Submitted:
02 March 2024
Posted:
04 March 2024
Read the latest preprint version here
Abstract
Keywords:
1. Introduction
2. Materials and Methods
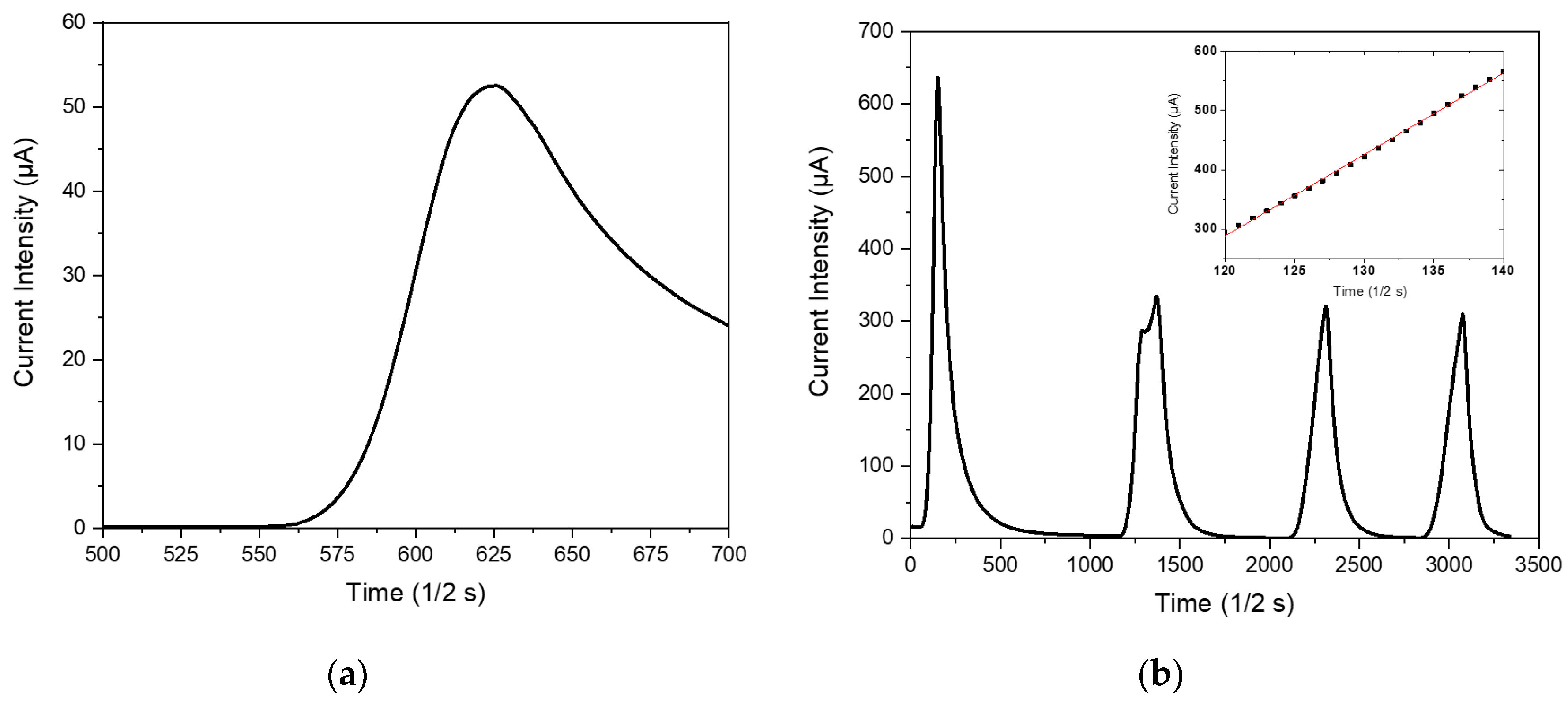
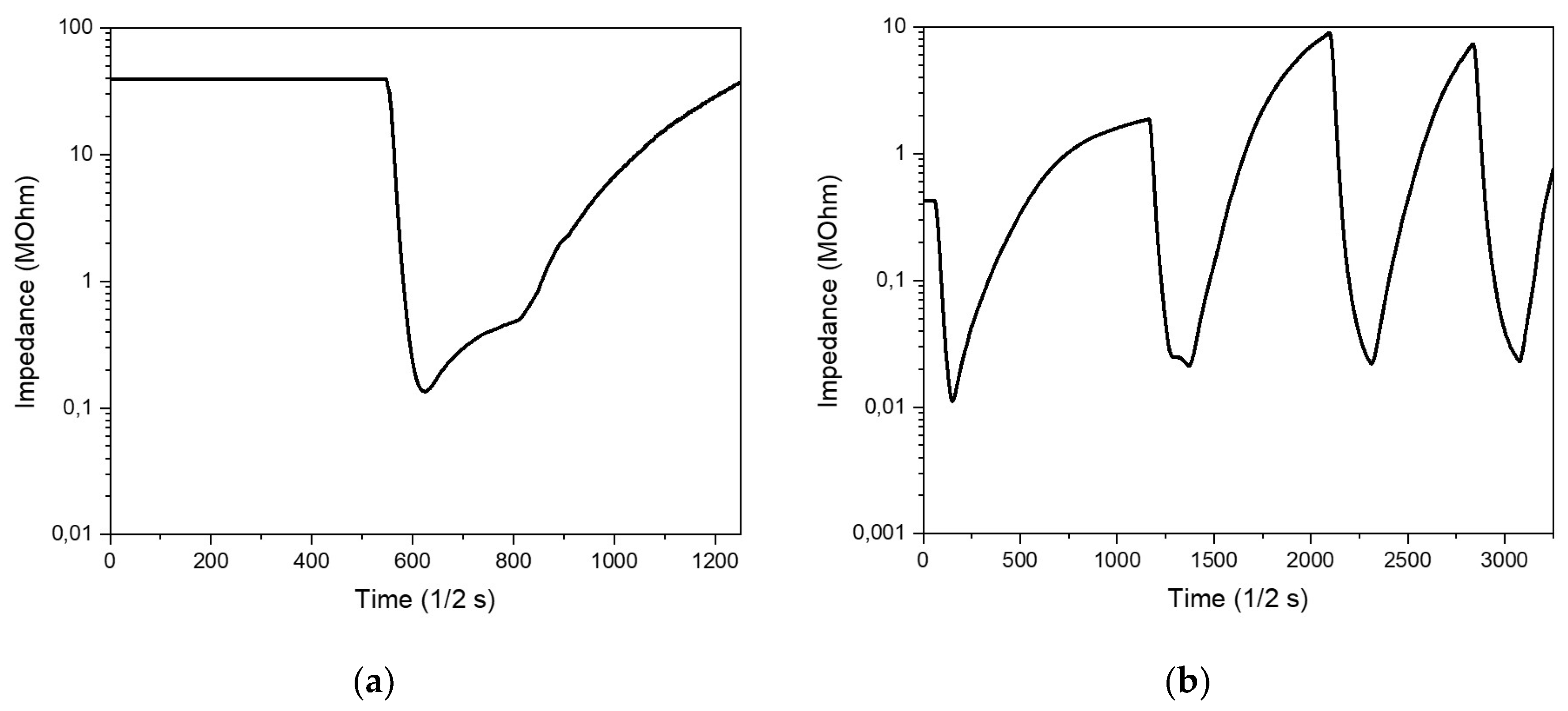
3. Results
4. Discussion
5. Conclusions
Author Contributions
Funding
Institutional Review Board Statement
Informed Consent Statement
Data Availability Statement
Acknowledgments
Conflicts of Interest
References
- Misaelides, P. Application of natural zeolites in environmental remediation: A short review. Microporous Mesoporous Mater. 2011, 144, 15–18. [Google Scholar] [CrossRef]
- Jha, B.; Singh, D.N. Basics of Zeolites. In Fly Ash Zeolite: Innovations, Applications, and Directions. Part of the book series: Advanced Structured Materials; Springer Verlag: Singapore, 2016; Volume 78, pp. 5–13. [Google Scholar] [CrossRef]
- Auerbach, S.M.; Carrado, K.A.; Dutta, P.K. Handbook of Zeolite Science and Technology. 1st Ed.; Boca Raton; CRC Press; 2003; p. 1204. [CrossRef]
- Koohsaryan, E.; Anbia, M. Nanosized and Hierarchical Zeolites: A Short Review. Chinese J. Catal. 2016, 4, 447–467. [Google Scholar] [CrossRef]
- Wang, C.; Leng, S.; Guo, H.; Yu, J.; Li, W.; Cao, L.; Huang, J. Quantitative Arrangement of Si/Al Ratio of Natural Zeolite Using Acid Treatment. Appl. Surf. Sci. 2019, 498, 143874. [Google Scholar] [CrossRef]
- Aiello, R.; Nagy, J.B.; Giordano, G.; Katovic, A.; Testa, F. Isomorphous Substitution in Zeolites. C. R. Chim. 2005, 8, 321–329. [Google Scholar] [CrossRef]
- Uzunova, E.L.; Mikosch, H. Cation Site Preference in Zeolite Clinoptilolite: A Density Functional Study. Microporous Mesoporous Mater. 2013, 177, 113–119. [Google Scholar] [CrossRef]
- Ohgushi, T.; Ishimaru, K.; Adachi, Y. Movements and Hydration of Potassium Ion in K-a Zeolite. J. Phys. Chem. C. 2009, 113, 2468–2474. [Google Scholar] [CrossRef]
- Schäf, O.; Ghobarkar, H.; Adolf, F.; Knauth, P. Influence of Ions and Molecules on Single Crystal Zeolite Conductivity under in Situ Conditions. Solid State Ion. 2001, 143, 433–444. [Google Scholar] [CrossRef]
- Kelemen, G.; Schön, G. Ionic Conductivity in Dehydrated Zeolites. J Mater. Sci. 1992, 27, 6036–6040. [Google Scholar] [CrossRef]
- Vuc̆elić, D., Juranič, N.; Macura, S.; Šušič, M. (1975). Electrical conductivity of dehydrated zeolites. J. Inorg, Nucl. Chem. 1975, 37, 1277–1281. [CrossRef]
- Vuc̆elić, D. Ionic Conduction Bands at Zeolite Interfaces. J. Chem. Phys. 1977, 66, 43–47. [Google Scholar] [CrossRef]
- Vučelić, D.; Juranić, N. The effect of sorption on the ionic conductivity of zeolites. J. Radioanal. Nucl. Chem. 1976, 38, 2091–2095. [Google Scholar] [CrossRef]
- Jack, K.E., Etu, I.A., Nwangwu, E.O., Osuagwu, E.U. A simple thermistor design for industrial temperature measurement. IOSR J. Electr. Electron. Eng. 2016, 11, 57–66. [CrossRef]
- Becker, J.A.; Green, C.B.; Pearson, G.L. Properties and Uses of Thermistors—Thermally Sensitive Resistors. Bell Syst. Tech. J. 1947, 26, 170–212. [Google Scholar] [CrossRef]
- Kamat, R.K.; Naik, G.M. Thermistors - In Search of New Applications, Manufacturers Cultivate Advanced NTC Techniques. Sens. Rev. 2002, 22, 334–340. [Google Scholar] [CrossRef]
- Wang, T.; Chu, Y.; Li, X.; Liu, Y.; Luo, H.; Zhou, D.; Deng, F.; Song, X.; Lu, G.; Yu, J. (2023). Zeolites as a Class of Semiconductors for High-Performance Electrically Transduced Sensing. J. Am. Chem. Soc. 2023, 145, 5342–5352. [Google Scholar] [CrossRef]
- Mohammadzadeh Kakhki, R.; Zirjanizadeh, S.; Mohammadpoor, M. A review of clinoptilolite, its photocatalytic, chemical activity, structure and properties: in time of artificial intelligence. J. Mater. Sci. 2023, 58, 10555–10575. Available online: https://link.springer.com/article/10.1007/s10853-023-08643-9. [CrossRef]
- Simon, U.; Franke, M.E. Ionic Conductivity of Zeolites: From Fundamentals to Applications, Host-Guest-Systems Based on Nanonporous Crystals; Laeri, F., Schüth, F., Simon, U., Wark, M., Eds.; Wiley-VCH Verlag GmbH & Co. KGaA: Weinheim, Germany, 2003; pp. 364–378. Available online: https://onlinelibrary.wiley.com/doi/pdf/10.1002/3527602674#page=384.
- Qiu, P.; Huang, Y.; Secco, R.A.; Balog, P.S. Effect of multi-stage dehydration on electrical conductivity of zeolite A. Solid State Ion. 1999, 118, 281–285. [Google Scholar] [CrossRef]
- Freeman, D.C.; Stamires, D.N. Electrical conductivity of synthetic zeolites. J. Chem. Phys. 1961, 35, 799–806. [Google Scholar] [CrossRef]
- Ghobarkar, H.; Schäf, O.; Guth, U. Zeolites—From kitchen to space. Prog. Solid St. Chem. 1999, 27, 29–73. [Google Scholar] [CrossRef]
- Hernández, M.Á.; Hernández, G.I.; Portillo, R.I.; Velasco, M.d.l.Á.; Santamaría-Juárez, J.D.; Rubio, E.; Petranovskii, V. Influence of Chemical Pretreatment on the Adsorption of N2 and O2 in Ca-Clinoptilolite. Sep. 2023, 10, 130. [Google Scholar] [CrossRef]
- Mastinu, A.; Kumar, A.; Maccarinelli, G.; Bonini, S.A.; Premoli, M.; Aria, F.; Gianoncelli, A.; Memo, M. Zeolite Clinoptilolite: Therapeutic Virtues of an Ancient Mineral. Mol. 2019, 24, 1517. [Google Scholar] [CrossRef] [PubMed]
- Kowalczyk, P.; Sprynskyy, M.; Terzyk, A.P.; Lebedynets, M.; Namieśnik, J.; Buszewski, B. Porous Structure of Natural and Modified Clinoptilolites. J Colloid Interface Sci. 2006, 297, 77–85. [Google Scholar] [CrossRef] [PubMed]
- Lin, H., Liu, Q., Dong, Y., Chen, Y., Huo, H., Liu, S. Study on Channel Features and Mechanism of Clinoptilolite Modified by LaCl3. J. Mater. Sci. Research. 2013, 2, 37. Available online: https://pdfs.semanticscholar.org/e6d9/b21c22f70922b3b4ef7eda46c9897c858009.pdf. [CrossRef]
- Schiavo, L., Cammarano, A., Carotenuto, G., Longo, A., Palomba, M., Nicolais, L. An overview of the advanced nanomaterials science. Inorganica Chim. Acta. 2024, 559, 121802. [CrossRef]
- Jiao, D., Liu, Z.Q., Qu, R.T., Zhang, Z.F. Anisotropic mechanical behaviors and their structural dependences of crossed-lamellar structure in a bivalve shell. Mater. Sci. Eng. 2016, 59, 828–837. [CrossRef] [PubMed]
- Grüenert, W.; Muhler, M.; Schröder, K.P.; Sauer, J.; Schlögl, R. Investigations of Zeolites by Photoelectron and Ion Scattering Spectroscopy. 2. A New Interpretation of XPS Binding Energy Shifts in Zeolites. J. Phys. Chem. 1994, 98, 10920–10929. [Google Scholar] [CrossRef]
- Schiavo, L., Boccia, V., Aversa, L., Verucchi, R., Carotenuto, G., Valente, T. Natural Clinoptilolite Nanoplatelets Production by a Friction-Based Technology. Mater. Proc. 2023, Proceedings of IOCN 2023, MDPI, Conference Online, 5–19 May 2023. 5–19 May. [CrossRef]
- Avval, T.G.; Carver, V.; Chapman, S.C.; Bahr, S.; Dietrich, P.; Meyer, M.; Thißen, A.; Linford, M.R. Clinoptilolite, a type of zeolite, by near ambient pressure-XPS. Surf. Sci. Spectra 2020, 27, 014007. [Google Scholar] [CrossRef]
- Garcia-Basabe, Y., Rodriguez-Iznaga, I., de Menorval, L.C., Llewellyn, P., Maurin, G., Lewis, D.W., Binions, R., Autie, M., Ruiz-Salvador, A.R. Step-wise dealumination of natural clinoptilolite: Structural and physicochemical characterization. Microporous Mesoporous Mater. 2010, 135, 187–196. [CrossRef]
- Favvas, E.P., Tsanaktsidis, C.G., Sapalidis, A.A., Tzilantonis, G.T., Papageorgiou, S.K., Mitropoulos AC. Clinoptilolite, a natural zeolite material: Structural characterization and performance evaluation on its dehydration properties of hydrocarbon-based fuels. Microporous Mesoporous Mater. 2016, 225, 385–391. [CrossRef]
- Korkuna, O., Leboda, R., Skubiszewska-Ziȩba, J., Vrublevs’ka T., Gun’ko V.M., Ryczkowski, J. Structural and physicochemical properties of natural zeolites: Clinoptilolite and mordenite. Microporous Mesoporous Mater. 2006, 87, 243–254. [CrossRef]
- Wahono, S.K.; Prasetyo, D.J.; Jatmiko, T.H.; Suwanto, A.; Pratiwi, D.; Hernawan; Vasilev, K. Transformation of Mordenite-Clinoptilolite Natural Zeolite at Different Calcination Temperatures. In Proceedings of the IOP Conference Series: Earth and Environmental Science, Tangerang, Indonesia, 1–2 November 2018; Volume 251, p. 012009. [Google Scholar] [CrossRef]
- Knowlton, G.D.; White, T.R.; McKague, H.L. Thermal study of types of water associated with clinoptilolite. Clays Clay Miner. 1981, 29, 403–411. Available online: https://link.springer.com/article/10.1346/CCMN.1981.0290510. [CrossRef]
- Carotenuto, G. Sensing Device for Breath Rate Monitoring Fabricated by using Geomorphic Natural Clinoptilolite. J. Adv. Biotechnol. Bioeng. 2020, 8, 3–10. [Google Scholar] [CrossRef]
- Carotenuto, G.; Camerlingo, C. Zeolite-Based Fast-Responding Sensors for Respiratory Rate Monitoring, In Proceedings 2019, 42, 9. [CrossRef]
- Schäf, O.; Wernert, V.; Ghobarkar, H.; Knauth, P. Microporous Stilbite single crystals for alcohol sensing. J. Electroceramics 2006, 16, 93–98. Available online: https://link.springer.com/article/10.1007/s10832-006-1461-1. [CrossRef]
- Urbiztondo, M.; Irusta, S.; Mallada, R.; Pina, M.P.; Santamaría, J. (2006). Evaluation of optical and dielectrical properties of the zeolites. Desalin. 2006, 200, 601–603. [Google Scholar] [CrossRef]
- Kurzweil, P.; Maunz, W.; Plog, C. Impedance of zeolite-based gas sensors. Sens. Actuators B: Chem. 1995, 25, 653–656. [Google Scholar] [CrossRef]
- Reiß, S.; Hagen, G.; Moos, R. Zeolite-based impedimetric gas sensor device in low-cost technology for hydrocarbon gas detection. Sens. 2008, 8, 7904–7916. [Google Scholar] [CrossRef] [PubMed]
- Sitorus, H.B.H.; Permata, D.; Wicaksono, A. A study on the use of powder zeolite as backfill material for single rod grounding system. IOP Conf. Ser.: Mater. Sci. Eng. 2021, 1125, 012075. [Google Scholar] [CrossRef]
- Orbukh, V.I.; Lebedeva, N.N.; Ozturk, S.; Ugur, S.; Salamov, B.G. Gas discharge electronic device based on the porous zeolite. Optoelectronics Adv. Mat. 2012, 6, 947–952. [Google Scholar]
- Koseoglu, K.; Ozer, M.; Salamov, B.G. Electrical properties of microdischarge in porous zeolites. Plasma Process. Polym. 2014, 11, 1018–1027. [Google Scholar] [CrossRef]











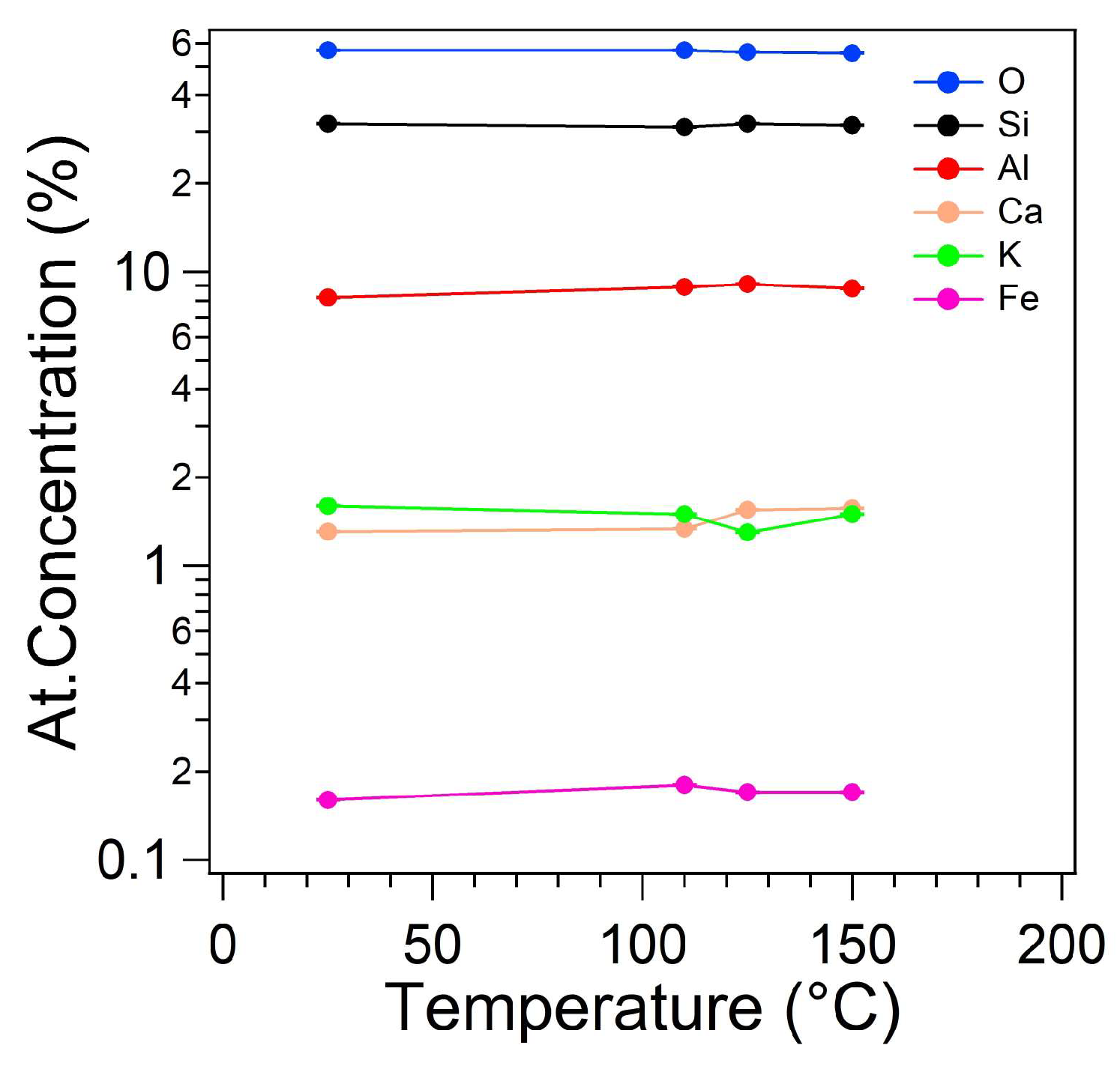
| XPS Signals | Al2p | Si2p | O1s | Ca2p | K2p | Fe2p | Si/Al |
|---|---|---|---|---|---|---|---|
| at. % | 7.22 | 33.22 | 56.42 | 1.30 | 1.71 | 0.13 | 4.60 |
Disclaimer/Publisher’s Note: The statements, opinions and data contained in all publications are solely those of the individual author(s) and contributor(s) and not of MDPI and/or the editor(s). MDPI and/or the editor(s) disclaim responsibility for any injury to people or property resulting from any ideas, methods, instructions or products referred to in the content. |
© 2024 by the authors. Licensee MDPI, Basel, Switzerland. This article is an open access article distributed under the terms and conditions of the Creative Commons Attribution (CC BY) license (http://creativecommons.org/licenses/by/4.0/).