Submitted:
18 February 2024
Posted:
20 February 2024
You are already at the latest version
Abstract
Keywords:
1. Introduction

2. PSFFA
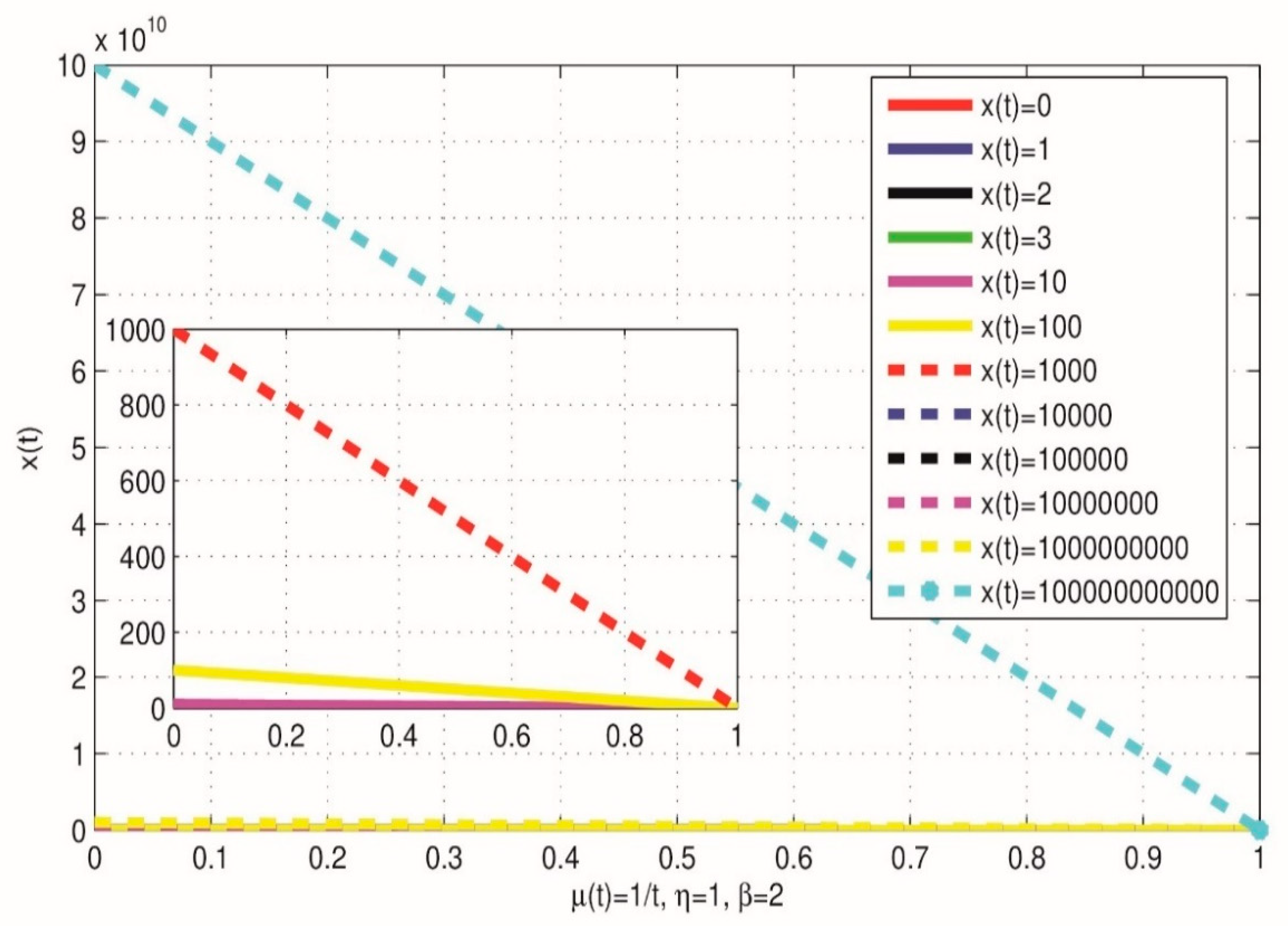
3. Solving the non-stationary queueing system’s PSFFA (c,f., (2.9))
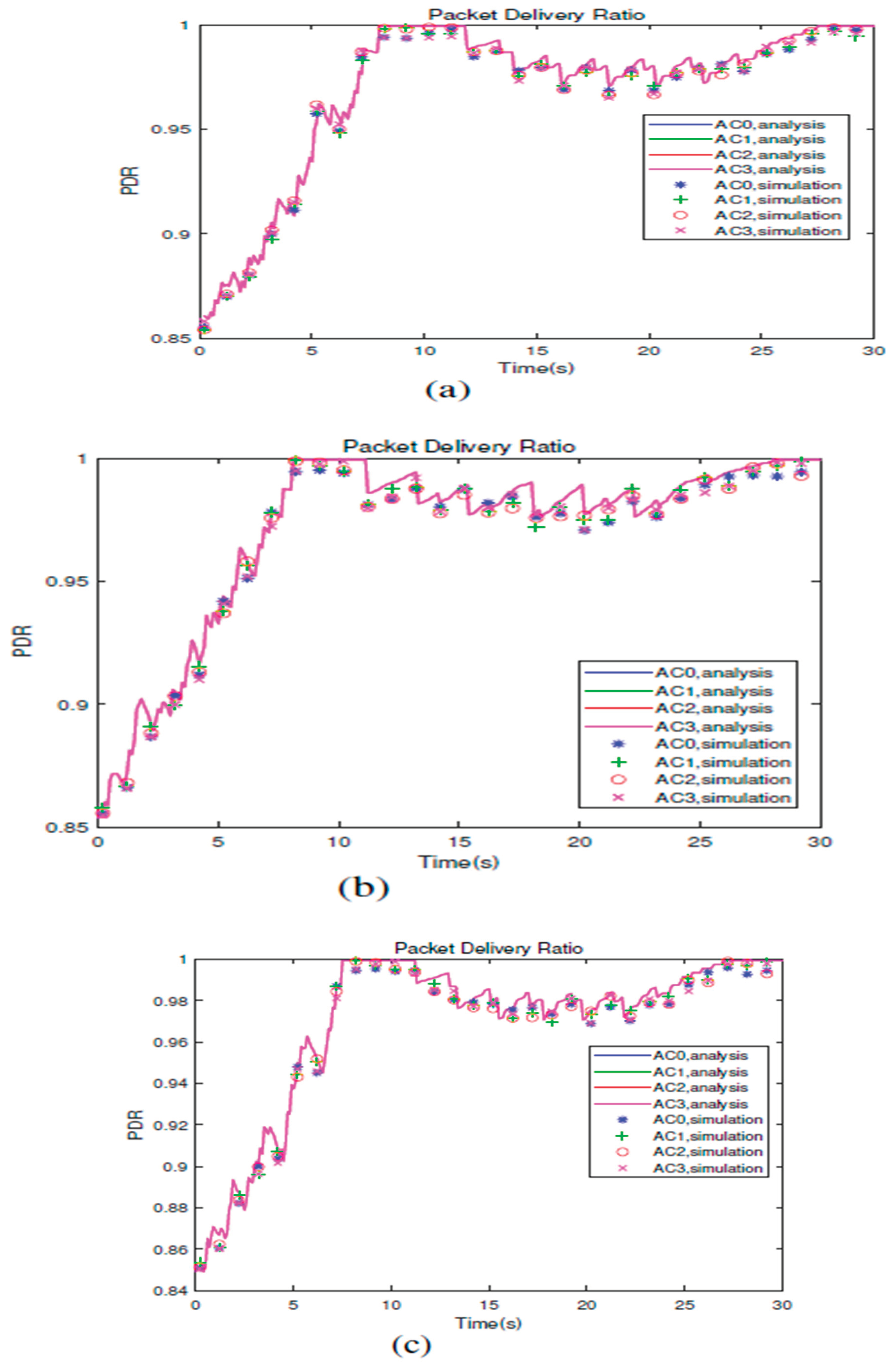
4. Some PSFFA applications to IoT
5. Closing remarks with next phase of research
References
- Zhao, x.; et al. A Queuing Network Model of a Multi-Airport System Based on Point-Wise Stationary Approximation. Aerospace 2022, 9. [Google Scholar] [CrossRef]
- Dr Ismail A Mageed. Solving the Open Problem of Finding the Exact Pointwise Stable Fluid Flow Approximation (PSFFA) State Variable of a Non-Stationary M/M/1 Queue with Potential Real-Life PSFFA Applications to Computer Engineering, 28 January 2024, PREPRINT (Version 1) available at Research Square. [CrossRef]
- Mageed, I.A.; Zhang, Q. Solving the open problem for 𝐺𝐼/𝑀/1 pointwise stationary fluid flow approximation model (PSFFA) of the non-stationary 𝐷/𝑀/1 queueing system. Electron. J. Comput. Sci. Inf. Technol. 2023, 1, 1–6. [Google Scholar]
- Mageed, D.I.A. Upper and Lower Bounds of the State Variable of 𝑀/𝐺/1 PSFFA Model of the Non-Stationary M/Ek/1 Queueing System. Preprints 2024, 2024012243. [Google Scholar] [CrossRef]
- Hu, L.; Zhao, B.; Zhu, J.; Jiang, Y. Two time-varying and state-dependent fluid queuing models for traffic circulation systems. Eur. J. Oper. Res. 2019, 275, 997–1019. [Google Scholar] [CrossRef]
- Mageed, D.I.A. Ismail’s Ratio Conquers New Horizons the Non-stationary M/G/1 Queue’s State Variable Closed Form Expression. Preprints 2024, 2024020548. [Google Scholar] [CrossRef]
- Wu, Q.; Zhao, Y.; Fan, Q. Time-dependent performance modeling for platooning communications at intersection. IEEE Internet Things J. 2022, 9, 18500–13. [Google Scholar] [CrossRef]
- Yeremenko, O.; Lebedenko, T.; Vavenko, T.; Semenyaka, M. Investigation of queue utilization on network routers by the use of dynamic models. In 2015 Second International Scientific-Practical Conference Problems of Info communications Science and Technology (PIC S&T.





Disclaimer/Publisher’s Note: The statements, opinions and data contained in all publications are solely those of the individual author(s) and contributor(s) and not of MDPI and/or the editor(s). MDPI and/or the editor(s) disclaim responsibility for any injury to people or property resulting from any ideas, methods, instructions or products referred to in the content. |
© 2024 by the authors. Licensee MDPI, Basel, Switzerland. This article is an open access article distributed under the terms and conditions of the Creative Commons Attribution (CC BY) license (http://creativecommons.org/licenses/by/4.0/).