Submitted:
16 February 2024
Posted:
19 February 2024
Read the latest preprint version here
Abstract
Keywords:
1. Introduction
2. Materials and Methods
3. Results
4. Discussion
5. Conclusions
Supplementary Materials
Author Contributions
Funding
Institutional Review Board Statement
Informed Consent Statement
Data Availability Statement
Acknowledgments
Conflicts of Interest
References
- P. Misaelides. Application of natural zeolites in environmental remediation: A short review. Microporous Mesoporous Mater. 2011, 144, 15–18. [CrossRef]
- Jha, B.; Singh, D. N. Basics of Zeolites. In: Fly Ash Zeolite: Innovations, Applications, and Directions. Part of the book series: Advanced Structured Materials; Springer Verlag, Singapore, 2016, 78, 5 –13. [CrossRef]
- Auerbach, S. M.; Carrado, K. A.; Dutta, P. K. Handbook of Zeolite Science and Technology. 1st Ed.; Boca Raton; CRC Press; 2003; p. 1204. [CrossRef]
- Koohsaryan, E.; Anbia, M. Nanosized and Hierarchical Zeolites: A Short Review. Chinese J. Catal. 2016, 4, 447–467. [Google Scholar] [CrossRef]
- Wang, C.; Leng, S.; Guo, H.; Yu, J.; Li, W.; Cao, L.; Huang, J. Quantitative Arrangement of Si/Al Ratio of Natural Zeolite Using Acid Treatment. Appl. Surf. Sci. 2019, 498, 143874. [Google Scholar] [CrossRef]
- Aiello, R.; Nagy, J. B.; Giordano, G.; Katovic, A.; Testa, F. Isomorphous Substitution in Zeolites. C. R. Chim. 2005, 8, 321–329. [Google Scholar] [CrossRef]
- Uzunova, E. L.; Mikosch, H. Cation Site Preference in Zeolite Clinoptilolite: A Density Functional Study. Microporous Mesoporous Mater. 2013, 177, 113–119. [Google Scholar] [CrossRef]
- Ohgushi, T.; Ishimaru, K.; Adachi, Y. Movements and Hydration of Potassium Ion in K-a Zeolite. J. Phys. Chem. C. 2009, 113, 2468–2474. [Google Scholar] [CrossRef]
- Schäf, O.; Ghobarkar, H.; Adolf, F.; Knauth, P. Influence of Ions and Molecules on Single Crystal Zeolite Conductivity under in Situ Conditions. Solid State Ion. 2001, 143, 433–444. [Google Scholar] [CrossRef]
- Kelemen, G.; Schön, G. Ionic Conductivity in Dehydrated Zeolites. J Mater. Sci. 1992, 27, 6036–6040. [Google Scholar] [CrossRef]
- Vuc̆elić, D., Juranič, N.; Macura, S.; Šušič, M. (1975). Electrical conductivity of dehydrated zeolites. J. Inorg, Nucl. Chem. 1975, 37, 1277-1281.
- Vuc̆elić, D. Ionic Conduction Bands at Zeolite Interfaces. J. Chem. Phys. 1977, 66, 43–47. [Google Scholar] [CrossRef]
- Vučelić, D.; Juranić, N. The effect of sorption on the ionic conductivity of zeolites. J. Radioanal. Nucl. Chem. 1976, 38, 2091–2095. [Google Scholar] [CrossRef]
- Jack, K. E., Etu, I. A., Nwangwu, E. O., & Osuagwu, E. U. A simple thermistor design for industrial temperature measurement. IOSR J. Electr. Electron. Eng. 2016, 11, 57 – 66. [CrossRef]
- Becker, J. A.; Green, C. B.; Pearson, G. L. Properties and Uses of Thermistors—Thermally Sensitive Resistors. Bell Syst. Tech. J. 1947, 26, 170–212. [Google Scholar] [CrossRef]
- Kamat, R. K.; Naik, G. M. Thermistors - In Search of New Applications, Manufacturers Cultivate Advanced NTC Techniques. Sens. Rev. 2002, 22, 334–340. [Google Scholar] [CrossRef]
- Hernández, M. Á.; Hernández, G. I.; Portillo, R. I.; Velasco, M. de los Á.; Santamaría-Juárez, J. D.; Rubio, E.; Petranovskii, V. Influence of Chemical Pretreatment on the Adsorption of N2 and O2 in Ca-Clinoptilolite. Sep. 2023, 10 (2), 130. [CrossRef]
- Mastinu, A.; Kumar, A.; Maccarinelli, G.; Bonini, S. A.; Premoli, M.; Aria, F.; Gianoncelli, A.; Memo, M. Zeolite Clinoptilolite: Therapeutic Virtues of an Ancient Mineral. Mol. 2019, 24, 1517. [Google Scholar] [CrossRef] [PubMed]
- Kowalczyk, P.; Sprynskyy, M.; Terzyk, A. P.; Lebedynets, M.; Namieśnik, J.; Buszewski, B. Porous Structure of Natural and Modified Clinoptilolites. J Colloid Interface Sci. 2006, 297, 77–85. [Google Scholar] [CrossRef] [PubMed]
- Schiavo L., Cammarano A., Carotenuto G., Longo A., Palomba M., Nicolais L., An overview of the advanced nanomaterials science. Inorganica Chim. Acta. 2024, 559, 121802. [CrossRef]
- Jiao D., Liu Z.Q., Qu R.T., Zhang Z.F. Anisotropic mechanical behaviors and their structural dependences of crossed-lamellar structure in a bivalve shell. Mater. Sci. Eng. 2016, 59, 828–837. [CrossRef] [PubMed]
- Grüenert, W.; Muhler, M.; Schröder, K. P.; Sauer, J.; Schlögl, R. Investigations of Zeolites by Photoelectron and Ion Scattering Spectroscopy. 2. A New Interpretation of XPS Binding Energy Shifts in Zeolites. J. Phys. Chem. 1994, 98, 10920–10929. [Google Scholar] [CrossRef]
- Schiavo L., Boccia V., Aversa L., Verucchi R., Carotenuto G., Valente T. Natural Clinoptilolite Nanoplatelets Production by a Friction-Based Technology. Mater. Proc. 2023, Proceedings of IOCN 2023, MDPI, Conference Online, 5–19 May 2023. 5–19 May. [CrossRef]
- Garcia-Basabe, Y., Rodriguez-Iznaga, I., de Menorval, L. C., Llewellyn, P., Maurin, G., Lewis, D. W., Binions R., Autie M.,Ruiz-Salvador, A. R. Step-wise dealumination of natural clinoptilolite: Structural and physicochemical characterization. Microporous Mesoporous Mater. 2010, 135(1-3), 187–196. [CrossRef]
- Favvas E.P., Tsanaktsidis C.G., Sapalidis A.A., Tzilantonis G.T., Papageorgiou S.K., Mitropoulos A.C., Clinoptilolite, a natural zeolite material: Structural characterization and performance evaluation on its dehydration properties of hydrocarbon-based fuels. Microporous Mesoporous Mater. 2016, 225, 385–391. [CrossRef]
- Korkuna O., Leboda R., Skubiszewska-Ziȩba J., Vrublevs’ka T., Gun’ko V.M., Ryczkowski J. Structural and physicochemical properties of natural zeolites: Clinoptilolite and mordenite. Microporous Mesoporous Mater. 2006, 87, 243–254. [CrossRef]
- Wahono, S.K.; Prasetyo, D.J.; Jatmiko, T.H.; Suwanto, A.; Pratiwi, D.; Hernawan; Vasilev, K. Transformation of Mordenite-Clinoptilolite Natural Zeolite at Different Calcination Temperatures. In Proceedings of the IOP Conference Series: Earth and Environmental Science, Tangerang, Indonesia, 1–2 November 2018; Volume 251, p. 012009. [CrossRef]









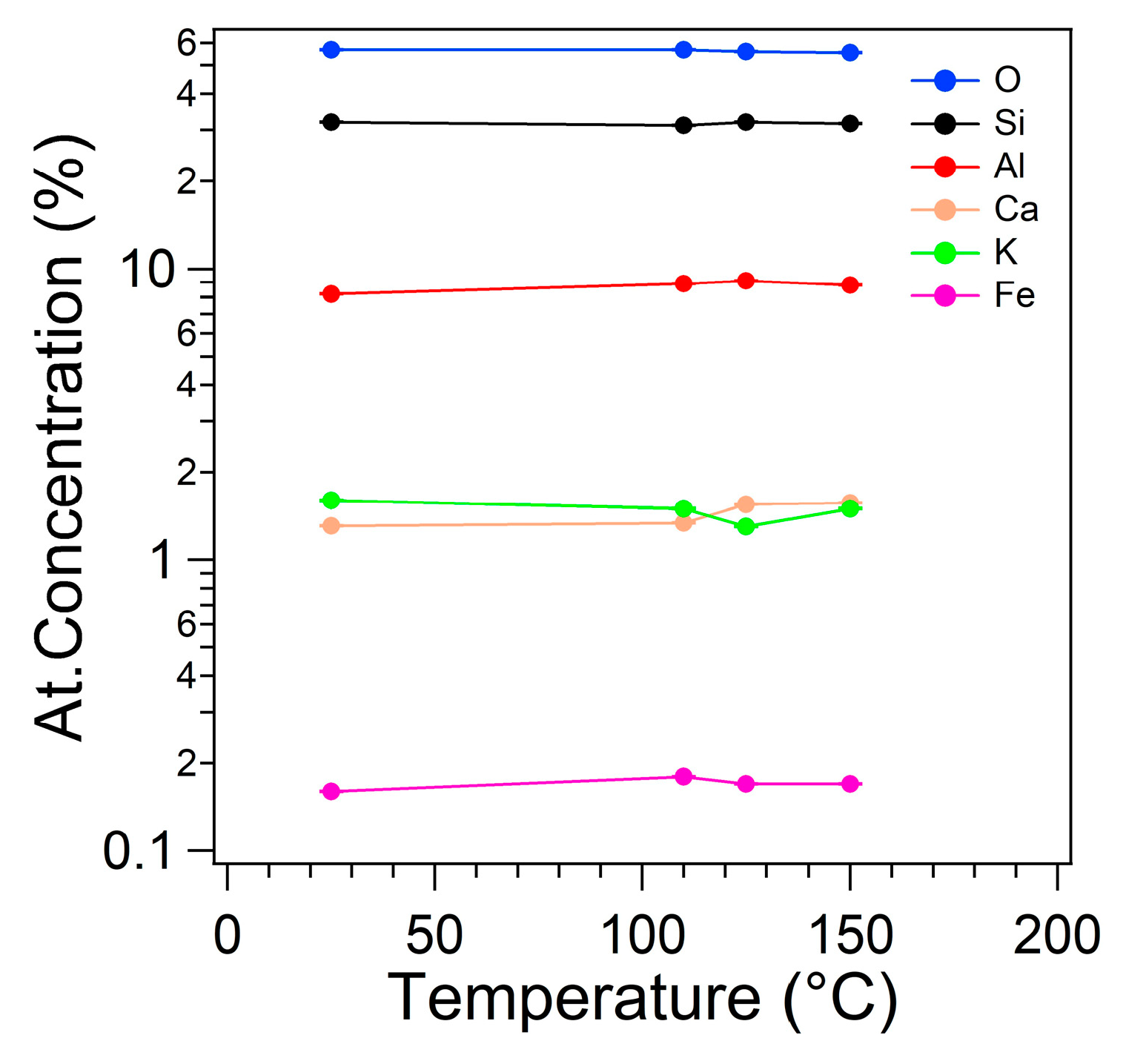
| XPS Signals | Al2p | Si2p | O1s | Ca2p | K2p | Fe2p | Si/Al |
|---|---|---|---|---|---|---|---|
| At. % | 7.22 | 33.22 | 56.42 | 1.30 | 1.71 | 0.13 | 4.60 |
Disclaimer/Publisher’s Note: The statements, opinions and data contained in all publications are solely those of the individual author(s) and contributor(s) and not of MDPI and/or the editor(s). MDPI and/or the editor(s) disclaim responsibility for any injury to people or property resulting from any ideas, methods, instructions or products referred to in the content. |
© 2024 by the authors. Licensee MDPI, Basel, Switzerland. This article is an open access article distributed under the terms and conditions of the Creative Commons Attribution (CC BY) license (http://creativecommons.org/licenses/by/4.0/).