Submitted:
25 February 2024
Posted:
27 February 2024
You are already at the latest version
Abstract
Keywords:
1. Introduction
2. Materials and Methods
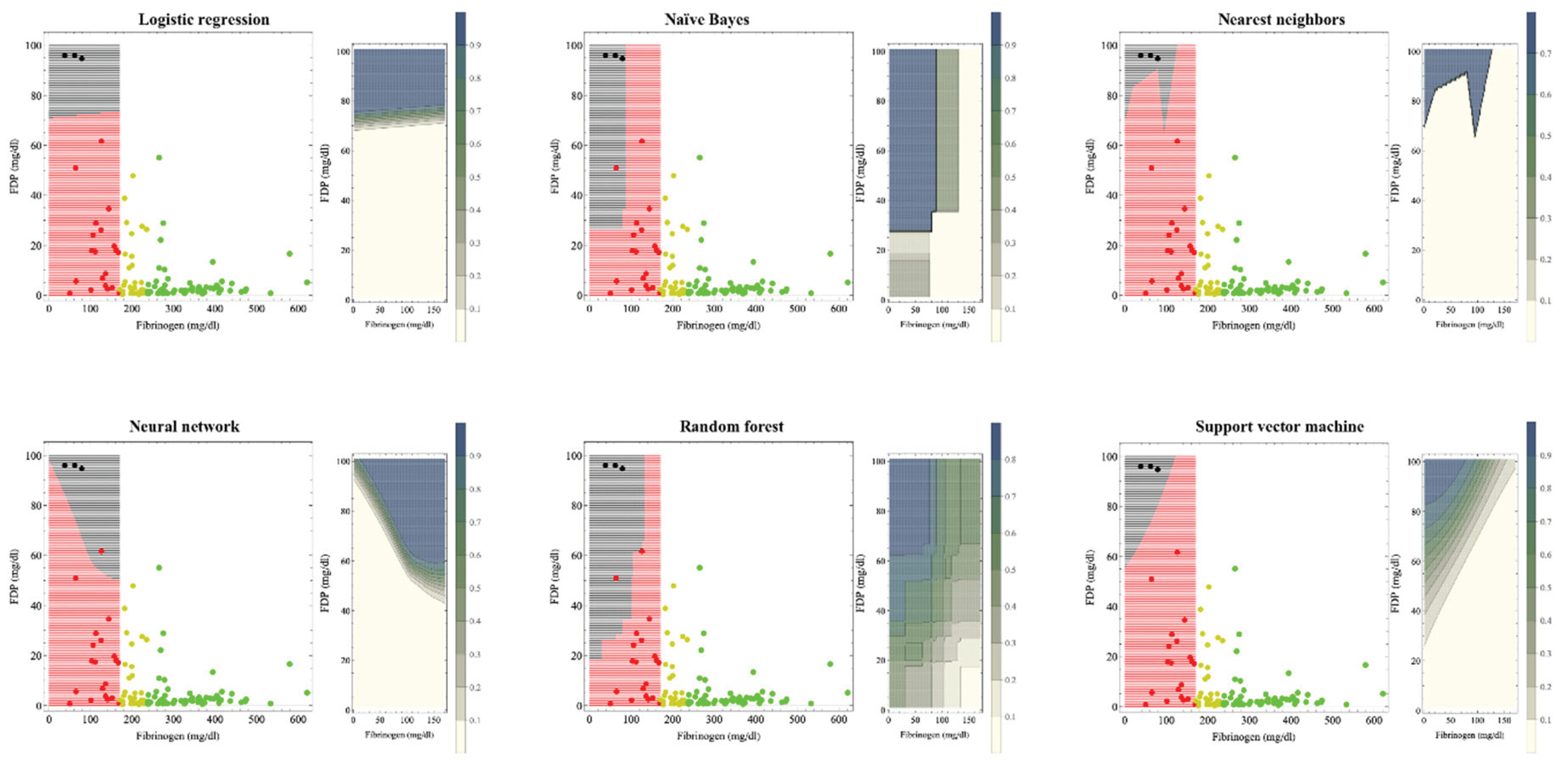
3. Results
4. Discussion
Author Contributions
Funding
Institutional Review Board Statement
Informed Consent Statement
Data Availability Statement
Acknowledgments
Conflicts of Interest
References
- Tada, K.; Miyagi, Y.; Yasuhi, I.; Yoshida, M.; Yorozu, M,; Maegawa, Y,; Okura, N.; Kawakami, K.; Yamaguchi, K.; Ogawa, M.; Kodama, T.; Nomiyama, M.; Mizunoe, T. Clinical features of dilutional coagulopathy in massive obstetrical hemorrhage: A multicenter retrospective case series study. Journal of Japan Society of Perinatal and Neonatal Medicine 2020, 56, 417-423.
- Venugopal, A. Disseminated intravascular coagulation. Indian J Anaesth. 2014, 58, 603-608. [CrossRef]
- Gulumser, C., Engin-Ustun, Y., Keskin, L., Celen, S., Sanisoglu, S., Karaahmetoglu, S., Ozcan, A., Sencan, I. Maternal mortality due to hemorrhage: population-based study in Turkey. J Matern Fetal Neonatal Med 2019, 32, 3998–4004. [CrossRef]
- Rattray, D.D.; O’Connell, C.M.; Baskett, T.F. Acute disseminated intravascular coagulation in obstetrics: a tertiary centre population review (1980 to 2009). J Obstet Gynaecol Can 2012, 34, 341–347. [CrossRef]
- Erez, O.; Novack, L.; Beer-Weisel. R.; Dukler, D.; Press, F.; Zlotnik, A.; Than, N.G.; Tomer, A.; Mazor M. DIC score in pregnant women–a population based modification of the International Society on Thrombosis and Hemostasis score. PLoS One 2014, 9:e93240. [CrossRef]
- Taylor, F.B. Jr.; Toh, C.H.; Hoots, W.K.; Wada, H.; Levi, M. Towards definition, clinical and laboratory criteria, and a scoring system for disseminated intravascular coagulation. Thromb Haemost 2001, 86, 1327–1330. [CrossRef]
- Bonnar, J.; Davidson, J.F.; Pidgeon, C.F.; McNicol, G.P.; Douglas, A.S. Fibrin Degradation Products in Normal and Abnormal Pregnancy and Parturition. Br Med J 1969, 19, 137–140. [CrossRef]
- Miyagi, Y.; Tada, K.; Yasuhi, I.; Maekawa, Y.; Okura, N.; Kawakami. K.; Yamaguchi. K.; Ogawa. M.; Kodama. T.; Nomiyama. M.; Mizunoe. T.; Miyake. T. New method for determining fibrinogen and FDP threshold criteria by artificial intelligence in cases of massive hemorrhage during delivery. J Obstet Gynaecol Res 2020, 46, 256–265. [CrossRef]
- Tada, K.; Miyagi, Y.; Kumazawa, K.; Tsukahara, S.; Okimoto, N.; Yoshida, M.; Ooka, N. Feasibility of Applying Novel FDP Threshold Criteria to DIC Diagnostic Scoring Systems in Japanese Women with Placental Abruption. Eur J Clin Biomed Sci 2022, 8, 27-32. [CrossRef]
- Miyagi, Y.; Habara, T.; Hirata, R.; Hayashi. N. Deep Learning to predicting live births and aneuploid miscarriages from images of blastocysts combined with maternal age. Int J Bioinfor Intell Comput 2022, 1, 10-21. [CrossRef]
- Miyagi, Y.; Habara, T.; Hirata, R.; Hayashi. N. Predicting a live birth by artificial intelligence incorporating both the blastocyst image and conventional embryo evaluation parameters. Artif Intell Med Imaging 1(3):94-107, 2020. [CrossRef]
- Miyagi, Y.; Habara, T.; Hirata, R.; Hayashi. N. Feasibility of artificial intelligence for predicting live birth without aneuploidy from a blastocyst image. Reprod Med Biol 2019, 18, 204-211. [CrossRef]
- Miyagi, Y.; Habara, T.; Hirata, R.; Hayashi. N. Feasibility of deep learning for predicting live birth from a blastocyst image in patients classified by age. Reprod Med Biol 18: 190-203, 2019. [CrossRef]
- Miyagi, Y.; Habara, T.; Hirata, R.; Hayashi. N. Feasibility of predicting live birth by combining conventional embryo evaluation with artificial intelligence applied to a blastocyst image in patients classified by age. Reprod Med Biol 2019, 18, 344–356. [CrossRef]
- Miyagi Y, Hata T, Miyake T. Fetal brain activity and the free energy principle. J Perinat Med 2023, 51, 925-931. [CrossRef]
- Miyagi, Y, Hata, T, Bouno, S, Koyanagi, A, Miyake, T. Artificial intelligence to understand fluctuation of fetal brain activity by recognizing facial expressions. Int J Gynecol Obstet 2023, 161, 877-885. [CrossRef]
- Miyagi, Y.; Hata, T.; Bouno, S.; Koyanagi, A.; Miyake, T. Recognition of Facial Expression of Fetuses by Artificial intelligence (AI). J Perinat Med 2021, 49, 596-603. [CrossRef]
- Miyagi, Y.; Hata, T.; Bouno, S.; Koyanagi, A.; Miyake, T. Recognition of Fetal Facial Expressions using Artificial Intelligence Deep Learning. Donald School J Ultrasound Obstet Gynecol 2021, 15, 223-228. [CrossRef]
- Miyagi, Y.; Takehara, K.; Miyake, T. Application of deep learning to the classification of uterine cervical squamous epithelial lesion from colposcopy images. Mol Clin Oncol 2019, 11, 583-589. [CrossRef]
- Miyagi, Y.; Takehara, K.; Nagayasu, Y.; Miyake, T. Application of deep learning to the classification of uterine cervical squamous epithelial lesion from colposcopy images combined with HPV types. Oncology Letters 2020, 19, 1602-1610. [CrossRef]
- Miyagi, Y.; Habara, T.; Hirata, R.; Hayashi. N. New methods for comparing embryo selection methods by applying artificial intelligence: Comparing embryo selection AI for live births. BJHMR 2022, 9, 36–44. [CrossRef]
- Miyagi, Y.; Fujiwara, K.; Nomura, H.; Yamamoto, K.; Coleman, R.L. Feasibility of New Method for the Prediction of Clinical Trial Results Using Compressive Sensing of Artificial Intelligence. BJHMR 2023, 10, 237-267. [CrossRef]
- Miyagi, Y.; Miyake, T. Potential of artificial intelligence for estimating Japanese fetal weights. Acta Medica Okayama 2020, 74, 483-493. [CrossRef]
- Miyagi, Y.; Fujiwara, K.; Oda, T.; Miyake, T.; Coleman, R.L. Studies on Development of New Method for the Prediction of Clinical Trial Results Using Compressive Sensing of Artificial Intelligence. In Theory and Practice of Mathematics and Computer Science; Editor Ferreira, M.A.M., Ed.; Book Publisher International, Hooghly, West Bengal, India, 2020; pp. 101-108. Print ISBN: 978-93-90206-63-6, eBook ISBN: 978-93-90206-64-3.
- Miyagi, Y.; Fujiwara, K.; Oda, T.; Miyake. T.; Coleman, R.L. Development of New Method for the Prediction of Clinical Trial Results Using Compressive Sensing of Artificial Intelligence. J Biostat Biometric App 2018, 3, 202, 2018.
- Huberty, C.J. Discriminant Analysis. Rev Educ Res 1975, 45, 543–598. [CrossRef]
- Dreiseitl, S.; Ohno-Machado, L. Logistic regression and artificial neural network classification models: a methodology review. J Biomed Inform 2002, 35, 352-359. [CrossRef]
- Breiman, L. Random forests. Mach Learn 2001, 45, 5-32. [CrossRef]
- Friedman, J.; Baskett, F.; Shustek, L. An algorithm for finding nearest neighbors. IEEE Trans Comput 1975, 100, 1000-1006. [CrossRef]
- Ben-Bassat, M.; Klove, K.L.; Weil, M.H. Sensitivity analysis in Bayesian classification models: multiplicative deviations. IEEE Trans Pattern Anal Mach Intell 1980, 3, 261-266. [CrossRef]
- Rumelhart, D.; Hinton, G.; Williams, R. Learning representations by back-propagating errors. Nature. 1986, 323, 533-536. [CrossRef]
- Tsochantaridis, I.; Joachims, T.; Hofmann, T.; Altun, Y. Large margin methods for structured and interdependent output variables. J Mach Learn Res 2005, 6, 1453-1484.
- Asakura, H.; Takahashi, H.; Uchiyama, T.; Eguchi, Y.; Okamoto, K.; Kawasugi, K.; Madoiwa, S.; Wada, H. DIC subcommittee of the Japanese Society on Thrombosis and Hemostasis. Proposal for new diagnostic criteria for DIC from the Japanese Society on Thrombosis and Hemostasis. Thromb J 2016, 14, 42. [CrossRef]
- Pincus, S.; Singer, B.H. Randomness and degrees of irregularity. Proc Natl Acad Sci USA 1996, 93, 2083–2088. [CrossRef]
- Jamin, A.; Humeau-Heurtier, A. (Multiscale) Cross-Entropy Methods: A Review. Entrop. 2020, 22, 45. [CrossRef]
- Ere0,z O.; Othman, M.; Rabinovich, A.; Leron, E.; Gotsch, F.; Thachil, J. DIC in Pregnancy - Pathophysiology, Clinical Characteristics, Diagnostic Scores, and Treatments. J Blood Med 2022, 13, 21-44. [CrossRef]
- Levi, M.; Toh, C.H.; Thachi,l J.; Watson, H,G. Guidelines for the diagnosis and management of disseminated intravascular coagulation. Br J Haematol 2009, 145, 24–33. [CrossRef]
- Thachil, J. Disseminated Intravascular Coagulation: A Practical Approach. Anesthesiology 2016, 125, 230–236. [CrossRef]
- Deng, L.; Yu, D. “Deep Learning: Methods and Applications”, Foundations and Trends® in Signal Processing: 2014, 7, 197-387. [CrossRef]


| Organ Dysfunction (Hematuria) | Non-Organ Dysfunction | t-Test | Mann–Whitney Test | |||||||||||
| Factors | Mean ± SD | Min | Max | Median | 0.25 quantile | 0.75 quantile | Mean ± SD | Min | Max | Median | 0.25 quantile | 0.75 quantile | P-value | P-value |
| FDP | 95.58 ± 0.73 | 94.73 | 96 | 96 | 94.73 | 96 | 17.52 ± 16.8 | 0.72 | 61.64 | 17.31 | 3.01 | 24.16 | 1.03×10−7 | 0.0053 |
| DD | 350.63 ± 189.25 | 135.4 | 491 | 425.5 | 135.4 | 491 | 47.77 ± 54.65 | 3 | 219 | 34.05 | 10.61 | 47.9 | 3.32×10−6 | 0.0092 |
| TAT | 120. ± 0.0 | 120 | 120 | 120 | 120 | 120 | 67.53 ± 42.88 | 15.4 | 120 | 63.25 | 19.9 | 113 | 2.80×10−5 | 0.0319 |
| Hgb/fbg | 139.08 ± 73.17 | 56.96 | 197.37 | 162.9 | 56.96 | 197.37 | 61.42 ± 24.9 | 30.18 | 112 | 53.96 | 42.64 | 66.67 | 0.0009 | 0.0399 |
| fbg | 59.67 ± 20.6 | 38 | 79 | 62 | 38 | 79 | 122.82 ± 34.2 | 50 | 169 | 127.5 | 103 | 143.8 | 0.0057 | 0.0198 |
| PT-sec | 17.3 ± 2.14 | 15.6 | 19.7 | 16.6 | 15.6 | 19.7 | 13.62 ± 2.24 | 10.1 | 18.2 | 13.2 | 12 | 14.4 | 0.0145 | 0.0318 |
| PT-INR | 1.61 ± 0.2 | 1.46 | 1.84 | 1.53 | 1.46 | 1.84 | 1.22 ± 0.25 | 0.96 | 2 | 1.11 | 1.06 | 1.22 | 0.0174 | 0.0317 |
| PIC | 38.13 ± 26.67 | 17.7 | 68.3 | 28.4 | 17.7 | 68.3 | 8.87 ± 8.02 | 0.3 | 27.3 | 6.45 | 2 | 14.6 | 0.1962 | 0.0121 |
| AP | 45.33 ± 11.93 | 32 | 55 | 49 | 32 | 55 | 53.7 ± 14.28 | 34 | 93 | 52.5 | 42 | 56 | 0.3479 | 0.4107 |
| AT | 52.67 ± 19.01 | 34 | 72 | 52 | 34 | 72 | 45.2 ± 13.15 | 27 | 82 | 43 | 39 | 49 | 0.3925 | 0.4364 |
| APTT | 54.3 ± 19.54 | 39.3 | 76.4 | 47.2 | 39.3 | 76.4 | 46.28 ± 17.05 | 29.7 | 93.6 | 40.65 | 32.5 | 51.8 | 0.4624 | 0.3858 |
| FMC | 166.33 ± 121.48 | 27 | 250 | 222 | 27 | 250 | 184.12 ± 83.87 | 19.2 | 250 | 250 | 124 | 250 | 0.7477 | 0.6223 |
| Hgb | 7.37 ± 2.8 | 4.5 | 10.1 | 7.5 | 4.5 | 10.1 | 6.82 ± 1.26 | 5 | 10.2 | 6.85 | 5.6 | 7.3 | 0.7692 | 0.6809 |
| Plt | 105.33 ± 34.95 | 76 | 144 | 96 | 76 | 144 | 99.65 ± 33.7 | 39 | 183 | 88 | 78 | 119 | 0.7887 | 0.8190 |
| Hct | 21.8 ± 8.02 | 13.5 | 29.5 | 22.4 | 13.5 | 29.5 | 20.78 ± 3.74 | 15 | 30.6 | 20.7 | 17.3 | 22.5 | 0.8473 | 0.7492 |
| Formula | Estimate ± SE | P-Value | AIC | R-Squared |
|---|---|---|---|---|
| Hgb/fbg = β0+β1 Fbg | β0, 174.41 ± 15.277; β1, −0.898 ± 0.126 |
β0, 1.81×10−10; β1, 5.31×10−7 | 213.79 | 0.7057 |
| PT-sec = β0+β1 fbg | β0, 19.681 ± 1.118; β1, −0.048 ± 0.009 |
β0, 4.80×10−14; β1, 3.30×10−5 | 93.54 | 0.5679 |
| D-dimer = β0+β1 FDP | β0, −9.535 ± 20.235; β1, 3.4946 ± 0.492 |
β0, 0.642; β1; 5.24×10−7 | 265.83 | 0.7061 |
| Accuracy ± SD | AUC | Class Mean Class Entropy | Cohen’s Kappa | F1 Score | PPV, Precision | Sensitivity, Recall | Specificity | |
|---|---|---|---|---|---|---|---|---|
| Logistic regression | 1.000 ± 0.22 | 1.000 | 1.417×10−4 | 1.000 | 1.000 | 1.000 | 1.000 | 1.000 |
| Naïve Bayes | 0.9565 ± 0.04 | 0.9583 | 5.097×10−5 | 0.8321 | 0.8571 | 0.7500 | 1.000 | 0.950 |
| Nearest neighbors | 1.000 ± 0.22 | 1.000 | 0.3285 | 1.000 | 1.000 | 1.000 | 1.000 | 1.000 |
| Neural network | 1.000 ± 0.22 | 1.000 | 2.253×10−5 | 1.000 | 1.000 | 1.000 | 1.000 | 1.000 |
| Random forest | 0.9130 ± 0.06 | 1.000 | 0.2407 | 0.7013 | 0.7500 | 0.6000 | 1.000 | 0.9000 |
| Support vector machine | 0.9565 ± 0.04 | 1.000 | 0.4967 | 0.7767 | 0.8000 | 1.000 | 0.6667 | 1.000 |
| FDP Criteria (mg/dl) | Accuracy ± SD | AUC | Class Mean Entropy | Cohen’s Kappa | F1 Score | PPV, Precision | Sensitivity, Recall | Specificity | ||
|---|---|---|---|---|---|---|---|---|---|---|
| Logistic regression | 84.96 | 1.000 ± 0.22 | 1.000 | 1.417×10−5 | 1.000 | 1.000 | 1.000 | 1.000 | 1.000 | |
| Naïve Bayes | 86.94 | 0.9565 ± 0.04 | 0.958 | 5.097×10−5 | 0.832 | 0.857 | 0.750 | 1.000 | 0.950 | |
| Nearest neighbors | 73.38 | 1.000 ± 0.22 | 1.000 | 0.3285 | 1.000 | 1.000 | 1.000 | 1.000 | 1.000 | |
| Neural network | 92.23 | 1.000 ± 0.22 | 1.000 | 3.569×10−4 | 1.000 | 1.000 | 1.000 | 1.000 | 1.000 | |
| Random forest | 101.16 | 0.9130 ± 0.06 | 1.000 | 0.2407 | 0.701 | 0.750 | 0.600 | 1.000 | 0.900 | |
| Support vector machine | 79.67 | 0.9565 ± 0.04 | 1.000 | 0.4967 | 0.7767 | 0.800 | 1.000 | 0.6667 | 1.000 | |
Disclaimer/Publisher’s Note: The statements, opinions and data contained in all publications are solely those of the individual author(s) and contributor(s) and not of MDPI and/or the editor(s). MDPI and/or the editor(s) disclaim responsibility for any injury to people or property resulting from any ideas, methods, instructions or products referred to in the content. |
© 2024 by the authors. Licensee MDPI, Basel, Switzerland. This article is an open access article distributed under the terms and conditions of the Creative Commons Attribution (CC BY) license (http://creativecommons.org/licenses/by/4.0/).