Submitted:
02 March 2024
Posted:
04 March 2024
You are already at the latest version
Abstract
Keywords:
1. Introduction
2. The Basic k- Model and the New Fundamental Model
- Conservation of mass:
2.1. Turbulent Diffusion in the Basic k- Model
2.2. Turbulent Diffusion in the Fundamentally Based Model
3. Equations for k and
- Basic k-ϵ model
- Fundamental model
- Basic k-ϵ model
4. Channel Flow
- Basic k-ϵ model
5. Testing the Diffusion Representations by DNS
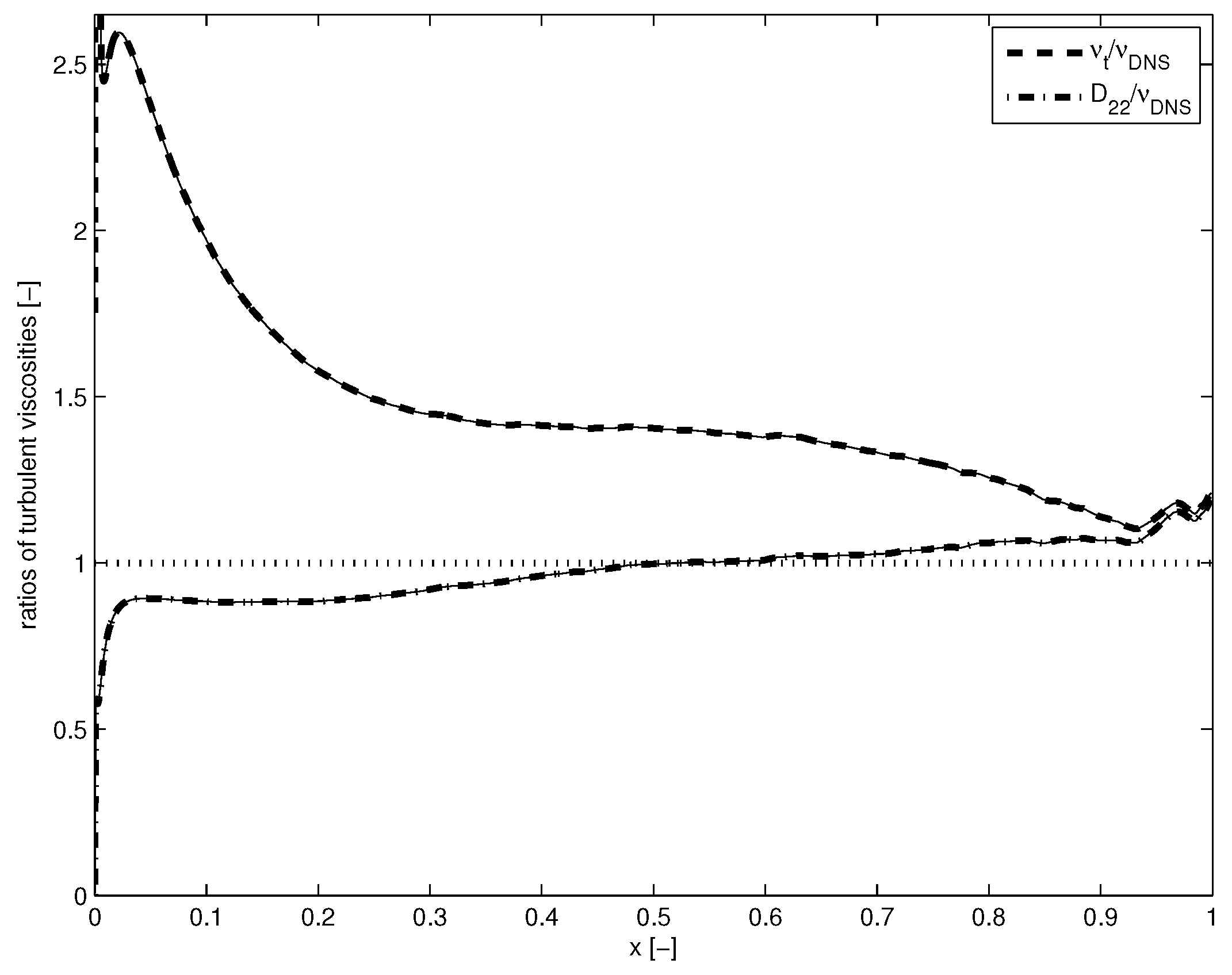
5.1. Diffusion of Momentum
5.2. Diffusion of Temperature
5.3. Diffusion of Kinetic Energy and Pressure
5.4. Diffusion of Energy Dissipation
6. Solutions of k and Compared with DNS
6.1. Equations and Boundary Conditions
- Basic k-ϵ model equations:
- Fundamental model equations:
6.2. Numerical Solution
6.3. Analytical Solution
6.3.1. Solutions for k and G in the Outer Region
- Basic k-ϵ model:
- Fundamental model:
- Basic k-ϵ model and Fundamental model:
6.3.2. Solutions for k in the Inner Region
- For the basic k- model:
6.3.3. Solutions for G in the Inner Region
6.4. Discussion of Results
- Analytical solutions agree in a satisfactory manner with numerical solutions. The analytical solutions reveal the relative contributions of turbulent diffusion, energy production and energy dissipation in outer and inner region of the channel. They show to what extent the descriptions are empirically or fundamentally based and depend on calibration factors.
- Solutions for k in the in the outer region according to the fundamental model do not depend on calibration constants. They have a fundamental basis. The differences with DNS can be ascribed to errors as a result of truncation in the expansion with respect to which underlies the fundamental model.
- Solutions for k in the inner region according to the fundamental model depend on the calibration factor .
- Solutions for k in both the outer and inner region according to the basic k- model depend on the calibration factors and .
- Solutions for G in the outer region according to the fundamental model and the basic k- model, and do not depend on calibration factors. Differences with DNS are due to some deviation between the value of production and dissipation in this area.
- Solutions for G in the inner region according to the fundamental model and the basic k- model, and respectively, depend on the calibration factors and .
- Using standard calibration constants in the solutions of the basic k- model results in notable deviations compared to DNS. The deviations can be reduced by recalibrating , and . Deviations between diffusion constants remain significant because of different functional dependencies: Figure 1, Figure 2 and Figure 3.
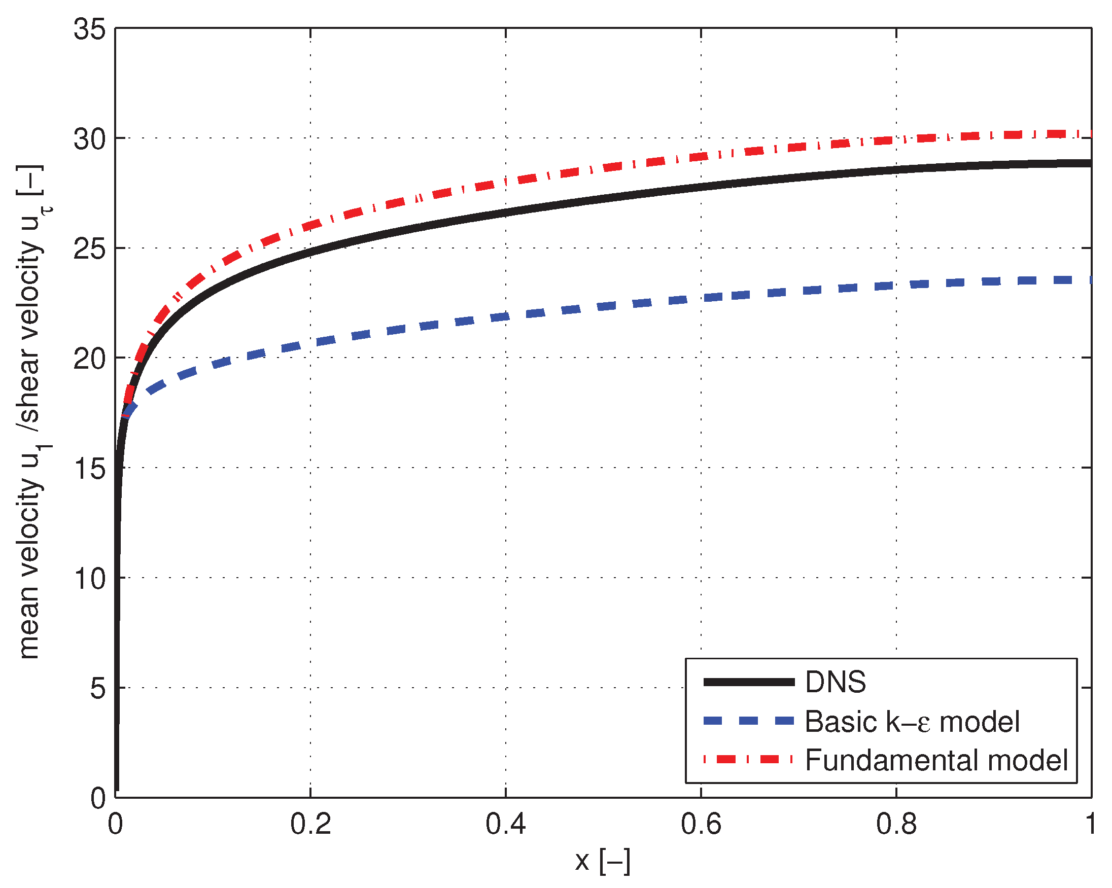
7. Velocity Distributions
8. Conclusions
Funding
Informed Consent Statement
Data Availability Statement
Acknowledgments
Conflicts of Interest
References
- Boussinesq, J. Mem.pres.par.div. savantis a l’acad. sci. de Paris, 1877, 23, 1, 1-680, 1877, 24, 2, 726-736.
- Taylor, G.I. Phil.Trans. 1915, A215, 1-26, and Proc.Roy.Soc.(London), 1932, A135, 685-701.
- Prandtl, L. Zeits. f. Math.u. Mech., 1925, 5, 136-139.
- Karman, Th. von. Nachr. Ges. Wiss. Goettingen, Math. Phys., 1930, Klasse 58-76.
- Hanjali´c, K.; Launder, B. Modelling Turbulence in Engineering and the Environment: Second-Moment Routes to Closure; Cambridge University Press: Cambridge, UK, 2011. [Google Scholar]
- Bernard, P.S.; Wallace, J.K. Turbulent Flow: Analysis, Measurement and Prediction; Wiley: New Jersey, NJ, USA, 2002. [Google Scholar]
- Brouwers, J.J.H. Statistical description of turbulent dispersion. Phys. Rev. E Stat. Nonlinear Soft Matter Phys. 2012, 86, 066309. [Google Scholar] [CrossRef] [PubMed]
- Brouwers, J.J.H. Statistical Models of Large Scale Turbulent Flow. Flow Turbul. Combust. 2016, 97, 369–399. [Google Scholar] [CrossRef]
- Brouwers, J.J.H. Statistical Descriptions of Inhomogeneous fundamentally based Turbulence Mathematics 2022, 10, 4619.
- Monin, A.S.; Yaglom, A.M. Statistical Fluid Mechanics, Vol II, Ch 8; Dover: New York, NY, USA, 2007. [Google Scholar]
- van Kampen, N.G. Stochastic Processes in Physics and Chemistry, 3rd ed.; Elsevier: New York, NY, USA, 2007. [Google Scholar]
- Stratonovich, R.L. Topics in the Theory of Random Noise; Gordon and Breach: New York, NY, USA, 1967; Volume 1. [Google Scholar]
- Hoyas, S.; Jiménez, J. Scaling of the velocity fluctuations in turbulent channels up to Re_τ=2003. Phys. Fluids 2006, 18, 011702. [Google Scholar] [CrossRef]
- Hoyas, S.; Oberlack, M.; Alcántara-Ávila, F.; Kraheberger, S.V.; Laux, J. Wall turbulence at high friction Reynolds numbers. Phys.Rev. Fluids 2022, 7, 014602. [Google Scholar] [CrossRef]
- Kuerten, J.; Brouwers, J.J.H. Lagrangian statistics of turbulent channel flow at Re_τ=950 calculated with direct numerical simulation and Langevin models. Phys. Fluids 2013, 25, 105108. [Google Scholar] [CrossRef]
- Kolmogorov, A. The Local Structure of Turbulence in Incompressible Viscous Fluid for Very Large Reynolds’ Numbers. Akad.Nauk. Sssr Dokl. 1941, 30, 301–305. [Google Scholar]
- George, W.K. The Decay of Homogeneous Isotropic Turbulence. Phys.Fluids A 1992, 4, 1492–1509. [Google Scholar] [CrossRef]
- Brouwers, J.J.H. Dissipation equals Production in the Log Layer of Wall Induced Turbulence. Phys.Fluids 2007, 19(10), 101702. [Google Scholar] [CrossRef]
- Lew,A.J.; Gustavo, C.; Carrica,B.; Carrida, P.M. Int. J. Computational Fluid Dynamics. 2001,14:3, 201-209. [CrossRef]
- Borse,G.J. Numerical Methods with Matlab, Ch.22, PWS Publishing, Boston, USA, 1997. ISBN 0534938221.
- Monin, A.S.; Yaglom, A.M. Statistical Fluid Mechanics, Vol I. Dover: New York, NY, USA, 2007.








| variable | basic k- model | fundamentally based model |
|---|---|---|
| Turbulent viscosity | Empirical Equation (23d) Significant deviations Figure 1 and Figure 2 | Fundamentally based Equation (24d) Satisfactory agreement: Figure 1 and Figure 2 |
| Turbulent diffusion of temperatures, smokes, aerosols | Empirical Equation (23c) Significant deviations similar to Figure 1 and Figure 2 | Fundamentally based Equation (24e) Satisfactory agreement similar to Figure 1 and Figure 2 |
| Tubulent diffusion of kinetic energy and pressure | Empirical Equation (26) Deviations Figure 3 | Empirical Equation (27) Satisfactory agreement Figure 3 |
| Mean value of kinetic energy | Empirical Equation (29) Deviations Figure 4 | In the outer half of the channel: fundamentally based Equation (55). In the inner half: empirical Equation (55). Satisfactory agreement Figure 4 |
| Mean value of energy dissipation rate | In the outer half of the channel: fundamentally based Equation (46) In the inner half: empirical Equation (55). Deviations: Figure 5 | In the outer half of the channel: fundamentally based Equation (46). In the inner half: empirical Equation (55). Satisfactory agreement: Figure 5 |
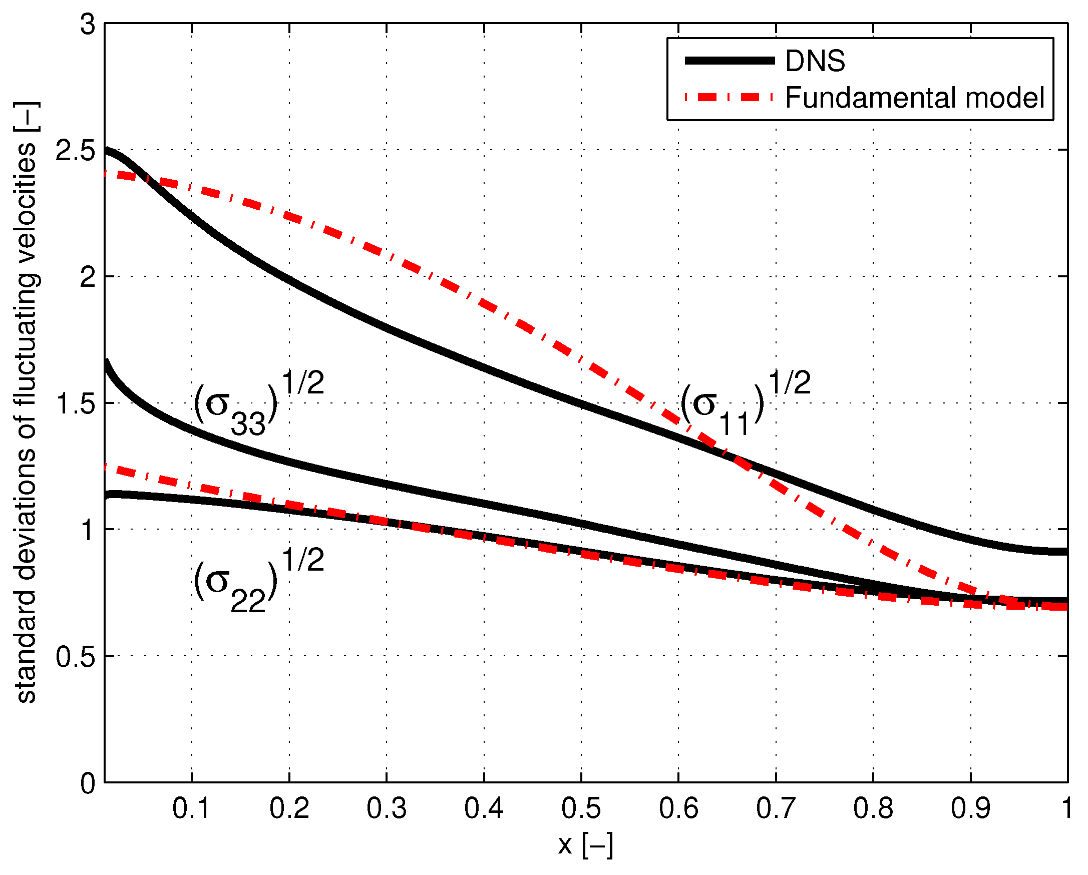
| RMS values of fluctuations | No prediction | Qualitative agreement Figure 6 |
| Mean value of velocity | Empirical Equation (61) Deviations Figure 7 and Figure 8 | Fundamentally based Equation (62) Satisfactory agreement Figure 7 and Figure 8 |
Disclaimer/Publisher’s Note: The statements, opinions and data contained in all publications are solely those of the individual author(s) and contributor(s) and not of MDPI and/or the editor(s). MDPI and/or the editor(s) disclaim responsibility for any injury to people or property resulting from any ideas, methods, instructions or products referred to in the content. |
© 2024 by the authors. Licensee MDPI, Basel, Switzerland. This article is an open access article distributed under the terms and conditions of the Creative Commons Attribution (CC BY) license (http://creativecommons.org/licenses/by/4.0/).