Submitted:
12 March 2024
Posted:
13 March 2024
You are already at the latest version
Abstract
Keywords:
1. Introduction
2. Materials and Methods
2.1. Production of liquid whey concentrates
2.2. Manufacture of whey cheeses
2.3. Physicochemical analysis
2.3.1. pH and titratable acidity
2.3.2. Color parameters
2.3.3. Rheological parameters
2.3.4. Texture parameters
2.4. Microbiological analysis
2.5. Sensory analysis
2.6. Statistical analysis
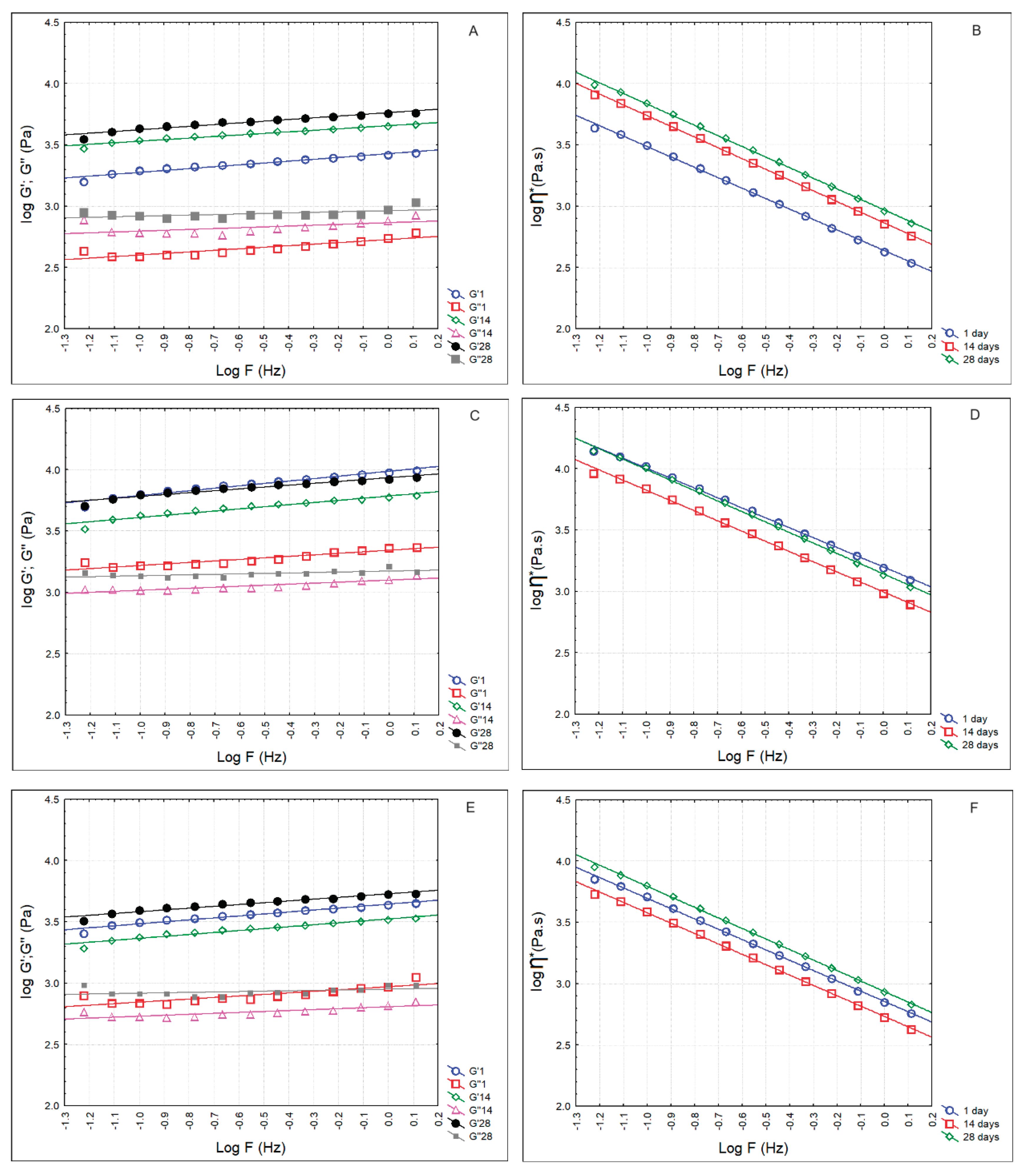
3. Results
| Products/Storage Time | C | LA5 | LA5FQ4 |
| 1 day | y = 2.637 – 0.849*x | y = 3.200 – 0.808*x | y = 2.855 – 0.842*x |
| 14 days | y = 2.863 – 0.876*x | y = 2.996 – 0.830*x | y = 2.733 – 0.846*x |
| 28 days | y = 2.969 – 0.864*x | y = 3.143 – 0.852*x | y = 2.936 – 0.859*x |
4. Discussion
5. Conclusions
Supplementary Materials
Author Contributions
Funding
Data Availability Statement
Conflicts of Interest
References
- Pintado, M.E.; Lopes da Silva, J.A.; Malcata, F.X. Characterization of Requeijão and technological optimization of its manufacturing process. J. Food Eng. 1996, 30, 363–376. [Google Scholar] [CrossRef]
- Pintado, M.E.; Malcata, F.X. Characterization of whey cheese packaged under vacuum. J. Food Prot. 2000, 63, 216–221. [Google Scholar] [CrossRef] [PubMed]
- Mollea, C.; Marmo, L.; Bosco, F. Valorisation of cheese whey, a by-product from the dairy industry. In Food Industry; IntechOpen: London, UK, 2013; pp. 549–588. [Google Scholar]
- Pires, A.F.; Marnotes, N.G.; Rubio, O.D.; Garcia, A.C.; Pereira, C. D. Dairy by-products: a review on the valorization of whey and second cheese whey. Foods 2021, 10, 1067. [Google Scholar] [CrossRef]
- Pintado, M.E.; Macedo, A.C.; Malcata, F.X. Review: technology, chemistry and microbiology of whey cheeses. Food Sci. Technol. Int. 2001, 7, 105–116. [Google Scholar] [CrossRef]
- Garcia, M.M.E.; Pereira, C.J.D.; Freitas, A.C.; Gomes, A.M.P.; Pintado, M.M.E. Development and characterization of a novel sustainable probiotic goat whey cheese containing second cheese whey powder and stabilized with thyme essential oil and sodium citrate. Foods 2022, 11, 2698. [Google Scholar] [CrossRef] [PubMed]
- Pereira, C.D.; Diaz, O.; Cobos, A. Impact of ovine whey protein concentrates and clarification by-products on the yield and quality of whey cheese. Food Technol. Biotechnol. 2007, 45, 32–37. [Google Scholar]
- Maragkoudakis, P.; Vendramin, V.; Bovo, B.; Treu, L.; Corich, V.; Giacomini, A. Potential use of scotta, the by-product of the ricotta cheese manufacturing process, for the production of fermented drinks. J. Dairy Res. 2016, 83, 104–108. [Google Scholar] [CrossRef]
- Henriques, M.; Gomes, D.; Pereira, C. Liquid whey protein concentrates produced by ultrafiltration as primary raw materials for thermal dairy gels. Food Technol. Biotechnol. 2017, 55, 454–463. [Google Scholar] [CrossRef]
- Henriques, M.H.F.; Gomes, D.; Borges, A.R.; Pereira, C.J.D. Liquid whey protein concentrates as primary raw material for acid dairy gels. Food Sci. Tech. 2019, 40, 361–369. [Google Scholar] [CrossRef]
- Pires, A.F.; Marnotes, N.G.; Bella, A.; Viegas, J.; Gomes, D.M.; Henriques, M.H.F.; Pereira, C.J.D. Use of ultrafiltrated cow’s whey for the production of whey cheese with Kefir or probiotics. J. Sci. Food Agr. 2020, 101, 555–563. [Google Scholar] [CrossRef]
- Marnotes, N.G.; Pires, A.F.; Díaz, O.; Cobos, A.; Pereira, C.D. Sheep’s and goat’s frozen yoghurts produced with ultrafiltrated whey concentrates. Appl. Sci. 2021, 11, 6568. [Google Scholar] [CrossRef]
- Pires, A.; Gomes, D.; Noronha, J.; Díaz, O.; Cobos, A.; Pereira, C.D. Evaluation of the characteristics of sheep’s and goat’s ice cream, produced with UF concentrated second cheese whey and different starter cultures. Foods 2022, 11, 4091. [Google Scholar] [CrossRef]
- Pires, A.; Tan, G.; Gomes, D.; Pereira-Dias, S.; Díaz, O.; Cobos, A.; Pereira, C. Application of ultrafiltration to produce sheep’s and goat’s whey-based synbiotic kefir products. Membranes 2023, 13, 473. [Google Scholar] [CrossRef]
- Monti, L.; Donati, E.; Zambrini, A.V.; Contarini, G. Application of membrane technologies to bovine Ricotta cheese exhausted whey (scotta). Int. Dairy J. 2018, 85, 121–128. [Google Scholar] [CrossRef]
- Ceren Akal, H. Transglutaminase induced whey cheese production: impact of different ratios on yield, texture, and sensory properties. Mljekarstvo 2023, 73, 225–237. [Google Scholar] [CrossRef]
- Temíz, H.; Aykut, U.; Hurşít, A.K. Shelf life of Turkish whey cheese (lor) under modified atmosphere packaging. Int. J. Dairy Technol. 2009, 62, 378–386. [Google Scholar] [CrossRef]
- Papaioannou, G.; Chouliara, I.; Karatapanis, A.E.; Kontominas, M.G.; Savvaidis, I.M. Shelf-life of a Greek whey cheese under modified atmosphere packaging. Int. Dairy J. 2007, 17, 358–364. [Google Scholar] [CrossRef]
- Irkin, R. Shelf-life of unsalted and light Lor whey cheese stored under various packaging conditions microbiological and sensory attributes. J. Food Process. Preserv. 2011, 35, 163–178. [Google Scholar] [CrossRef]
- Arvanitoyannis, I.; Kargaki, G.K.; Hadjichristodoulou, C. Effect of three MAP compositions on the physical and microbiological properties of a low-fat Greek cheese known as “Anthotyros”. Anaerobe 2011, 17, 295–297. [Google Scholar] [CrossRef] [PubMed]
- Dimitrellou, D.; Kandylis, P.; Kourkoutas, Y.; Kanellaki, M. Novel probiotic whey cheese with immobilized lactobacilli on casein. LWT 2017, 86, 627–634. [Google Scholar] [CrossRef]
- Irkin, R.; Yalcin, O. The potential use of probiotic strains lactobacillus acidophilus nrrl b 4495, Bifidobacterium bifidum nrrl b41410 in “lor whey cheese” and the effects on sensory properties. Acta Sci. Pol. Technol. Aliment. 2017, 16, 181–189. [Google Scholar] [CrossRef]
- Carrero-Puentes, S.; Fuenmayor, C.; Jiménez-Pérez, C.; Guzmán-Rodríguez, F.; Gómez-Ruiz, L.; Rodríguez-Serrano, G.; Alatorre-Santamaría, S.; García-Garibay, M.; Cruz-Guerrero, A. Development and characterization of an exopolysaccharide-functionalized acid whey cheese (requesón) using Lactobacillus delbrueckii ssp. bulgaricus. J. Food Proc. Pres. 2022, 46, e16095. [Google Scholar] [CrossRef]
- Hilmi, M.; Prastujati, A.U.; Khusna, A.; Khirzin, M.H.; Yannuarista, D. Effects add kefir grains to whey cheese on chemical and microbiological qualities. J. Ilmu-Ilmu Peternakan 2019, 29, 46–55. [Google Scholar] [CrossRef]
- Kaminarides, S.; Aktypis, A.; Koronios, G.; Massouras, T.; Papanikolaou, S. Effect of in situ produced bacteriocin thermophilin T on the microbiological and physicochemical characteristics of Myzithra whey cheese. Int. J. Dairy Technol. 2018, 71, 213–222. [Google Scholar] [CrossRef]
- Spanu, C.; Piras, F.; Mocci, A.M.; Nieddu, G.; De Santis, E.P.L.; Scarano, C. Use of Carnobacterium spp protective culture in MAP packed Ricotta fresca cheese to control pseudomonas spp. Food Microbiol. 2018, 74, 50–56. [Google Scholar] [CrossRef] [PubMed]
- Madureira, A.R.; Gião, M.S.; Pintado, M.E.; Gomes, A.M.P.; Freitas, A.C.; Malcata, F.X. Incorporation and survival of probiotic bacteria in whey cheese matrices. J. Food Sci. 2005, 70. [Google Scholar] [CrossRef]
- Madureira, A.R.; Pereira, C.I.; Truszkowska, K.; Gomes, A.M.; Pintado, M.E.; Malcata, F.X. Survival of probiotic bacteria in a whey cheese vector submitted to environmental conditions prevailing in the gastrointestinal tract. Int. Dairy J. 2005, 15, 921–927. [Google Scholar] [CrossRef]
- Madureira, A.R.; Soares, J.C.; Pintado, M.E.; Gomes, A.M.P.; Freitas, A.C.; Malcata, F.X. Sweet whey cheese matrices inoculated with the probiotic strain Lactobacillus paracasei LAFTI® L26. Dairy Sci. Tech. 2008, 88, 649–665. [Google Scholar] [CrossRef]
- Madureira, A.R.; Brandão, T.; Gomes, A.M.; Pintado, M.E.; Malcata, F.X. Technological optimization of manufacture of probiotic whey cheese matrices. J. Food Sci. 2011, 76. [Google Scholar] [CrossRef]
- Madureira, A.R.; Pintado, M.E.; Gomes, A.M.P.; Malcata, F.X. Incorporation of probiotic bacteria in whey cheese: Decreasing the risk of microbial contamination. J. Food Prot. 2011, 74, 1194–1199. [Google Scholar] [CrossRef]
- Madureira, A.R.; Pintado, A.I.; Gomes, A.M.; Pintado, M.E.; Malcata, F.X. Rheological, textural and microstructural features of probiotic whey cheeses. LWT 2011, 44, 75–81. [Google Scholar] [CrossRef]
- Madureira, A.R.; Amorim, M.; Gomes, A.M.; Pintado, M.E.; Malcata, F.X. Protective effect of whey cheese matrix on probiotic strains exposed to simulated gastrointestinal conditions. Food Res. Int. 2011, 44, 465–470. [Google Scholar] [CrossRef]
- Madureira, A.R.; Soares, J.C.; Amorim, M.; Tavares, T.; Gomes, A.M.; Pintado, M.M.; Malcata, F.X. Bioactivity of probiotic whey cheese: Characterization of the content of peptides and organic acids. J. Sci. Food Agr. 2013, 93, 1458–1465. [Google Scholar] [CrossRef]
- NP 703:1982; Iogurte. Determinação do resíduo seco e do resíduo seco isento de gordura. (In Portuguese). Comissão Técnica-32: Lisboa, Portugal.
- NP 2105:1983; Queijos. Determinação do teor de matéria gorda. Técnica de Van Gulick. Processo Corrente. (In Portuguese). Direção Geral da Qualidade: Lisboa, Portugal.
- AOAC. Official Methods of Analysis of Association of Official Analytical Chemists, 16th ed.; AOAC: Rockville, MD, USA, 1997; Volume II, p. p.33. [Google Scholar]
- NP 701:1982; Iogurte. Determinação da acidez. Comissão Técnica-32. (In Portuguese). Direção Geral da Qualidade: Lisboa, Portugal.
- IDF 117:2003; Yoghurt-enumeration of characteristic microorganisms-colony-count technique at 37 °C. International Organization for Standardization: Geneva, Switzerland.
- IDF 94:2004; Milk and Milk Products-Enumeration of Colony-Forming Units of Yeasts and/or Moulds—Colony-Count Technique at 25 °C. International Organization for Standardization:: Geneva, Switzerland.
- Stone, H.; Sidel, J. Sensory Evaluation Practices, 3rd ed.; Food Science and Technology; Academic Press: New York, NY, USA, 2004. [Google Scholar]
- ISO 8587:1988; Sensory Analysis. Methodology. Ranking. Technical Committee ISO/TC 34/SC 12 Sensory Analysis. International Organization for Standardization: Geneva, Switzerland: Geneva, Switzerland.
- Tripathi, M.; Giri, S. ; Probiotic functional foods: survival of probiotics during processing and storage. J. Funct. Foods 2014, 9, 225–241. [Google Scholar] [CrossRef]
- Guarner, F.; Sanders, M.H.; Al, E. World Gastroenterology Organisation Global Guidelines, Probiotics and Prebiotics; World Gastroenterology Organisation: Milwaukee, WI, USA, 2023. [Google Scholar]







| Protein in dry matter (%w/w) |
Fat in dry matter (%w/w) |
Ashes in dry matter (%w/w) |
|
| C | 29.75 ± 2.07a | 21.07 ± 0.41a | 7.72 ± 0.79a |
| LA5 | 33.08 ± 4.59a | 24.41 ± 1.36b | 6.18 ± 0.47b |
| LA5FQ4 | 33.94 ± 0.06a | 24.24 ± 0.24b | 6.71 ± 0.38b |
| Two-way ANOVA | |||
| F | p value | ||
| Dry matter | Time | 7.70 | 0.000 |
| Product | 15.08 | 0.000 | |
| Interaction | 0.67 | 0.715 | |
| aw | Time | 27.85 | 0.000 |
| Product | 15.31 | 0.000 | |
| Interaction | 5.83 | 0.000 | |
| pH | Time | 45.81 | 0.000 |
| Product | 1118.10 | 0.000 | |
| Interaction | 11.34 | 0.000 | |
| Titratable acidity | Time | 368.49 | 0.000 |
| Product | 2508.79 | 0.000 | |
| Interaction | 109.05 | 0.000 | |
| ΔEab* values between products | |||||
| Storage time (days) | 1 | 7 | 14 | 21 | 28 |
| Products | |||||
| LA5 vs C | 0.54 | 15.24 | 5.19 | 0.87 | 0.82 |
| LA5FQ4 vs C | 12.24 | 47.75 | 6.03 | 0.04 | 16.52 |
| ΔEab* values for the same product at different storage days | |||||
| C | LA5 | LA5FQ4 | |||
| 7d vs 1d | 23.96 | 5.15 | 42.49 | ||
| 14d vs 7d | 6.27 | 5.25 | 13.29 | ||
| 21d vs 14d | 1.23 | 0.82 | 17.44 | ||
| 28d vs 21d | 4.58 | 6.25 | 2.91 | ||
| CIEL*a*b* color parameters | Two-way ANOVA | ||
| F | p value | ||
| L * | Time | 2.14 | 0.101 |
| Product | 1.84 | 0.176 | |
| Interaction | 5.81 | 0.000 | |
| a * | Time | 8.85 | 0.000 |
| Product | 0.21 | 0.815 | |
| Interaction | 3.71 | 0.004 | |
| b* | Time | 10.82 | 0.000 |
| Product | 2.66 | 0.087 | |
| Interaction | 2.38 | 0.041 | |
| Products | k (kPa.s) | n | r2 |
| C | 4.46 ± 1.45 | 0.972 ± 0.016 | 0.869 |
| LA5 | 11.72 ± 4.45 | 0.977 ± 0.089 | 0.875 |
| LA5FQ4 | 5.06 ± 0.92 | 0.989 ± 0.009 | 0.871 |
| Microbial groups | Two-way ANOVA | ||
| F | p value | ||
| Lactococci | Time | 68.77 | 0.000 |
| Product | 48.47 | 0.000 | |
| Interaction | 18.54 | 0.000 | |
| Lactobacilli | Time | 170.83 | 0.000 |
| Product | 23.10 | 0.000 | |
| Interaction | 10.77 | 0.000 | |
| Yeasts and Moulds | Time | 4.58 | 0.014 |
| Product | 14.13 | 0.000 | |
| Interaction | 8.31 | 0.000 | |
Disclaimer/Publisher’s Note: The statements, opinions and data contained in all publications are solely those of the individual author(s) and contributor(s) and not of MDPI and/or the editor(s). MDPI and/or the editor(s) disclaim responsibility for any injury to people or property resulting from any ideas, methods, instructions or products referred to in the content. |
© 2024 by the authors. Licensee MDPI, Basel, Switzerland. This article is an open access article distributed under the terms and conditions of the Creative Commons Attribution (CC BY) license (http://creativecommons.org/licenses/by/4.0/).