Submitted:
19 February 2024
Posted:
20 February 2024
Read the latest preprint version here
Abstract
Keywords:
1. Introduction
- Credible intervals for estimates;
- Optimal weighting of different chemical markers;
- Systematic handling of missing and censored values, including observations below the limit of detection (LOD);
- Model based smoothing without lags.
2. Wastewater data
2.1. Populations
3. Credibility of flow measurements for determining dilution
4. Model
- count of SARS-CoV-2 gene copies per litre at time t;
- count of SARS-CoV-2 gene copies per person at time t;
- level of chemical marker j per litre at time t;
- level of chemical marker j per person (constant in time);
- effective flow at time t;
- p
- number of people contributing to effective flow (constant in time).
- observed ;
- observed ;
- observed when .
4.1. Missing and censored observations
4.2. Smoothing
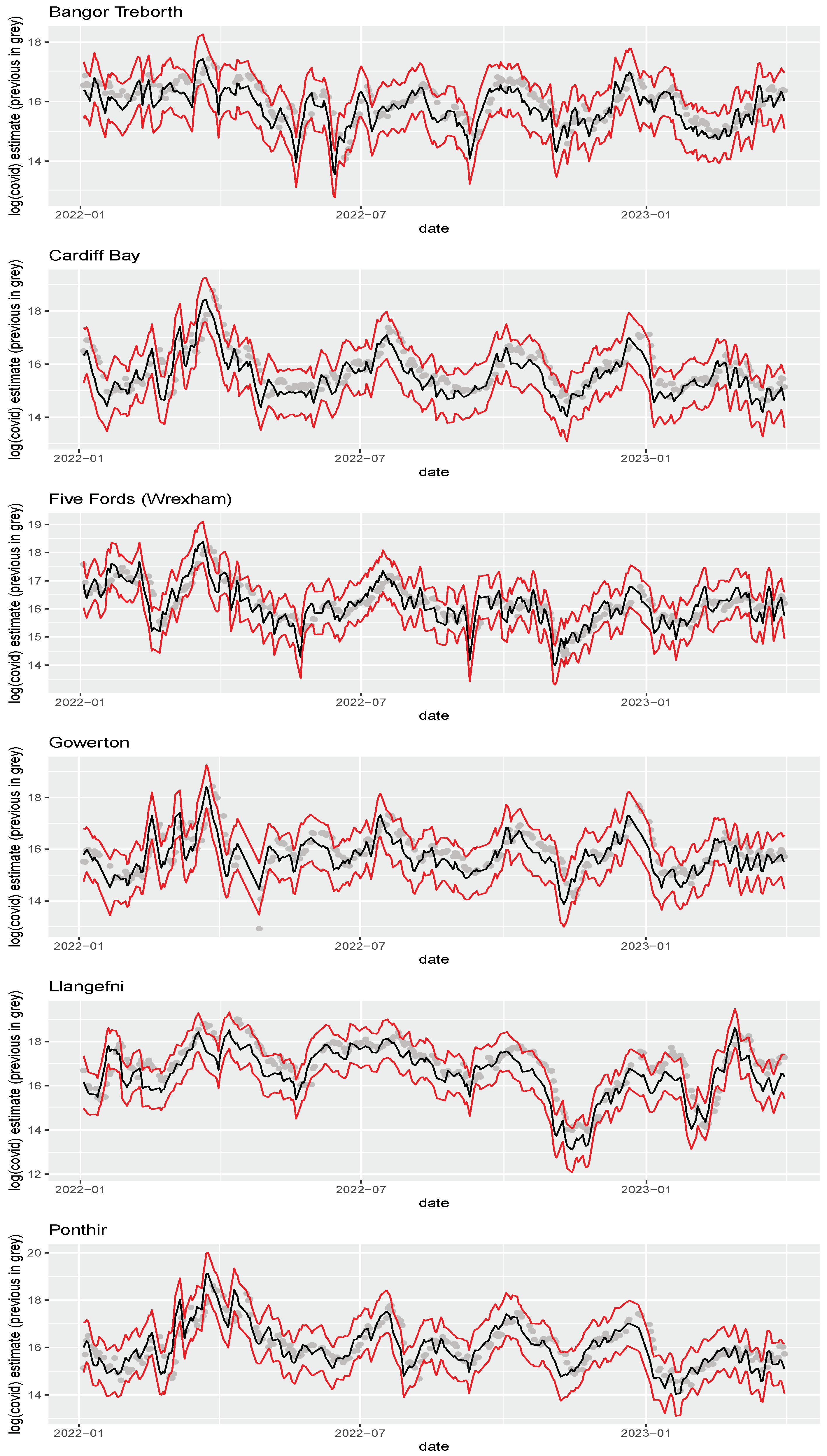
5. Results and discussion
Author Contributions
Funding
Data Availability Statement
Acknowledgments
Conflicts of Interest
Abbreviations
| COVID-19 | Coronavirus disease 2019 |
| CSO | Combined sewer overflow |
| DCWW | Dwr Cymru Welsh Water |
| LSOA | Lower Layer Super Output Area |
| MCERTS | Monitoring Certification Scheme |
| ONS | Office for National Statistics |
| PHW | Public Health Wales |
| RNA | Ribonucleic acid |
| RT-qPCR | Quantitative reverse transcription polymerase chain reaction |
| SARS-CoV-2 | Severe acute respiratory syndrome coronavirus 2019 |
| WBE | Wastewater-based epidemiology |
| WEWASH | Wales Environmental Wastewater Analysis and Surveillance for Health |
| WWTP | Wastewater treatment plant |
References
- Been, F., Rossi, L., Ort, C., Rudaz, S., Delémont, O., Esseiva, P. Population normalization with ammonium in wastewater-based epidemiology: Application to illicit drug monitoring. Environ. Sci. Technol. 2014, 48:8162–8169. [CrossRef]
- Brennan, B., Lawler, J., Regan, F. Recovery of viable ammonia–nitrogen products from agricultural slaughterhouse wastewater by membrane contactors: a review. Environ. Sci. Water Res. Technol. 2021, 7:259–273. [CrossRef]
- Farkas, K., Hillary, L.S., Thorpe, J., Walker, D.I., Lowther, J.A., McDonald, J.E., Malham, S.K., Jones, D.L. Concentration and Quantification of SARS-CoV-2 RNA in Wastewater Using Polyethylene Glycol-Based Concentration and qRT-PCR. Methods Protoc. 2021, 4:17. [CrossRef]
- Gabry, J., Simpson, D., Vehtari, A., Betancourt, M., Gelman, A. Visualization in Bayesian workflow. J. R. Stat. Soc. A 2019, 182:389–402. [CrossRef]
- Jones, D.L., Baluja, M.Q., Graham, D.W., Corbishley, A., McDonald, J.E., Malham, S.K., Hillary, L.S., Connor, T.R., Gaze, W.H., Moura, I.B., Wilcox, M.H., Farkas, K. Shedding of SARS-CoV-2 in feces and urine and its potential role in person-to-person transmission and the environment-based spread of COVID-19. Sci. Total Environ. 2020, 749:141364. [CrossRef]
- Koryak, M., Stafford, L.J., Reilly, R.J., Magnuson, P.M. Highway Deicing Salt Runoff Events and Major Ion Concentrations along a Small Urban Stream. J. Freshw. Ecol. 2001, 16:125–134. [CrossRef]
- Langeveld, J., Schilperoort, R., Heijnen, L., Elsinga, G., Schapendonk, C.E.M., Fanoy, E., de Schepper, E.I.T., Koopmans, M.P.G., de Graaf, M., Medema, G. Normalisation of SARS-CoV-2 concentrations in wastewater: The use of flow, electrical conductivity and crAssphage. Sci. Total Environ. 2023, 865:161196. [CrossRef]
- Levy, J.I., Andersen, K.G., Knight, R., Karthikeyan, S. Wastewater surveillance for public health. Science 2023, 379:26–27. [CrossRef]
- Naughton, C.C., Roman, F.A., Alvarado, A.G.F., Tariqi, A.Q., Deeming, M.A., Kadonsky, K.F., Bibby, K., Bivins, A., Medema, G., Ahmed, W., Katsivelis, P., Allan, V., Sinclair, R., Rose, J.B. Show us the data: global COVID-19 wastewater monitoring efforts, equity, and gaps. FEMS Microbes 2023, 4:1–8. [CrossRef]
- Perry, W.B., Ahmadian, R., Munday, M., Jones, O., Ormerod, S.J., Durance, I. Addressing the challenges of combined sewer overflows. Environ. Pollut. 2024, 343:123225. [CrossRef]
- Perry, W.B., Chrispim, M.C., Barbosa, M.R.F., de Souza Lauretto, M., Razzolini, M.T.P., Nardocci, A.C., Jones, O., Jones, D.L., Weightman, A., Sato, M.I.Z., Montagner, C., Durance, I. Cross-continental comparative experiences of wastewater surveillance and a vision for the 21st century. Sci. Total Environ. 2024, 170842. [CrossRef]
- Scott, G., Evens, N., Porter, J., Walker, D.I. The Inhibition and Variability of Two Different RT-qPCR Assays Used for Quantifying SARS-CoV-2 RNA in Wastewater. Food Environ. Virol. 2023, 15:71–81. [CrossRef]
- Stan Development Team. RStan: the R interface to Stan. R package version 2.32.5 2024. https://mc-stan.org.
- Stan Development Team. Stan Modeling Language Users Guide and Reference Manual. Version 2.34 2022. https://mc-stan.org.
- Sweetapple, C., Melville-Shreeve, P., Chen, A.S., Grimsley, J.M.S., Bunce, J.T., Gaze, W., Fielding, S., Wade, M.J. Building knowledge of university campus population dynamics to enhance near-to-source sewage surveillance for SARS-CoV-2 detection. Sci. Total Environ. 2022 806:150406. [CrossRef]
- Wade, M.J., Jacomo, A.L., Armenise, E., Brown, M.R., Bunce, J.T., Cameron, G.J., Fang, Z., Farkas, K., Gilpin, D.F., Graham, D.W. Understanding and managing uncertainty and variability for wastewater monitoring beyond the pandemic: Lessons learned from the United Kingdom national COVID-19 surveillance programmes. J. Hazard. Mater. 2022, 424:127456. [CrossRef]
- Wilde, H., Perry, W.B., Jones, O., Kille, P., Weightman, A., Jones, D.L., Cross, G., Durance, I. Accounting for Dilution of SARS-CoV-2 in Wastewater Samples Using Physico-Chemical Markers. Water 2022, 14:2885. [CrossRef]






Disclaimer/Publisher’s Note: The statements, opinions and data contained in all publications are solely those of the individual author(s) and contributor(s) and not of MDPI and/or the editor(s). MDPI and/or the editor(s) disclaim responsibility for any injury to people or property resulting from any ideas, methods, instructions or products referred to in the content. |
© 2024 by the authors. Licensee MDPI, Basel, Switzerland. This article is an open access article distributed under the terms and conditions of the Creative Commons Attribution (CC BY) license (http://creativecommons.org/licenses/by/4.0/).