Preprint
Communication

This version is not peer-reviewed.

Light Output Function and Pulse-Shape Discrimination Capability of P-terphenyl Organic Scintillator in Wide Energy Range

A peer-reviewed article of this preprint also exists.

Submitted:

22 August 2024

Posted:

23 August 2024

You are already at the latest version

Abstract
In this work, we studied light-output properties, efficiency function as well as PSD capability of p-Terphenyl scintillator. The selected solid cylindrical scintillation detector has a size of (45 x 45) mm with PSD properties. Recently presented studies of light-output functions have been meas-ured only for low neutron energies. Our motivation has been to determine more accurate the light output function for p-Terphenyl scintillator over a wider neutron energy range. The measurements have been carried out with mono-energetic neutron beams in the wide energy range from 2.5 to 19 MeV. The neutron-gamma spectrometric system, which we developed has been used for the measurement. The input analogue signal from the detector is digitized with fast 12-bits analogue to digital converter with sampling frequency of 1 GHz. Measured data from the detector are processed into gamma and neutron spectra. The light output function for protons has been determined by finding the position of the protons for given neutron energies. The more accurate light output function for p-Therphenyl scintillator has been calculated. The pulse-shape discrimination capability as well as efficiency of p-Terphenyl scintillator in comparison with NE-213 equivalent detector is lower.
Keywords: 
;  ;  ;  ;  ;  ;  

1. Introduction

In this work, we aim to measure the response of the p-Therphenyl scintillator with a mono-energetic radiation source and determine the light output function. We were motivated by the fact that recently presented studies of light output functions [8,9] with the p-Therphenyl scintillator are measured only for neutron energies up to 8 MeV, which is limiting for practical applications in neutron fields with higher energies, e.g., in particle accelerator laboratories.
The high accuracy of the light output function determination is very important for Monte Carlo simulations of the response of scintillation detectors. The so-called light output function expresses the relation between proton and electron energies. It’s known that, protons and electrons of the same energy give light pulses of different amplitudes. The light output is defined as the equivalent electron of energy L which is the light output for an electron depositing the corresponding energy inside the scintillator, i.e., a proton of energy Ep (MeV) which gives the same light output as an electron of equivalent energy L (MeV).
The p-Therphenyl scintillator has been placed in a field of mono-energetic radiation over a wide energy range (2.5 to 19 MeV). In this energy range, a new more accurate light output function has been determined. Furthermore, we carried out a comparison of the PSD capability between the p-Terphenyl scintillator and the well-known NE-213 scintillator. We also calculate efficiency function for both scintillators.

2. Materials and Methods

2.1. Materials

The solid cylindrical scintillation detector p-Terphenyl of (45 x 45) mm with PSD properties has been studied in this work. The p-Terphenyl, also known as 1,4-Diphenylbenzene or p-Diphenylbenzene, is a white crystalline solid that is highly soluble in organic solvents such as ethyl acetate, benzene, and toluene.
The p-Terphenyl has a molecular formula of C6H5C6H4C6H5 (C18H14) and a molecular weight of 230.31 g/mol. The compound is derived from three phenyl groups connected by a single bond, giving it a linear structure. The p-Terphenyl product number: CAS 92-94-4 is meticulously manufactured to ensure a purity level of 99.5 %.

2.2. Digital Neutron-Gamma Spectrometer

The digital spectrometer is built as a modular system allowing the use of different types of scintillation detectors. The preamplifier splits the signal from the detector into two branches. Each branch is differently amplified and digitized by separate ADC. Different amplification increases the dynamic range of particles that the spectrometer is able to process.
The input analog signal from the p-Terphenyl detector is digitized with fast 12-bit analog to digital converter with a sampling frequency of 1 GHz. Digital signal processing is implemented into FPGA. FPGA is able to process all data flowing from ADC (12 Gbits per second). The spectrometer is connected with a computer via an optical ethernet of 10 Gbit.

2.3. Experimental Setup

The first experimental measurements have been performed at the PTB Ion Accelerator Facility, where mono-energetic neutron fields are produced via selected reactions of proton and deuteron beams with light or medium-weight target nuclei, see Figure 1. The measurements were carried out in open geometry in the low-scattering hall, where the contribution of scattered neutrons is minimized by having grid floors [1,2].
The two neutron energies considered in this campaign 2.5 and 19 MeV. Mean neutron energy was obtained at the neutron emission angle of zero degrees relative to the direction of the incident beam. Targets Ti(T) 1831 μg/cm2 have been used for the 3H(p,n)3He reaction and 3H(d,n)4He reaction respectively. The experimental arrangement is shown in Figure 2.
The second measurements have been carried out in the laboratory with experimental reactor LVR-15 at Research Center Rez (CVR), Prague. Well defined moderate neutron spectra with energies, see Table 1, have been measured at the end of the horizontal beam port. Thermal neutrons and gammas was reduced via filter composed of 6Li, Cd, Bi, Pb. The experimental arrangement is shown in Figure 3.
Neutron spectra have been moderated via 1 m wide silicon single crystal which provides spectrum with characteristic energy peaks, see Figure 4.

2.4. Methods

The energy calibration has been performed using gamma-ray sources. Integrated digitized pulses have been linearly calibrated in keVee units, or keV electron equivalent. The linear transformation coefficients were derived from positions of the Compton edges [4] in the spectra of two gamma-ray sources 137Cs and 60Co. Sources of activity 350 kBq have been placed on the center of the front face detector. Measurement time has been determined in accordance with count rates from the detectors. The surrounding background has been subtracted from the measured spectra.
Data were acquired over a time of 2 hours for each measurement. Subsequently these data have been used to calculate light-output parameters and PSD matrix of p-Terphenyl scintillator.
Digital spectrometer has incorporated the integration method [6] for recognition of neutron and photon pulses. Integration method is based on the principle of pulse charge comparison. The PSD parameter is calculated to recognize neutron and photon events:
P S D = T t a i l T e n d U ( t ) d t T 0 T e n d U ( t ) d t ,
where Ttail is an optimized beginning of the tail part of the pulse and Tend is an optimized end point of the pulse, see Figure 5.
The experimental measurements of the scintillator response spectra were performed using the digital spectrometer in the laboratories CVR and PTB. The neutron response spectra have been identified employing the PSD method.
A summary of the incident neutron energies used in the experiments is given in Table 1. The edge with the highest equivalent electron energy in the neutron response spectrum corresponds to the maximum energy deposited in the scintillator by the neutron-reflected proton.

3. Results

The pulse-shape discrimination capability of p-Terphenyl scintillator coupled to the fast digital spectrometer has been evaluated for selected energy of 14 MeV. We carried out the same measurement with the equivalent NE-213 detector. We studied neutron/gamma separation capabilities (see Eq. 1) for each measured detector. A two-dimensional graphs have been created, see Figure 6.
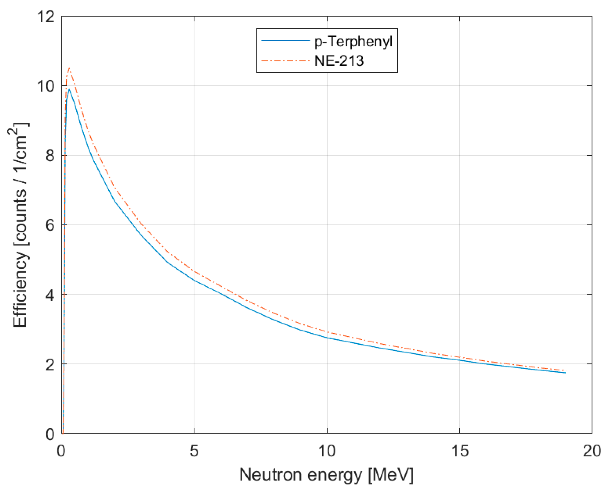
The efficiency calculations of the p-Terphenyl scintillator has been performed using Monte-Carlo MCNP 6.2 code. The efficiency curves for the p-Terphenyl and the NE-213 equivalent detector, with the same 100 keVee threshold, are shown in Figure 7.
The light output function is important for unfolding the neutron spectra from the pulse height distribution. The light output function is described by following formula [7]:
L ( E p ) = L 0 E e 2 E e + L 1 ,
where Ee is the electron energy in MeVee and L0, L1 are fitting parameters. Calculated fit parameters are summarized in Table 2. The light output function is shown in Figure 8.
Normalized pulse-height spectra for p-Therphenyl scintillator in selected mono-energetic neutron beams are shown in Figure 9.

4. Discussion

The light output function and pulse-shape discrimination capability of the p-Therphenyl scintillator have been measured and evaluated over a much wider energy range than previously reported.
Light output parameters, see Table 2 of the p-Therphenyl scintillator, have been determined from the data fitted by the function described in equation (2). Previous studies concerned with the same issue have reported the results of light output functions in their publications, see ref. [8,9]. We compared our results with previously presented results of light output functions, see Figure 10. Our light output function is in the band bounded by the functions from the cited papers. We assumed, based on our models, that the correct result would be among the presented functions. The measurement results confirmed our theory. This led to a refinement of the light output function for the p-Therphenyl scintillator.
The ability of the p-terphenyl scintillator to recognize the pulse shape was compared with the equivalent neutron detector NE-213. As can be seen in Figure 7, the neutron-gamma separation is not nearly as sharp and sufficiently separated (separation parameter) as in the case of the NE-213 detector. The p-Therphenyl scintillator has worse properties in this respect than the NE-213 detector, which is to be expected.
In a study [8], the efficiency of p-Therphenyl scintillator is discussed. The author C. Matei reported that the efficiency of this scintillator is greater than the NE-213 equivalent detector. Also, the author concluded his paper by stating that he could not explain this. We assume that the NE-213 detector has the best parameters, therefore the other detectors are compared with it. To support our hypothesis, we carried out Monte Carlo simulations of the efficiency of both detectors. The neutron efficiency comparison is shown in Figure 8. It is clear that the NE-213 detector has a higher efficiency compared to the p-Therphenyl scintillator. The results also show that from 15 MeV energy upwards, the efficiencies of both detectors are very close.
The results will be used in the future especially in the design of new detectors and in simulations of radiation transport using Monte Carlo code. Using the new light output function parameters, see Table 2, will ensure more accurate calculations and thus achieve more realistic results in practical applications.

Author Contributions

Conceptualization, A.J., Z.M. and M.K.; methodology, A.J. and Z.K.; software, Z.M.; validation, J.C.; data curation, A.J., Z.K and M.K.; formal analysis, A.J. and Z.K.; writing—original draft preparation, A.J.; supervision, Z.K. and Z.M.; project administration, A.J., Z.M. and M.K.; funding acquisition, A.J., Z.M. and M.K. All authors have read and agreed to the published version of the manuscript.

Funding

This research was funded by the Ministry of Education, Youth and Sports of the Czech Republic, project No. LM2018118 ”VR-1—Support for reactor operation for research activities”.

Data Availability Statement

Data will be made available upon request.

Acknowledgments

We are very grateful to the Physikalisch-Technische Bundesanstalt at Braunschweig for allowing the measurements in the laboratory with the Ion Accelerator.

Conflicts of Interest

The authors declare no conflicts of interest.

References

  1. Nolte, R.; Thomas, D. J. Monoenergetic fast neutron reference fields: I. neutron production. Metrologia 2011, 48, S263S273. [Google Scholar] [CrossRef]
  2. Nolte, R.; Thomas, D. J. Monoenergetic fast neutron reference fields: II. field characterization. Metrologia 2011, 48, S274S291. [Google Scholar] [CrossRef]
  3. Cvachovec, J.; Cvachovec, F. Maximum Likelihood Estimation of a Neutron Spectrum and Associated Uncertainties. Advances in Military Technology 2008, 3, 2nd ed., ISSN 1802-2308, 14.
  4. Dietze, G.; Klein, H. Gamma-calibration of NE 213 scintillation counters. Nuclear Instruments and Methods 1982, 193, 549–556. [Google Scholar] [CrossRef]
  5. Košťál, M.; Schulc, M.; Šoltés, J.; Losa, E.; Viererbl, L.; Matěj, Z.; Cvachovec, F.; Rypar, V. Measurements of neutron transport of well defined silicon filtered beam in lead. Applied Radiation and Isotopes 2018, 142, 160–166. [Google Scholar] [CrossRef] [PubMed]
  6. Brooks, F.D. A scintillation counter with neutron and gamma-ray discriminators. Nuclear Instruments and Methods 1959, 4, 151–163. [Google Scholar] [CrossRef]
  7. Kornilov, N.V.; Fabry, I.; Oberstedt, S.; Hambsch, F.-J. Total characterization of neutron detectors with a 252Cf source and a new light output determination. Nuclear Instruments and Methods 2009, 599, 226–233. [Google Scholar] [CrossRef]
  8. Matei, C.; Hambsch, F. - J.; Oberstedt, S. Proton light output function and neutron efficiency of a p-terphenyl detector using a 252Cf source. Nuclear Instruments and Methods 2012, 676, 135–139.
  9. Sardet, A.; Varignon, C.; Laurent, B.; Granier, T.; Oberstedt, A. p-Terphenyl: An alternative to liquid scintillators for neutron detection. Nuclear Instruments and Methods 2015, 792, 74–80. [Google Scholar] [CrossRef]
Figure 1. The scheme of digital spectrometer.
Figure 1. The scheme of digital spectrometer.
Preprints 115995 g001
Figure 2. The experimental arrangement in the low-scatter hall. Position of the detector (on the left-side) and the beam target (on the right-side) as used for the measurements. In between there is a shadow cone.
Figure 2. The experimental arrangement in the low-scatter hall. Position of the detector (on the left-side) and the beam target (on the right-side) as used for the measurements. In between there is a shadow cone.
Preprints 115995 g002
Figure 3. The experimental arrangement in the laboratory with LVR-15 reactor. The detector was placed along the beam axis at 1.5 m distance from the silicon filter target [5].
Figure 3. The experimental arrangement in the laboratory with LVR-15 reactor. The detector was placed along the beam axis at 1.5 m distance from the silicon filter target [5].
Preprints 115995 g003
Figure 4. The unfolded silicon moderated neutron spectrum measured with stilbene [5].
Figure 4. The unfolded silicon moderated neutron spectrum measured with stilbene [5].
Preprints 115995 g004
Figure 5. The Mechanism of pulse schape discrimination.
Figure 5. The Mechanism of pulse schape discrimination.
Preprints 115995 g005
Figure 6. The 2D plot of PSD matrix: (a) p-Terphenyl scintillator, (b) NE-213 scintillator.
Figure 6. The 2D plot of PSD matrix: (a) p-Terphenyl scintillator, (b) NE-213 scintillator.
Preprints 115995 g006
Figure 7. The calculated efficiency for p-Terphenyl scintillator and equivalent NE-213.
Figure 7. The calculated efficiency for p-Terphenyl scintillator and equivalent NE-213.
Preprints 115995 g007
Figure 8. The light output function for p-Therphenyl scintillator.
Figure 8. The light output function for p-Therphenyl scintillator.
Preprints 115995 g008
Figure 9. The normalized pulse-height spectra for p-Therphenyl scintillator.
Figure 9. The normalized pulse-height spectra for p-Therphenyl scintillator.
Preprints 115995 g009
Figure 10. The comparison of the light output functions for p-Therphenyl scintillator.
Figure 10. The comparison of the light output functions for p-Therphenyl scintillator.
Preprints 115995 g010
Table 1. The overview of used neutron energies during the experimental measurements.
Table 1. The overview of used neutron energies during the experimental measurements.
Laboratory CVR CVR PTB CVR CVR CVR CVR CVR CVR PTB
En [MeV] 1.1 1.8 2.5 3.0 3.7 4.25 5.4 6.6 14.0 19.0
Reaction Si filter Si filter 3H(p,n)3He Si filter Si filter Si filter Si filter Si filter 3H(d,n)4He 3H(d,n)4He
Table 2. The Light output parameters for investigated scintillator.
Table 2. The Light output parameters for investigated scintillator.
Scintillator L0 L1
p-Therphenyl 0.734 ± 0.017 3.638 ± 0.404
Disclaimer/Publisher’s Note: The statements, opinions and data contained in all publications are solely those of the individual author(s) and contributor(s) and not of MDPI and/or the editor(s). MDPI and/or the editor(s) disclaim responsibility for any injury to people or property resulting from any ideas, methods, instructions or products referred to in the content.
Copyright: This open access article is published under a Creative Commons CC BY 4.0 license, which permit the free download, distribution, and reuse, provided that the author and preprint are cited in any reuse.
Prerpints.org logo

Preprints.org is a free preprint server supported by MDPI in Basel, Switzerland.

Subscribe

Disclaimer

Terms of Use

Privacy Policy

Privacy Settings

© 2026 MDPI (Basel, Switzerland) unless otherwise stated