Submitted:
15 March 2024
Posted:
18 March 2024
You are already at the latest version
Abstract
Keywords:
1. Introduction
2. Materials and Methods
2.1. Area Study
2.2. Selection of AFS Cocoa
2.3. Of the Diversity of Forest Species Associated with Cocoa AFSs
- Frequency
- Wealth
- Species Accumulation Curve
- Abundance Range Curve
- Value Index (IVI)
2.4. Economic Assessment of Conventional and Forested Agroforestry Systems
- Expenses
- Revenue
- Assumptions
- Economic Indicators
- Cash flow from agroforestry systems
Composition and Spatial Distribution of Trees in AFS With Cocoa
- Data analysis
3. Results
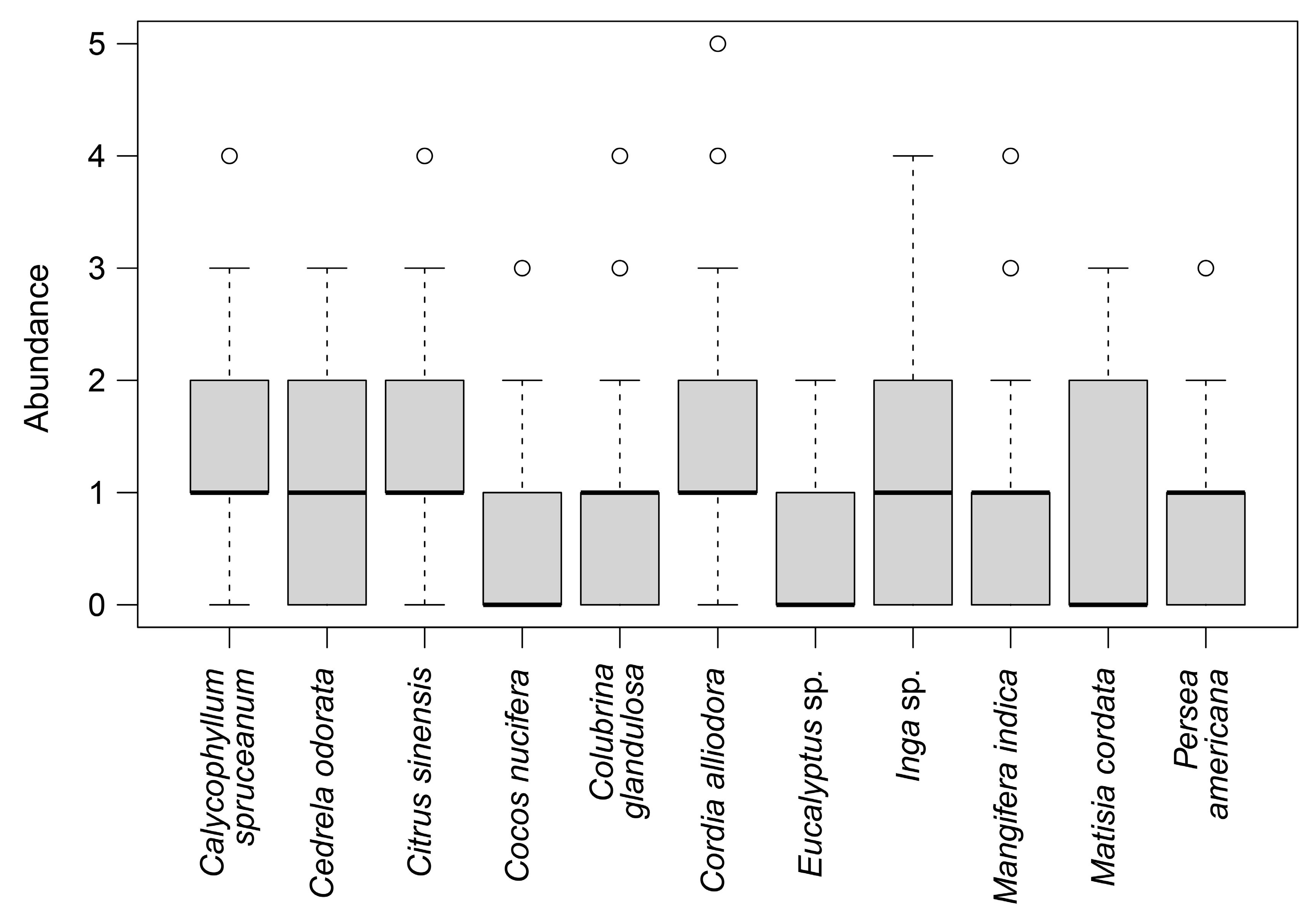
3.1. Evaluation of the Diversity of Species Associated with Cocoa AFSs
3.2. Economic Analysis
4. Discussion
- Characterization of AFSs
- Economic analysis
- ShadeMotion
5. Conclusions
Supplementary Materials
Author Contributions
Funding
Data Availability Statement
Acknowledgments
Conflicts of Interest
References
- Van Noordwijk, M.; Speelman, E.; Hofstede, G.J.; Farida, A.; Abdurrahim, A.Y.; Miccolis, A.; Hakim, A.L.; Wamucii, C.N.; Lagneaux, E.; Andreotti, F.; et al. Sustainable Agroforestry Landscape Management: Changing the Game. Land 2020, Vol. 9, Page 243 2020, 9, 243. [Google Scholar] [CrossRef]
- Nelson, V.; Phillips, D. Sector, Landscape or Rural Transformations? Exploring the Limits and Potential of Agricultural Sustainability Initiatives through a Cocoa Case Study. Bus Strategy Environ 2018, 27, 252–262. [Google Scholar] [CrossRef]
- Andrieu, J.; Lombard, F.; Fall, A.; Thior, M.; Ba, B.D.; Dieme, B.E.A. Botanical Field-Study and Remote Sensing to Describe Mangrove Resilience in the Saloum Delta (Senegal) after 30 Years of Degradation Narrative. For Ecol Manage 2020, 461, 117963. [Google Scholar] [CrossRef]
- Andreotti, G.; Koutros, S.; Hofmann, J.N.; Sandler, D.P.; Lubin, J.H.; Lynch, C.F.; Lerro, C.C.; De Roos, A.J.; Parks, C.G.; Alavanja, M.C.; et al. Glyphosate Use and Cancer Incidence in the Agricultural Health Study. J Natl Cancer Inst 2018, 110, 509–516. [Google Scholar] [CrossRef]
- Andreotti, F.; Speelman, E.N.; Van den Meersche, K.; Allinne, C. Combining Participatory Games and Backcasting to Support Collective Scenario Evaluation: An Action Research Approach for Sustainable Agroforestry Landscape Management. Sustain Sci 2020, 15, 1383–1399. [Google Scholar] [CrossRef]
- Saj, S.; Jagoret, P.; Etoa, L.E.; Eteckji Fonkeng, E.; Tarla, J.N.; Essobo Nieboukaho, J.D.; Mvondo Sakouma, K. Lessons Learned from the Long-Term Analysis of Cacao Yield and Stand Structure in Central Cameroonian Agroforestry Systems. Agric Syst 2017, 156, 95–104. [Google Scholar] [CrossRef]
- Sauvadet, M.; den Meersche, K. Van; Allinne, C.; Gay, F.; de Melo Virginio Filho, E.; Chauvat, M.; Becquer, T.; Tixier, P.; Harmand, J.M. Shade Trees Have Higher Impact on Soil Nutrient Availability and Food Web in Organic than Conventional Coffee Agroforestry. Science of The Total Environment 2019, 649, 1065–1074. [Google Scholar] [CrossRef]
- Tscharntke, T.; Clough, Y.; Bhagwat, S.A.; Buchori, D.; Faust, H.; Hertel, D.; Hölscher, D.; Juhrbandt, J.; Kessler, M.; Perfecto, I.; et al. Multifunctional Shade-Tree Management in Tropical Agroforestry Landscapes – a Review. Journal of Applied Ecology 2011, 48, 619–629. [Google Scholar] [CrossRef]
- Vanhove, W.; Vanhoudt, N.; Van Damme, P. Effect of Shade Tree Planting and Soil Management on Rehabilitation Success of a 22-Year-Old Degraded Cocoa (Theobroma Cacao L.) Plantation. Agric Ecosyst Environ 2016, 219, 14–25. [Google Scholar] [CrossRef]
- Asigbaase, M.; Sjogersten, S.; Lomax, B.H.; Dawoe, E. Tree Diversity and Its Ecological Importance Value in Organic and Conventional Cocoa Agroforests in Ghana. PLoS One 2019, 14, e0210557. [Google Scholar] [CrossRef]
- Pfenning, L.H.; de Abreu, L.M. Diversity of Microfungi in Tropical Soils. Soil Biodiversity in Amazonian and other Brazilian Ecosystems 2006, 184–205. [Google Scholar] [CrossRef]
- MIDAGRI; Observatorio de Commodities. Ministerio de Desarrollo Agrario y Riego 2023. https://hdl.handle.net/20.500.13036/1406. 1303.
- Sanial, E.; Fountain, A.C.; H., H.; Jezeer, R. Agroforestry in the Cocoa Sector - A Need for Ambitious Collaborative Landscape Approaches. Cocoa Barometer 2020. [Google Scholar]
- Goñas, M.; Rojas-Briceño, N.B.; Culqui-Gaslac, C.; Arce-Inga, M.; Marlo, G.; Pariente-Mondragón, E.; Oliva-Cruz, M. Carbon Sequestration in Fine Aroma Cocoa Agroforestry Systems in Amazonas, Peru. Sustainability 2022, 14, 9739. [Google Scholar] [CrossRef]
- Goñas, M.; Rubio, K.B.; Rojas Briceño, N.B.; Pariente-Mondragón, E.; Oliva-Cruz, M. Tree Diversity in Agroforestry Systems of Native Fine-Aroma Cacao, Amazonas, Peru. PLoS One 2022, 17, e0275994. [Google Scholar] [CrossRef]
- Braga, D.P.P.; Domene, F.; Gandara, F.B. Shade Trees Composition and Diversity in Cacao Agroforestry Systems of Southern Pará, Brazilian Amazon. Agroforestry Systems 2019, 93, 1409–1421. [Google Scholar] [CrossRef]
- Arévalo-Gardini, E.; Canto, M.; Alegre, J.; Arévalo-Hernández, C.O.; Loli, O.; Julca, A.; Baligar, V. Cacao Agroforestry Management Systems Effects on Soil Fungi Diversity in the Peruvian Amazon. Ecol Indic 2020, 115, 106404. [Google Scholar] [CrossRef]
- Lagneaux, E.; Andreotti, F.; Neher, C.M. Cacao, Copoazu and Macambo: Exploring Theobroma Diversity in Smallholder Agroforestry Systems of the Peruvian Amazon. Agroforestry Systems 2021, 95, 1359–1368. [Google Scholar] [CrossRef]
- Yner, F. Dasometría Apuntes de Clase y Guía de Actividades Prácticas; 1st ed.; Cochabamba 2014.
- Cottam, G.; Curtis, J.T. The Use of Distance Measures in Phytosociological Sampling. Ecology 1956, 37, 451–460. [Google Scholar] [CrossRef]
- Mueller, D.; D y Ellenberg, H. Composición florística y cambio en la diversidad de especies a largas escalas temporales en el área del proyecto hidroeléctrico Upper Bhotekoshi en Nepal. Scientific Research 1974. Available online: https://www.scirp.org/reference/ReferencesPapers?ReferenceID=1651228.
- Becerra, A. Becerra, A. Estudio Técnico-Económico de Un Sistema Agroforestal Mejorado de Cacao (Theobroma cacao) y Bolaina (Guazuma crinita) En Tingo María. Universidad Nacional Agraria La Molina 2016. Available online: https://hdl.handle.net/20.500.12996/2630.
- Zavala, W.; Merino, E. ; Pedro Peláez, ; Influencia de Tres Sistemas Agroforestales Del Cultivo de Cacao En La Captura y Almacenamiento de Carbono. Scientia Agropecuaria 2018, 9, 493–501. [Google Scholar] [CrossRef]
- Somarriba, E.; Orozco-Aguilar Fundación NicaFrance, L.; La Cumplida Aurelio Somarriba, F. Shade Canopy Density Variables in Cocoa and Coffee Agroforestry Systems. ResearchGate 2023. [Google Scholar] [CrossRef]
- Sales, A.L.; Depaula, J.; Mellinger Silva, C.; Cruz, A.; Lemos Miguel, M.A.; Farah, A. Effects of Regular and Decaffeinated Roasted Coffee (Coffea Arabica and Coffea Canephora) Extracts and Bioactive Compounds on in Vitro Probiotic Bacterial Growth. Food Funct 2020, 11, 1410–1424. [Google Scholar] [CrossRef] [PubMed]
- Abada Mbolo, M.M.; Zekeng, J.C.; Mala, W.A.; Fobane, J.L.; Djomo Chimi, C.; Ngavounsia, T.; Nyako, C.M.; Menyene, L.F.E.; Tamanjong, Y.V. The Role of Cocoa Agroforestry Systems in Conserving Forest Tree Diversity in the Central Region of Cameroon. Agroforestry Systems 2016, 90, 577–590. [Google Scholar] [CrossRef]
- Vebrova, H.; Lojka, B.; Husband, T.P.; Zans, M.E.C.; Van Damme, P.; Rollo, A.; Kalousova, M. Tree Diversity in Cacao Agroforests in San Alejandro, Peruvian Amazon. Agroforestry Systems 2014, 88, 1101–1115. [Google Scholar] [CrossRef]
- Schroth, G.; Garcia, E.; Griscom, B.W.; Teixeira, W.G.; Barros, L.P. Commodity Production as Restoration Driver in the Brazilian Amazon? Pasture Re-Agro-Forestation with Cocoa ( Theobroma Cacao) in Southern Pará. Sustain Sci 2016, 11, 277–293. [Google Scholar] [CrossRef]
- Deheuvels, O.; Avelino, J.; Somarriba, E.; Malezieux, E. Vegetation Structure and Productivity in Cocoa-Based Agroforestry Systems in Talamanca, Costa Rica. Agric Ecosyst Environ 2012, 149, 181–188. [Google Scholar] [CrossRef]
- Valencia, V.; Naeem, S.; García-Barrios, L.; West, P.; Sterling, E.J. Conservation of Tree Species of Late Succession and Conservation Concern in Coffee Agroforestry Systems. Agric Ecosyst Environ 2016, 219, 32–41. [Google Scholar] [CrossRef]
- Sonwa, D.J.; Weise, S.F.; Schroth, G.; Janssens, M.J.J. ; Howard-Yana Shapiro Plant Diversity Management in Cocoa Agroforestry Systems in West and Central Africa—Effects of Markets and Household Needs. Agroforestry Systems 2014, 88, 1021–1034. [Google Scholar] [CrossRef]
- Ofori-Bah, A.; Asafu-Adjaye, J. Scope Economies and Technical Efficiency of Cocoa Agroforesty Systems in Ghana. Ecological Economics 2011, 70, 1508–1518. [Google Scholar] [CrossRef]
- Cerda, R.; Deheuvels, O.; Calvache, D.; Niehaus, L.; Saenz, Y.; Kent, J.; Vilchez, S.; Villota, A.; Martinez, C.; Somarriba, E. Contribution of Cocoa Agroforestry Systems to Family Income and Domestic Consumption: Looking toward Intensification. Agroforestry Systems 2014, 88, 957–981. [Google Scholar] [CrossRef]
- Miribug, G. La UE y Su Intento de Frenar La Deforestación: Algunas Reflexiones Críticas Sobre La Nueva Propuesta de La Comisión. Revisión de la legislación europea sobre alimentos y piensos (EFFL) 2022, 17. [Google Scholar]
- Mortimer, R.; Saj, S.; David, C. Supporting and Regulating Ecosystem Services in Cacao Agroforestry Systems. Agroforestry Systems 2018, 92, 1639–1657. [Google Scholar] [CrossRef]







| Species | Relative Density | Frequency Relative | Relative Coverage | IVI |
|---|---|---|---|---|
| Cordia alliodora | 8.72% | 1.15% | 8.72% | 18.58% |
| Calycophyllum spruceanum | 8.26% | 1.15% | 8.26% | 17.66% |
| Citrus sinensis | 6.88% | 1.15% | 6.88% | 14.91% |
| Cedrela odorata | 6.57% | 1.15% | 6.57% | 14.30% |
| Mangifera indica | 5.96% | 1.15% | 5.96% | 13.08% |
| Inga sp. | 5.81% | 1.15% | 5.81% | 12.77% |
| Persea americana | 5.81% | 1.15% | 5.81% | 12.77% |
| Matisia cordata | 4.59% | 1.15% | 4.59% | 10.32% |
| Colubrina glandulosa | 4.13% | 1.15% | 4.13% | 9.41% |
| Swietenia macrophylla | 3.82% | 1.15% | 3.82% | 8.79% |
| Cocos nucifera | 3.21% | 1.15% | 3.21% | 7.57% |
| Eucalyptus sp. | 2.60% | 1.15% | 2.60% | 6.35% |
| Guazuma crinita | 1.83% | 1.15% | 1.83% | 4.82% |
| Ocotea sp. | 1.53% | 1.15% | 1.53% | 4.21% |
| Hura crepitans | 1.38% | 1.15% | 1.38% | 3.90% |
| Grevillea robusta | 1.22% | 1.15% | 1.22% | 3.60% |
| Artocarpus altilis | 1.07% | 1.15% | 1.07% | 3.29% |
| Citrus limetta | 1.07% | 1.15% | 1.07% | 3.29% |
| Citrus reticulata | 1.07% | 1.15% | 1.07% | 3.29% |
| Croton cf. draconoides | 1.07% | 1.15% | 1.07% | 3.29% |
| Averrhoa carambola | 0.92% | 1.15% | 0.92% | 2.98% |
| Cedrelinga cateniformis | 0.92% | 1.15% | 0.92% | 2.98% |
| Guadua sp. | 0.92% | 1.15% | 0.92% | 2.98% |
| Annona muricata | 0.76% | 1.15% | 0.76% | 2.68% |
| Aspidosperma polyneuron | 0.76% | 1.15% | 0.76% | 2.68% |
| Profitability Indicators | Conventional AFS | AFS with design |
| Discount rate | 20% | 20% |
| NPV | 28099 | 27466 |
| IRR | 24% | 28% |
Disclaimer/Publisher’s Note: The statements, opinions and data contained in all publications are solely those of the individual author(s) and contributor(s) and not of MDPI and/or the editor(s). MDPI and/or the editor(s) disclaim responsibility for any injury to people or property resulting from any ideas, methods, instructions or products referred to in the content. |
© 2024 by the authors. Licensee MDPI, Basel, Switzerland. This article is an open access article distributed under the terms and conditions of the Creative Commons Attribution (CC BY) license (http://creativecommons.org/licenses/by/4.0/).




