniquely, to nondepolarizing Mueller matrices, where point A corresponds uniquely to
PΩ = 0 (
M =
I), while, as seen above, point E is reached exclusively by diagonal half-wave retarders. All physical situations for depolarizing Mueller matrices have associated points in the triangle AEFA, excluding the above described edge AE. The values of the quantities

for each of the points indicated in the figure are the following A(3,0,1), B(2,1/4,1), C(1,1/2,1), D(0,3/4,1), E(−1,1,1), F(0,3/8,0), G(1,1/4,3), H(2,1/8,2/3).
Along edge a (EF), values of PΔ decrease from 1 to 0 as trm increases from −1 (point E) to 0 (point F). Along edge b (FA) values of PΔ increase from 0 to 1 as trm increases from 0 (point F) to 3 (point A).
4. Invariance
Given a Mueller matrix
M, transformations

, where
MR is a proper orthogonal matrix, i.e.,

and det
MR = +1, so that
MR represents a retarder, are called single retarder transformations [
19] and play an important role in polarization theory. The general form of
MR is
so that it represents a rotation in the mathematical space of the Poincaré sphere. It should be noted that a rotation of angle
α about the direction of light propagation (in the Cartesian laboratory coordinate system) are performed through matrices whose general form is [
21]
and constitute a subclass of matrices
MR that, in fact, are mathematically indistinguishable from those of circular retarders [
3]. Consequently, the single retarder transformation invariance includes such a kind of rotation invariance.
Let us now observe that both quantities, PΔ and trm, appearing in the definition (12) of the polarizing power are invariant under single retarder transformations, which implies that PΩ is also invariant under such transformations.
Regarding the swapping of the incident and exit directions of light, which corresponds to the replacement of M (forward Mueller matrix) by Mr (reverse Mueller matrix), it should be noted that, from its very definition, PΩ(Mr) = PΩ(M). Recall that both single retarder transformations and reciprocity invariances also hold for polarimetric quantities like PΔ, trm, m00, PS, PP, Pα, P1, P2 and P3.
5. Polarizing Power of Typical Devices
For a more detailed view of the peculiar features of the polarizing power, we next analyze its value for certain kinds devices typically found in polarimetry and polarization theory, like diattenuators, retarders and intrinsic depolarizers (also called diagonal depolarizers).
Diattenuators
Diattenuators constitute a subclass of nondepolarizing systems, characterized by the fact that they produce differential intensity attenuation on their two polarization eigenstates. Diattenuators whose Mueller matrix is symmetric are called normal [
22,
23] or homogeneous [
1].
The Mueller matrix of a normal diattenuator oriented at 0º has the generic form
where
m00 is the MIC,
D is the diattenuation and
K is called the counterdiattenuation [
20]. In the general case of an elliptical normal diattenuator with arbitrary orientation, its Mueller matrix,
MD, can always be expressed though the single retarder transformation

. Therefore,
PΩ(
MDL0) =
PΩ(
MD), and by applying definition (12) we get the following expression for the polarizing power of normal diattenuators
whose maximal value

is achieved by perfect depolarizers, while decreases as
D decreases down to
PΩ = 0 (D = 0).
For a given value
D of diattenuation, the structure of Mueller matrices of nonnormal diattenuators feature more asymmetry than normal ones and consequently exhibit larger values of
PΩ. For instance, in the case of nonnormal perfect diattenuators with asymmetric Mueller matrices like
(together with arbitrary single retarder transformations of them), the polarizing power reach the maximal achievable value among diattenuators
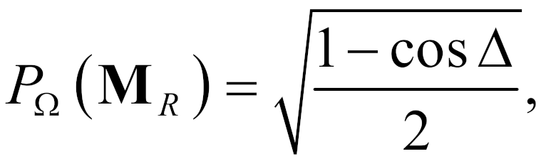
Retarders
Retarders constitute a subclass of nondepolarizing systems, characterized by the fact that they produce differential phase shift on their two mutually orthogonal polarization eigenstates. The Mueller matrix of a retarder has the general form considered above and, as with normal diattenuators, is normal in the sense that its eigenstates are mutually orthogonal (represented by antipodal points in the Poincaré sphere [
20]).
The Mueller matrix of a linear retarder, with retardance Δ, and oriented at 0º has the form
which allows for expressing the Mueller matrix
MR of a general elliptical retarder through a single retarder transformation

(not in a unique manner),
MR being the Mueller matrix of an arbitrary retarder. Thus, the polarizing power of a retarder is given by
in such a manner that
PΩ = 0 when Δ = 0 (
M =
I) and
PΩ increases up to the maximal
PΩ = 1, which corresponds to Δ =
π (symmetric retarders [
3]).
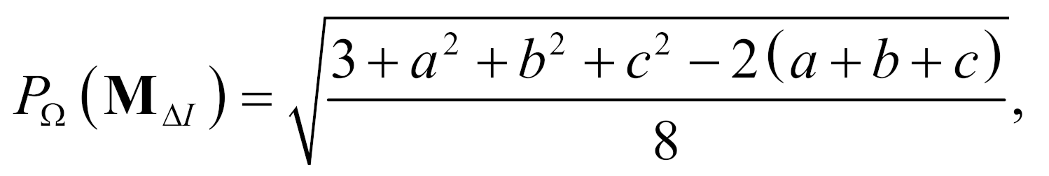
Intrinsic depolarizers
The Mueller matrices associated with depolarizing systems (
PΔ < 1) can have very different forms. Among them, we consider here the so-called intrinsic depolarizers, which have the simple diagonal form
MΔI =
m00 diag(1,
a,
b,
c) [
6,
24].
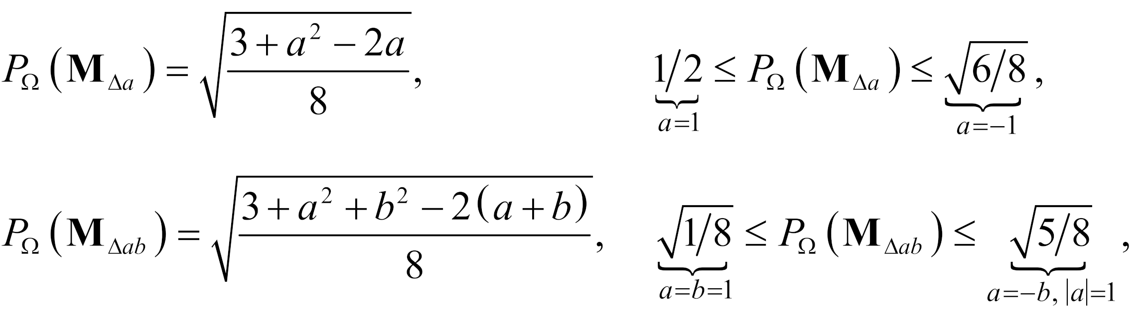
The covariance conditions imply the following set of inequalities corresponding to the nonnegativity of the eigenvalues of the associated coherency matrix
Thus,
in such a manner that, as expected, the minimum
PΩ(
MΔI) = 0 corresponds to
a =
b =
c = 1,
MΔI =
I), while the maximum

is achieved for perfect depolarizers (
a =
b =
c = 0) (recall that the covariance conditions imply |
a|≤ 1, |
b|≤ 1, |
c|≤ 1, besides no more than two diagonal elements of
MΔI can be negative).
Particular interesting examples beyond the above considered perfect depolarizer are the following
together with alternative forms obtained by permuting the diagonal elements of their 3 × 3 submatrices
m. The respective polarizing powers are
6. Conclusions
The parameter PΩ introduced as a measure of the overall polarizing power of a medium (or interaction) represented by any kind of Mueller matrix M, involves all non-neutral polarimetric effects of M on the polarization states of incident electromagnetic waves, including enpolarizance, retardance and depolarization. From the natural definition of PΩ as the normalized distance from M to the identity matrix I, the different contributions to the polarizing power are combined in an unbiased and peculiar manner.
The polarizing power space represented in
Figure 1, illustrates the main features and physically achievable values of
PΩ. As occurs with other relevant polarimetric quantities,
PΩ is fully determined from
M and it is invariant under single retarder transformations (including rotations of the Cartesian laboratory coordinate system) and under the replacement of
M (forward Mueller matrix) by
Mr (reverse Mueller matrix). Thus,
PΩ provides deeper insight in the interpretation of the information held by a measured Mueller matrix and also admits its application in imaging Mueller polarimetry to generate new images based on the representation of the point-to-point values of
PΩ.
Funding
This research received no external funding.
Informed Consent Statement
Not applicable.
Conflicts of Interest
The author declare no conflict of interest.
References
- S.-Y. Lu and R. A. Chipman, “Homogeneous and inhomogeneous Jones matrices,” J. Opt. Soc. Am. A 11, 766-773 (1993).
- J. J. Gil, “Polarimetric characterization of light and media. Physical quantities involved in polarimetric phenomena,” Eur. Phys. J. Appl. Phys. 40, 1–47 (2007).
- J. J. Gil, R. Ossikovski. Polarized light and the Mueller matrix approach, 2nd Ed. CRC Press, Boca Raton, 2022.
- B. A. Robson. The Theory of Polarization Phenomena. Clarendon Press, Oxford, 1975.
- Z-F Xing, “On the deterministic and non-deterministic Mueller matrix,” J. Mod Opt. 39, 461-484 (1992).
- S.-Y. Lu and R. A. Chipman, “Interpretation of Mueller matrices based on polar decomposition,” J. Opt. Soc. Am. A 13, 1106–1113 (1996).
- J. J. Gil, “Characteristic properties of Mueller matrices,” J. Opt. Soc. Am A 17, 328-34 (2000).
- I. San José, J.J. Gil, “Characterization of passivity in Mueller matrices,” J. Opt. Soc. Am A 37, 199-208 (2020).
- S. R. Cloude, “Group theory and polarization algebra,” Optik 75, 26–36 (1986).
- J. J. Gil, E. Bernabéu, “Depolarization and polarization indices of an optical system” Opt. Acta 33, 185-189 (1986).
- J. J. Gil, “Transmittance constraints in serial decompositions of Mueller matrices. The arrow form of a Mueller matrix,” J. Opt. Soc. Am. A 30, 701-707 (2013).
- J. J. Gil, “Components of purity of a Mueller matrix,” J. Opt. Soc. Am. A 28, 1578-1585 (2011).
- J. J. Gil, “Thermodynamic reversibility in polarimetry,” Photonics, 9, 650 (2022).
- J. J. Gil, “Structure of polarimetric purity of a Mueller matrix and sources of depolarization,” Opt. Commun. 368, 165-173 (2016).
- O. Arteaga, E. García-Caurel and R. Ossikovski, “Anisotropy coefficients of a Mueller matrix,” J. Opt. Soc. Am. A, 28, 548-553 (2011).
- I. San José and J. J. Gil, “Invariant indices of polarimetric purity: Generalized indices of purity for n×n covariance matrices,” Opt. Commun. 284, 38–47 (2011).
- Z. Sekera, “Scattering Matrices and Reciprocity Relationships for Various Representations of the State of Polarization,” J. Opt. Soc. Am. 56, 1732-1740 (1966).
- A. Schönhofer, H. -G. Kuball, “Symmetry properties of the Mueller matrix,” Chem. Phys. 115, 159-167 (1987).
- J. J. Gil, “Invariant quantities of a Mueller matrix under rotation and retarder transformations,” J. Opt. Soc. Am. A 33, 52-58 (2016).
- J. J. Gil and I. San José, “Two-vector representation of a nondepolarizing Mueller matrix,” Opt. Commun. 374, 133-141 (2016).
- R.M.A. Azzam and N.M. Bashara. Ellipsometry and polarized light. North Holland, Amsterdam, 1977.
- T. Tudor, A. Gheondea, “Pauli algebraic forms of normal and non-normal operators,” J. Opt. Soc. Am. A 24 204–210 (2007).
- T. Tudor, “Interaction of light with the polarization devices: a vectorial Pauli algebraic approach,” J. Phys. A-Math. Theor. 41. 41530 (2008).
- R. Ossikovski, “Canonical forms of depolarizing Mueller matrices,” J. Opt. Soc. Am. A 27, 123–130 (2010).
|
Disclaimer/Publisher’s Note: The statements, opinions and data contained in all publications are solely those of the individual author(s) and contributor(s) and not of MDPI and/or the editor(s). MDPI and/or the editor(s) disclaim responsibility for any injury to people or property resulting from any ideas, methods, instructions or products referred to in the content. |
© 2024 by the authors. Licensee MDPI, Basel, Switzerland. This article is an open access article distributed under the terms and conditions of the Creative Commons Attribution (CC BY) license (http://creativecommons.org/licenses/by/4.0/).