Submitted:
29 February 2024
Posted:
01 March 2024
You are already at the latest version
Abstract
Keywords:
1. Introduction
2. Optical Channel Capacity
- 1)
- depends on ASE and NLI noise and varies linearly with the symbol rate. For the parameters given in Table 1 we arrive to for , and =3.89 dBm for
- 2)
- The channel capacity increases linearly with the symbol rate and decreases linearly with the total link length.
3. Network Topology Model
4. Constrained Routing and Network Capacity
- 1)
-
Compute the shortest paths:
- Run the Dijkstra’s algorithm to find the shortest path between each source-destination node pair in the network (), considering the total path length as the metric that defines that computation.
- 2)
-
Order the traffic demands:
- Apply a specific sorting strategy (e.g., shortest-first, longest-first, largest-first) to order traffic demands . If the order is “shortest” the traffic demands are sorted by path length in ascending order, while for the “longest” order the traffic demands are sorted by path length in descending order. Furthermore, if the order is “largest” the traffic demands are sorted by their value in descending order.
- 3)
-
Route the demand, update link loads and assign a wavelength:
- For each traffic demand , in accordance with the order established in Step 2, route it through , updating the load (number of demands routed through the link) of each link in , and assign a wavelength to that optical channel (a wavelength being represented by an integer between 1 and ).
- 4)
-
Blocking:
- If, in Step 3, a link (or more than one) in doesn’t have enough residual capacity (which is defined as the difference between the link capacity and its load) or if a wavelength that fits all links of the path doesn’t exist (respecting the principle that two optical channels with the same wavelength cannot exist on the same link), then the traffic demand is blocked.
- 5)
-
Remove links and determine alternative shortest paths:
- After routing each traffic demand, remove all the links that have residual capacity zero from the weighted graph.
- With the updated topology, determine new shortest paths, as in Step 1, so that alternative paths are found for the remaining traffic demands.
- Go to Step 3, to route the next traffic demand.
5. Unconstrained Routing and Fiber Assignment
- 4)
-
Assign fibers when there is no traffic in a link:
- If there is no traffic in that link but the link does exist in the network’s physical topology, set
- 5)
-
Assign fibers when there is traffic in a link:
- Set , where is the number of repeated wavelengths in ,
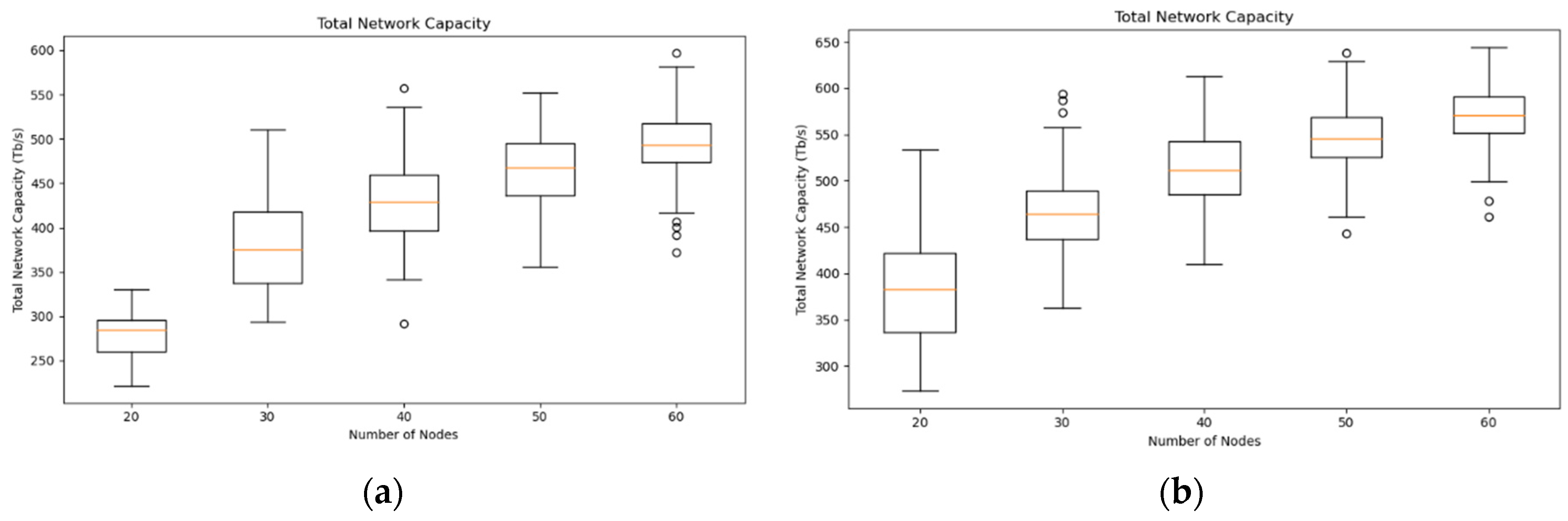
6. Results and Discussion
7. Conclusions
Funding
Data Availability Statement
Conflicts of Interest
References
- Winzer, P.J.; Neilson, D.T. From Scaling Disparities to Integrated Parallelism: A Decathlon for a Decade. J. Lightw.Technol. 2017, 35, 1099–1115. [Google Scholar] [CrossRef]
- Deng, N.; Zong, L.; Jiang, H.; Duan, Y.; Zhang, K. Challenges and Enabling Technologies for Multi-Band WDM Optical Networks. J. Lightw. Technol. 2022, 40, 3385–3394. [Google Scholar] [CrossRef]
- Shannon, C.E. A Mathematical Theory of Communication. The Bell System Technical J. 1948, 27, 379–423. [Google Scholar] [CrossRef]
- Essiambre, R.-J.; Tkach, R.W. Capacity Trends and Limits of Optical Communication Networks. Proceedings of the IEEE 2012, 100, 1035–1055. [Google Scholar] [CrossRef]
- Mitra, P.P.; Stark, J.B. Nonlinear limits to the information capacity of optical fiber communications. Nature 2001, 411, 1027–1030. [Google Scholar] [CrossRef] [PubMed]
- Essiambre, R.-J.; Kramer, G.; Winzer, P.J.; Foschini, G.J.; Goebel, B. Capacity limits of optical fiber networks. J. Lightw.Technol. 2010, 28, 662–701. [Google Scholar] [CrossRef]
- Pavan, C.; Morais, R.M.; Rocha, J.R.F.; Pinto, A.N. Generating Realistic Optical Transport Network Topologies. J. Opt. Commun. Netw. 2010, 2, 80–90. [Google Scholar] [CrossRef]
- Bosco, G.; Poggiolini, P.; Carena, A.; Curri, V.; Forghieri, F. Analytical results on channel capacity in uncompensated optical links with coherent detection. Opt. Express 2011, 19, B438–B449. [Google Scholar] [CrossRef] [PubMed]
- Poggiolini, P.; Bosco, G.; Carena, A.; Curri, V.; Jiang, Y.; Forghieri, F. The GN-Model of Fiber Non-Linear Propagation and its Applications. J. Lightw.Technol. 2014, 32, 694–721. [Google Scholar] [CrossRef]
- Bayvel, P.; Maher, R.; Xu, T.; Liga, G.; Shevchenko, N.A.; Lavery, D.; Alvarado, A.; Killey, R.I. Maximizing the optical network capacity. Phil. Trans. R. Soc A. 2016, 374, 2014044. [Google Scholar] [CrossRef]
- Mocozzi, A.; Essiambre, R.-J. Nonlinear Shannon Limit in Pseudolinear Coherent Systems. J. Lightw.Technol. 2012, 30, 2011–2024. [Google Scholar] [CrossRef]
- Ives, D.J.; Bayvel, P.; Savory, S.J. Routing, Modulation, Spectrum and Launch Power Assignment to Maximize the Traffic Throughput of a Nonlinear Optical Mesh Network. Photon. Netw. Commun. 2015, 29, 244–256. [Google Scholar] [CrossRef]
- Vincent, R.J.; Ives, D.J.; Savory, S.J. Scalable Capacity Estimation for Nonlinear Elastic All-Optical Core Networks. J. Lightw.Technol. 2019, 37, 5380–5391. [Google Scholar] [CrossRef]
- Matzner, R.; Semrau, D.; Luo, R.; Zervas, G.; Bayvel, P. Making intelligent topology design choices: understanding structural and physical property performance implications in optical networks. J. Opt. Commun. Netw. 2021, 13, D53–D67. [Google Scholar] [CrossRef]
- Higashimori, K.; Tanaka, T.; Inuzuka, F.; Ohara, T.; Inoue, T. Key physical topology features for optical backbone networks via a multilayer correlation. J. Opt. Commun. Netw. 2023, 15, B23–B32. [Google Scholar] [CrossRef]
- Pittalà, F.; Braun, R.-P.; Böcherer, G.; Schulte, P.; Schaedler, M.; Bettelli, S.; Calabrò, S.; Kuschnerov, M.; Gladisch, A.; Westphal, F.-J.; et al. 1.71 Tb/s Single-Channel and 56.51 Tb/s DWDM Transmission Over 96.5 km Field-Deployed SSMF. IEEE Photonics Techn. Lett. 2022, 34, 157–160. [Google Scholar] [CrossRef]
- Chen, X.; Raybon, G.; Che, D.; Cho, J.; Kim, K.W. Transmission of 200-GBaud PDM Probabilistically Shaped 64-QAM Signals Modulated via a 100-GHz Thin-film LiNbO3 I/Q Modulator. In Proceedings of the Optical Fiber Communications Conference, Washington DC, USA, 6-11 June 2021. Paper F3C.5. [Google Scholar]
- Carena, A.; Curri, V.; Bosco, G.; Poggiolini, P.; Forghieri, F. Modeling of the Impact of Nonlinear Propagation Effects in Uncompensated Optical Coherent Transmission Links. J. Lightw.Technol. 2012, 30, 1524–1539. [Google Scholar] [CrossRef]
- Poggiolini, P.; Jiang, Y.; Carena, A.; Bosco, G.; Forghieri, F. Analytical results on system maximum reach increase through symbol rate optimization. In Proceedings of the Optical Fiber Communications Conference, Los Angeles, USA, 22-26 March 2015. Paper Th3D. [Google Scholar]
- GEN120+ Coherent Trials and Deployments. Available online: https://cignal.ai/2023/11/gen120-coherent-trials-and-deployments/ (accessed on 16 January 2024).
- Pires, J.J.O.; O´Mahony, M.; Parnis, N.; Jones, E. Scaling limitations in full-mesh WDM ring networks using arrayed-waveguide grating OADMs. Electronics Letters 1999, 35, 73–75. [Google Scholar] [CrossRef]
- Kuipers, F.; Korkmaz, T.; Krunz, M.; Mieghem, P.V. An Overview of Constraint-Based Path Selection Algorithms for QoS Routing. IEEE Comm. Mag. 2003, 40, 50–55. [Google Scholar] [CrossRef]
- Zang, H.; Jue, J.P.; Mukherjee, B. A Review of Routing and Wavelength Assignment Approaches for Wavelength-Routed Optical WDM Networks. Opti. Netw. Mag. 2000, 47–60. [Google Scholar]
- Souza, A.; Correia, B.; Costa, N.; Pedro, J.; Pires, J. Accurate and scalable quality of transmission estimation for wideband opti-672 cal systems. In Proceedings of the IEEE International Workshop on Computer-Aided Modeling Analysis and Design of Communication Links and Networks, 25–27 October 2021. [Google Scholar]
- Çetinkaya, E.K.; Alenazi, M.J.F.; Cheng, Y.; Peck, A.M.; Sterbenz, P.G. A comparative analysis of geometric graph models for modelling backbone networks. Optical Switch. and Networ. 2014, 14, 95–106. [Google Scholar] [CrossRef]






| Parameter | Symbol | Value |
|---|---|---|
| Fiber Attenuation Coefficient | ||
| Fiber Dispersion Parameter | ||
| Fiber Nonlinear Coefficient | ||
| Carrier Frequency | ||
| Carrier Wavelength | ||
| Span length | ||
| EDFA noise figure | ||
| Symbol rate | , 128 Gbaud | |
| Channel Spacing | , 128 GHz | |
| Number of Channels | , 37 | |
| WDM bandwidth | z |
| Reach (km) 64 Gbaud |
Capacity (Gb/s) 64 Gbaud |
Reach (km) 128 Gbaud |
Capacity (Gb/s) 128 Gbaud |
|---|---|---|---|
| 23120 | 200 | 20808 | 400 |
| 11120 | 300 | 10008 | 600 |
| 5840 | 400 | 5256 | 800 |
| 3280 | 500 | 2952 | 1000 |
| 1760 | 600 | 1584 | 1200 |
| 1040 | 700 | 936 | 1400 |
| 560 | 800 | 504 | 1600 |
| 320 | 900 | 288 | 1800 |
| 160 | 1000 | 144 | 2000 |
| 80 | 1100 | 72 | 2200 |
Disclaimer/Publisher’s Note: The statements, opinions and data contained in all publications are solely those of the individual author(s) and contributor(s) and not of MDPI and/or the editor(s). MDPI and/or the editor(s) disclaim responsibility for any injury to people or property resulting from any ideas, methods, instructions or products referred to in the content. |
© 2024 by the authors. Licensee MDPI, Basel, Switzerland. This article is an open access article distributed under the terms and conditions of the Creative Commons Attribution (CC BY) license (http://creativecommons.org/licenses/by/4.0/).