Submitted:
29 February 2024
Posted:
29 February 2024
You are already at the latest version
Abstract
Keywords:
1. Introduction
2. Kinematics and Dynamics Models
3. Controller Design
3.1. Guidance Law Design
3.2. Orientation Angle Controller Design
3.3. Velocity Controller Design
3.4. Stability Analysis
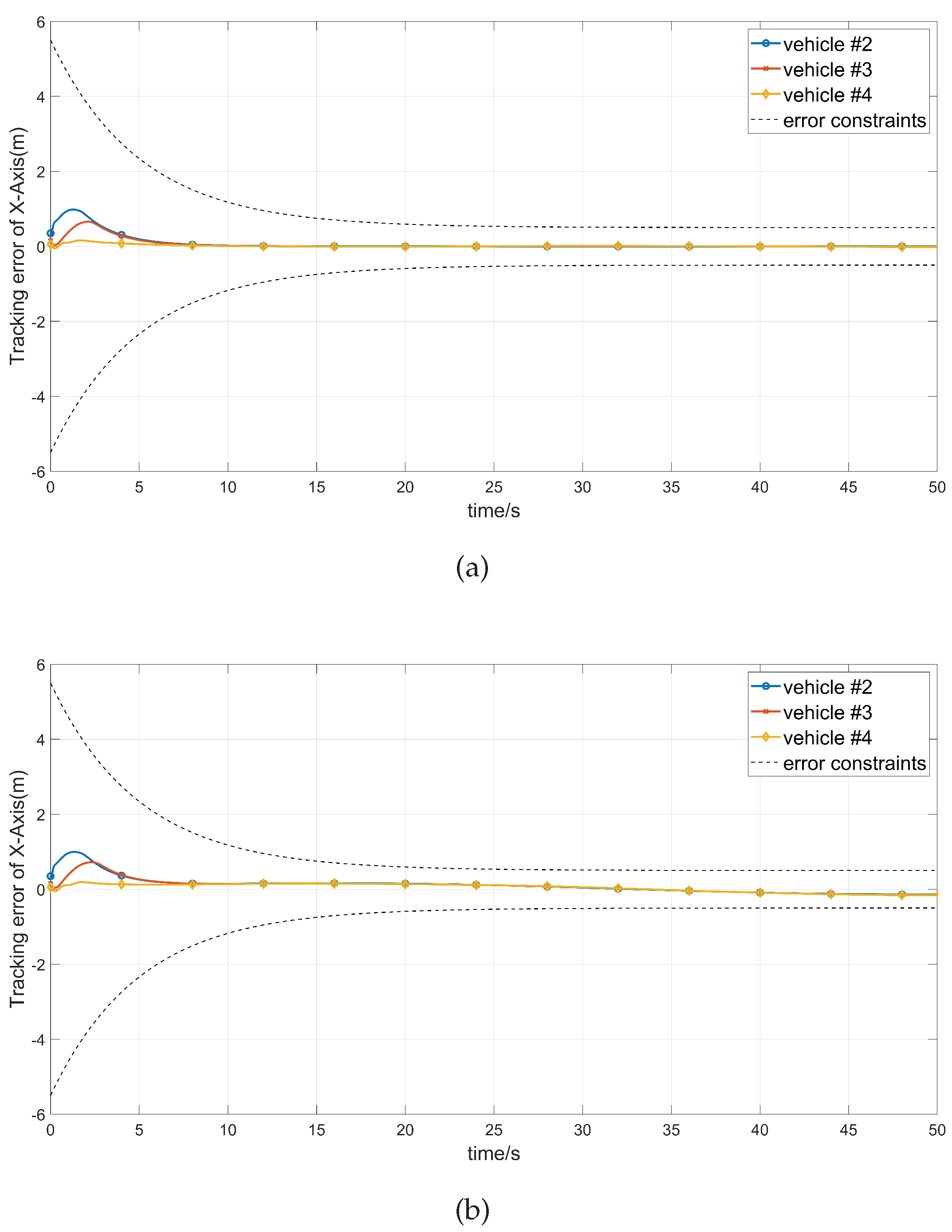
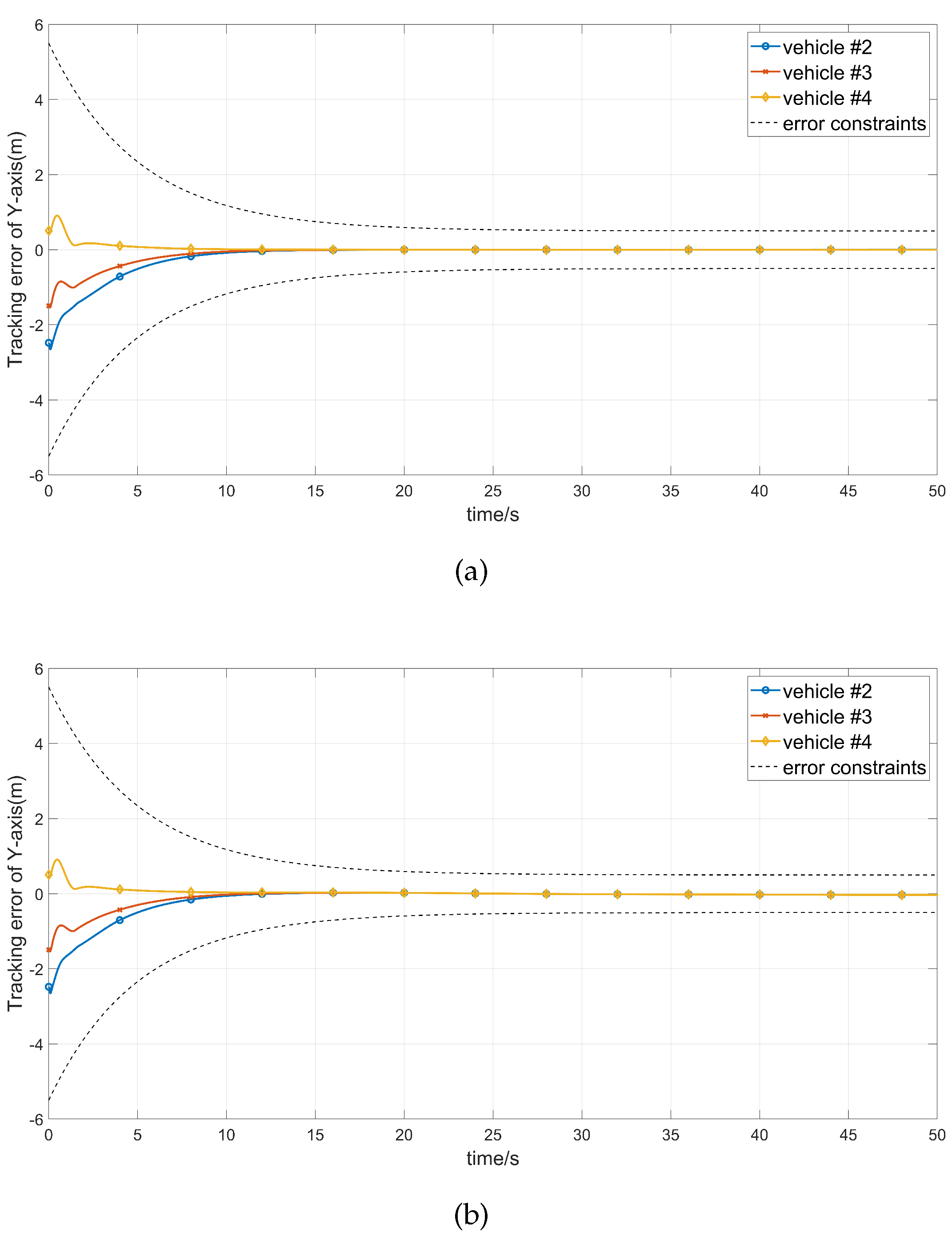
4. Simulation Result
| Parameter | Value | Parameter | Value |
|---|---|---|---|
| 1.01 | 1.01 | ||
| 1.1 | 2 | ||
| 0.5 | 1 | ||
| 8 | 1 | ||
| 5 | 0.2 | ||
| 18 | 0.8 | ||
| 5 | 20 |



5. Conclusion
Author Contributions
Funding
Data Availability Statement
Acknowledgments
Conflicts of Interest
References
- Balch, T.; Arkin, R. Behavior-based formation control for multirobot teams. IEEE Transactions on Robotics and Automation 1998, 14, 926–939. [Google Scholar] [CrossRef]
- Do, K. Formation control of multiple elliptical agents with limited sensing ranges. Automatica 2012, 48, 1330–1338. [Google Scholar] [CrossRef]
- Li, X.; Pei, G.; Liu, L.; Chen, L.; Zhang, W. Metabolomic analysis and lipid accumulation in a glucose tolerant Crypthecodinium cohnii strain obtained by adaptive laboratory evolution. Bioresource Technology 2017, 235, 87–95. [Google Scholar] [CrossRef] [PubMed]
- Cao, Y.; Yu, W.; Ren, W.; Chen, G. An Overview of Recent Progress in the Study of Distributed Multi-Agent Coordination. IEEE Transactions on Industrial Informatics 2013, 9, 427–438. [Google Scholar] [CrossRef]
- Yuan, C.; He, H.; Wang, C. Cooperative Deterministic Learning-Based Formation Control for a Group of Nonlinear Uncertain Mechanical Systems. IEEE Transactions on Industrial Informatics 2019, 15, 319–333. [Google Scholar] [CrossRef]
- He, S.; Wang, M.; Dai, S.L.; Luo, F. Leader–Follower Formation Control of USVs With Prescribed Performance and Collision Avoidance. IEEE Transactions on Industrial Informatics 2019, 15, 572–581. [Google Scholar] [CrossRef]
- Yang, E.; Gu, D. Nonlinear Formation-Keeping and Mooring Control of Multiple Autonomous Underwater Vehicles. IEEE/ASME Transactions on Mechatronics 2007, 12, 164–178. [Google Scholar] [CrossRef]
- Breivik, M.; Hovstein, V.E.; Fossen, T.I. Ship Formation Control: A Guided Leader-Follower Approach. IFAC Proceedings Volumes 2008, 41, 16008–16014, 17th IFAC World Congress. [Google Scholar] [CrossRef]
- Millán, P.; Orihuela, L.; Jurado, I.; Rubio, F.R. Formation Control of Autonomous Underwater Vehicles Subject to Communication Delays. IEEE Transactions on Control Systems Technology 2014, 22, 770–777. [Google Scholar] [CrossRef]
- Yan, Z.; Yang, Z.; Yue, L.; Wang, L.; Jia, H.; Zhou, J. Discrete-time coordinated control of leader-following multiple AUVs under switching topologies and communication delays. Ocean Engineering 2019, 172, 361–372. [Google Scholar] [CrossRef]
- Zhang, L.; Tao, R.; Zhang, Z.X.; Chien, Y.R.; Bai, J. PMSM non-singular fast terminal sliding mode control with disturbance compensation. Information Sciences 2023, 642, 119040. [Google Scholar] [CrossRef]
- Wu, H.M.; Karkoub, M.; Hwang, C.L. Mixed Fuzzy Sliding-Mode Tracking with Backstepping Formation Control for Multi-Nonholonomic Mobile Robots Subject to Uncertainties. Journal of Intelligent & Robotic Systems 2015, 79, 73–86. [Google Scholar] [CrossRef]
- Wang, J.; Wang, C.; Wei, Y.; Zhang, C. Neuroadaptive Sliding Mode Formation Control of Autonomous Underwater Vehicles With Uncertain Dynamics. IEEE Systems Journal 2020, 14, 3325–3333. [Google Scholar] [CrossRef]
- Zhang, L.; Bai, J.; Wu, J. Speed Sensor-Less Control System of Surface-Mounted Permanent Magnet Synchronous Motor Based on Adaptive Feedback Gain Supertwisting Sliding Mode Observer. Journal of Sensors 2021, 2021, 8301359. [Google Scholar] [CrossRef]
- Su, B.; bin Wang, H.; Wang, Y. Dynamic event-triggered formation control for AUVs with fixed-time integral sliding mode disturbance observer. Ocean Engineering 2021, 240, 109893. [Google Scholar] [CrossRef]
- Zhang, L.; Wang, S.; Bai, J. Fast-super-twisting sliding mode speed loop control of permanent magnet synchronous motor based on SVM-DTC. IEICE Electron. Express 2020, 18, 20200375. [Google Scholar] [CrossRef]
- Rout, R.; Subudhi, B. A backstepping approach for the formation control of multiple autonomous underwater vehicles using a leader–follower strategy. Journal of Marine Engineering & Technology 2016, 15, 38–46. [Google Scholar] [CrossRef]
- Pang, S.; Wang, J.; Liu, J.; Yi, H. Three-dimensional leader–follower formation control of multiple autonomous underwater vehicles based on line-of-sight measurements using the backstepping method. Proceedings of the Institution of Mechanical Engineers, Part I: Journal of Systems and Control Engineering 2018, 232, 819–829. [Google Scholar] [CrossRef]
- Chengmei Mu, Xinjiang Wei, H. Z.X.H.; Han, J. Disturbance observer-based backstepping control for leader–follower ships with disturbances. Ships and Offshore Structures 2023, 0, 1–9. [Google Scholar] [CrossRef]
- Wang, F.; Gao, Y.; Zhou, C.; Zong, Q. Disturbance observer-based backstepping formation control of multiple quadrotors with asymmetric output error constraints. Applied Mathematics and Computation 2022, 415, 126693. [Google Scholar] [CrossRef]
- Zaidi, A.; Kazim, M.; Wang, H. A Robust Backstepping Sliding Mode Controller with Chattering-Free Strategy for a Swarm of Drones. Journal of Physics: Conference Series 2022, 2213, 012007. [Google Scholar] [CrossRef]
- Yang, K.; Dong, W.; Tong, Y.; He, L. Leader-follower Formation Consensus of Quadrotor UAVs Based on Prescribed Performance Adaptive Constrained Backstepping Control. International Journal of Control, Automation and Systems 2022, 20, 3138–3154. [Google Scholar] [CrossRef]
- Shojaei, K. Neural adaptive PID formation control of car-like mobile robots without velocity measurements. Advanced Robotics 2017, 31, 947–964. [Google Scholar] [CrossRef]
- Jia, Z.; Wang, L.; Yu, J.; Ai, X. Distributed adaptive neural networks leader-following formation control for quadrotors with directed switching topologies. ISA Transactions 2019, 93, 93–107. [Google Scholar] [CrossRef] [PubMed]
- Kuo, C.W.; Tsai, C.C.; Lee, C.T. Intelligent Leader-Following Consensus Formation Control Using Recurrent Neural Networks for Small-Size Unmanned Helicopters. IEEE Transactions on Systems, Man, and Cybernetics: Systems 2021, 51, 1288–1301. [Google Scholar] [CrossRef]
- Huang, C.; Zhang, X.; Zhang, G. Adaptive neural finite-time formation control for multiple underactuated vessels with actuator faults. Ocean Engineering 2021, 222, 108556. [Google Scholar] [CrossRef]
- Rani, M.; Kumar, N. A neural network based efficient leader–follower formation control approach for multiple autonomous underwater vehicles. Eng. Appl. Artif. Intell. 2023, 122. [Google Scholar] [CrossRef]
- Zhao, X.; Chen, S.; Zhang, Z.; Zheng, Y. Consensus Tracking for High-Order Uncertain Nonlinear MASs via Adaptive Backstepping Approach. IEEE Transactions on Cybernetics 2023, 53, 1248–1259. [Google Scholar] [CrossRef]
- Huang, H.; Gong, M.; Zhuang, Y.; Sharma, S.; Xu, D. A new guidance law for trajectory tracking of an underactuated unmanned surface vehicle with parameter perturbations. Ocean Engineering 2019, 175, 217–222. [Google Scholar] [CrossRef]
- Xia, Y.; Xu, K.; Li, Y.; Xu, G.; Xiang, X. Improved line-of-sight trajectory tracking control of under-actuated AUV subjects to ocean currents and input saturation. Ocean Engineering 2019, 174, 14–30. [Google Scholar] [CrossRef]
- Rout, R.; Cui, R.; Han, Z. Modified Line-of-Sight Guidance Law With Adaptive Neural Network Control of Underactuated Marine Vehicles With State and Input Constraints. IEEE Transactions on Control Systems Technology 2020, 28, 1902–1914. [Google Scholar] [CrossRef]
- Bechlioulis, C.P.; Rovithakis, G.A. Robust Adaptive Control of Feedback Linearizable MIMO Nonlinear Systems With Prescribed Performance. IEEE Transactions on Automatic Control 2008, 53, 2090–2099. [Google Scholar] [CrossRef]
- Wang, M.; Yang, A. Dynamic Learning From Adaptive Neural Control of Robot Manipulators With Prescribed Performance. IEEE Transactions on Systems, Man, and Cybernetics: Systems 2017, 47, 2244–2255. [Google Scholar] [CrossRef]
- Dai, S.L.; He, S.; Chen, X.; Jin, X. Adaptive Leader–Follower Formation Control of Nonholonomic Mobile Robots With Prescribed Transient and Steady-State Performance. IEEE Transactions on Industrial Informatics 2020, 16, 3662–3671. [Google Scholar] [CrossRef]
- Jiang, Y.; Liu, Z.; Chen, Z. Prescribed-time distributed formation control for a class of nonlinear multi-agent systems subject to internal uncertainties and external disturbances. Nonlinear Dynamics 2023, 111, 1643–1655. [Google Scholar] [CrossRef]
- Dai, S.L.; He, S.; Cai, H.; Yang, C. Adaptive Leader–Follower Formation Control of Underactuated Surface Vehicles With Guaranteed Performance. IEEE Transactions on Systems, Man, and Cybernetics: Systems 2022, 52, 1997–2008. [Google Scholar] [CrossRef]
- Mehdifar, F.; Bechlioulis, C.P.; Hashemzadeh, F.; Baradarannia, M. Prescribed performance distance-based formation control of Multi-Agent Systems. Automatica 2020, 119, 109086. [Google Scholar] [CrossRef]
- Verginis, C.K.; Bechlioulis, C.P.; Dimarogonas, D.V.; Kyriakopoulos, K.J. Robust Distributed Control Protocols for Large Vehicular Platoons With Prescribed Transient and Steady-State Performance. IEEE Transactions on Control Systems Technology 2018, 26, 299–304. [Google Scholar] [CrossRef]
- Fan, B.; Yang, Q.; Jagannathan, S.; Sun, Y. Output-Constrained Control of Nonaffine Multiagent Systems With Partially Unknown Control Directions. IEEE Transactions on Automatic Control 2019, 64, 3936–3942. [Google Scholar] [CrossRef]








| Disturbances | Mean position error (m) | Maximal position error (m) |
|---|---|---|
| , = 0 | 0.1751 | 2.6776 |
| , = | 0.2542 | 2.6838 |
| Disturbances | Mean position error (m) | Maximal position error (m) |
|---|---|---|
| , = 0 | 0.1129 | 1.5380 |
| , = | 0.1960 | 1.5377 |
| Disturbances | Mean position error (m) | Maximal position error (m) |
|---|---|---|
| , = 0 | 0.0408 | 0.9130 |
| , = | 0.1323 | 0.9096 |
Disclaimer/Publisher’s Note: The statements, opinions and data contained in all publications are solely those of the individual author(s) and contributor(s) and not of MDPI and/or the editor(s). MDPI and/or the editor(s) disclaim responsibility for any injury to people or property resulting from any ideas, methods, instructions or products referred to in the content. |
© 2024 by the authors. Licensee MDPI, Basel, Switzerland. This article is an open access article distributed under the terms and conditions of the Creative Commons Attribution (CC BY) license (http://creativecommons.org/licenses/by/4.0/).