Submitted:
15 February 2024
Posted:
16 February 2024
Read the latest preprint version here
Abstract
Keywords:
1. Introduction
2. Materials and Methods
2.1. Materials
2.2. Digital Neutron-Gamma Spectrometer
2.3. Experimental Setup
2.4. Methods
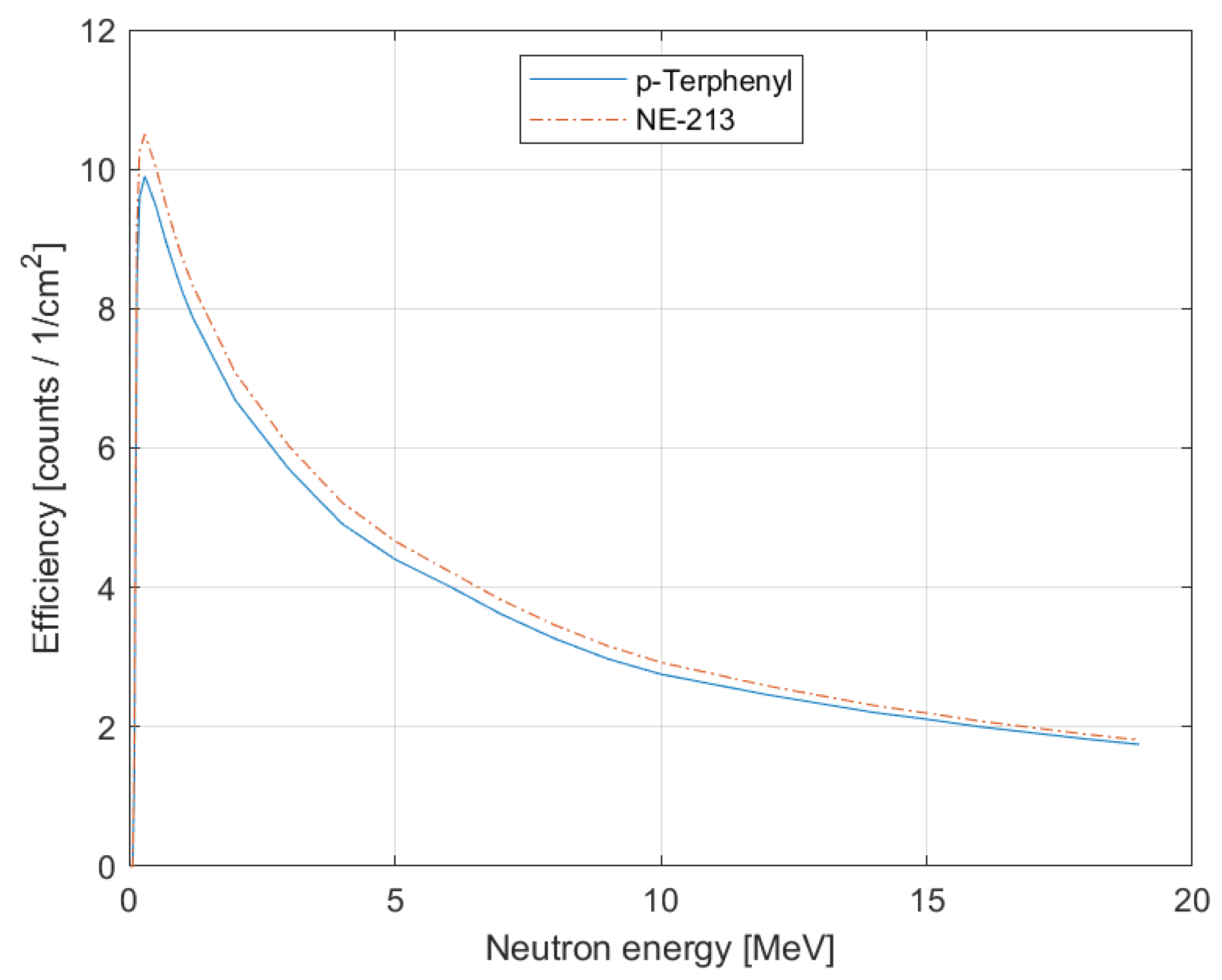
3. Results
4. Discussion
Author Contributions
Funding
Data Availability Statement
Acknowledgments
Conflicts of Interest
References
- Nolte, R.; Thomas, D. J. Monoenergetic fast neutron reference fields: I. neutron production. Metrologia 2011, 48, S263S273. [Google Scholar] [CrossRef]
- Nolte, R.; Thomas, D. J. Monoenergetic fast neutron reference fields: II. field characterization. Metrologia 2011, 48, S274S291. [Google Scholar] [CrossRef]
- Cvachovec, J.; Cvachovec, F. Maximum Likelihood Estimation of a Neutron Spectrum and Associated Uncertainties. Advances in Military Technology 2008, 3, 2nd ed., ISSN 1802-2308, 14.
- Dietze, G.; Klein, H. Gamma-calibration of NE 213 scintillation counters. Nuclear Instruments and Methods 1982, 193, 549–556. [Google Scholar] [CrossRef]
- Košťál, M.; Schulc, M.; Šoltés, J.; Losa, E.; Viererbl, L.; Matěj, Z.; Cvachovec, F.; Rypar, V. Measurements of neutron transport of well defined silicon filtered beam in lead. Applied Radiation and Isotopes 2018, 142, 160–166. [Google Scholar] [CrossRef] [PubMed]
- Brooks, F.D. A scintillation counter with neutron and gamma-ray discriminators. Nuclear Instruments and Methods 1959, 4, 151–163. [Google Scholar] [CrossRef]
- Kornilov, N.V.; Fabry, I.; Oberstedt, S.; Hambsch, F.-J. Total characterization of neutron detectors with a 252Cf source and a new light output determination. Nuclear Instruments and Methods 2009, 599, 226–233. [Google Scholar] [CrossRef]
- Matei, C.; Hambsch, F. - J.; Oberstedt, S. Proton light output function and neutron efficiency of a p-terphenyl detector using a 252Cf source. Nuclear Instruments and Methods 2012, 676, 135–139. [Google Scholar] [CrossRef]
- Sardet, A.; Varignon, C.; Laurent, B.; Granier, T.; Oberstedt, A. p-Terphenyl: An alternative to liquid scintillators for neutron detection. Nuclear Instruments and Methods 2015, 792, 74–80. [Google Scholar] [CrossRef]










| Laboratory | CVR | CVR | PTB | CVR | CVR | CVR | CVR | CVR | CVR | PTB |
|---|---|---|---|---|---|---|---|---|---|---|
| En [MeV] | 1.1 | 1.8 | 2.5 | 3.0 | 3.7 | 4.25 | 5.4 | 6.6 | 14.0 | 19.0 |
| Reaction | Si filter | Si filter | 3H(p,n)3He | Si filter | Si filter | Si filter | Si filter | Si filter | 3H(d,n)4He | 3H(d,n)4He |
| Scintillator | L0 | L1 |
|---|---|---|
| p-Therphenyl | 0.734 ± 0.017 | 3.638 ± 0.404 |
Disclaimer/Publisher’s Note: The statements, opinions and data contained in all publications are solely those of the individual author(s) and contributor(s) and not of MDPI and/or the editor(s). MDPI and/or the editor(s) disclaim responsibility for any injury to people or property resulting from any ideas, methods, instructions or products referred to in the content. |
© 2024 by the authors. Licensee MDPI, Basel, Switzerland. This article is an open access article distributed under the terms and conditions of the Creative Commons Attribution (CC BY) license (http://creativecommons.org/licenses/by/4.0/).