Submitted:
15 February 2024
Posted:
16 February 2024
You are already at the latest version
Abstract
Keywords:
1. Introduction
2. EXPERIMENTAL
3. RESULTS and DISCUSSION
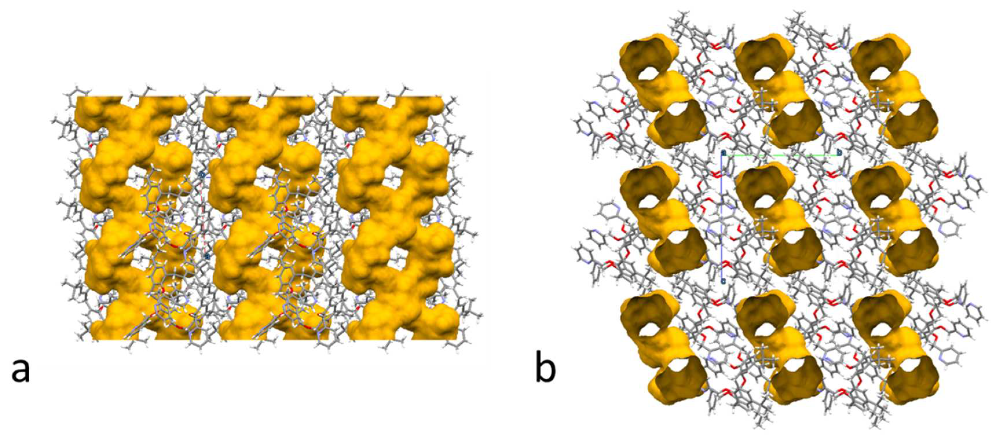
3.1. PyC4 – Calix[4]arene
3.2. PyHOC4 – Dihomooxacalix[4]arene
3.3. PyHO3C3 - Hexahomotrioxacalix[3]arene
4. CONCLUSIONS
Supplementary Materials
Funding
Data Availability Statement
Acknowledgments
Disclosure statement
References
- Reinhoudt, D.N. Introduction and History. In Calixarenes and Beyond; Neri, P., Sessler, J.L., Wang, M.-X., Eds.; Springer International Publishing: Cham, 2016; pp. 1–11 ISBN 9783319318677.
- Nimse, S.B.; Kim, T. Biological Applications of Functionalized Calixarenes. Chem. Soc. Rev. 2013, 42, 366–386. [CrossRef]
- Kumar, R.; Sharma, A.; Singh, H.; Suating, P.; Kim, H.S.; Sunwoo, K.; Shim, I.; Gibb, B.C.; Kim, J.S. Revisiting Fluorescent Calixarenes: From Molecular Sensors to Smart Materials. Chem. Rev. 2019, 119, 9657–9721. [CrossRef]
- Arora, V.; Chawla, H.M.; Singh, S.P. Calixarenes as Sensor Materials for Recognition and Separation of Metal Ions. Arkivoc 2007, 2007, 172–200. [CrossRef]
- Pan, Y.C.; Hu, X.Y.; Guo, D.S. Biomedical Applications of Calixarenes: State of the Art and Perspectives. Angew. Chemie - Int. Ed. 2021, 60, 2768–2794. [CrossRef]
- Giuliani, M.; Morbioli, I.; Sansone, F.; Casnati, A. Moulding Calixarenes for Biomacromolecule Targeting. Chem. Commun. 2015, 51, 14140–14159. [CrossRef]
- Ludwig, R. Calixarenes for Biochemical Recognition and Separation. Microchim. Acta 2005, 152, 1–19. [CrossRef]
- Sliwa, W.; Girek, T. Calixarene Complexes with Metal Ions. J. Incl. Phenom. Macrocycl. Chem. 2010, 66, 15–41. [CrossRef]
- Homden, D.M.; Redshaw, C. The Use of Calixarenes in Metal-Based Catalysis. Chem. Rev. 2008, 108, 5086–5130. [CrossRef]
- Creaven, B.S.; Donlon, D.F.; McGinley, J. Coordination Chemistry of Calix[4]arene Derivatives with Lower Rim Functionalisation and Their Applications. Coord. Chem. Rev. 2009, 253, 893–962. [CrossRef]
- Marcos, P.M.; Mellah, B.; Ascenso, J.R.; Michel, S.; Hubscher-Bruder, V.; Arnaud-Neu, F. Binding Properties of P-Tert-Butyldihomooxacalix[4]arene Tetra(2-Pyridylmethoxy) Derivative towards Alkali, Alkaline Earth, Transition and Heavy Metal Cations. New J. Chem. 2006, 30, 1655–1661. [CrossRef]
- Jin Mei, C.; Ainliah Alang Ahmad, S. A Review on the Determination Heavy Metals Ions Using Calixarene-Based Electrochemical Sensors. Arab. J. Chem. 2021, 14, 103303. [CrossRef]
- Wilson, L.R.B.; Coletta, M.; Evangelisiti, M.; Piligkos, S.; Dalgarno, S.J.; Brechin, E.K. The Coordination Chemistry of P-Tert-Butylcalix[4]arene with Paramagnetic Transition and Lanthanide Metal Ions: An Edinburgh Perspective. Dalt. Trans. 2022, 51, 4213–4226. [CrossRef]
- Pappalardo, S.; Giunta, L.; Foti, M.; Ferguson, G.; Gallagher, J.F.; Kaitner, B. Functionalization of Calix[4]arenes by Alkylation with 2-(Chloromethyl)Pyridine Hydrochloride. J. Org. Chem. 1992, 57, 2611–2624. [CrossRef]
- Danil de Namor, A.F.; Castellano, E.E.; Pulcha Salazar, L.E.; Piro, O.E.; Jafou, O. Thermodynamics of Cation (Alkali-Metal) Complexation by 5,11,17,23-Tetra-tert-Butyl[25,26,27,28-Tetrakis(2-Pyridylmethyl)oxy]- Calix(4)arene and the Crystal Structure–Superstructure of Its 1:1 Complex with Sodium and Acetonitrile. Phys. Chem. Chem. Phys. 1999, 1, 285–293. [CrossRef]
- Danil De Namor, A.F.; Piro, O.E.; Pulcha Salazar, L.E.; Aguilar-Cornejo, A.F.; Al-Rawi, N.; Castellano, E.E.; Sueros Velarde, F.J. Solution Thermodynamics of Geometrical Isomers of Pyridino Calix(4)arenes and Their Interaction with the Silver Cation. The X-Ray Structure of a 1: 1 Complex of Silver Perchlorate and Acetonitrile with 5,11,17,23-Tetra-tert-Butyl-[25,26,27,28-Tetrakis(2-Pyridylmethyl)oxy]-Calix(4)arene. J. Chem. Soc. - Faraday Trans. 1998, 94, 3097–3104. [CrossRef]
- Marcos, P.M.; Teixeira, F.A.; Segurado, M.A.P.; Ascenso, J.R.; Bernardino, R.J.; Cragg, P.J.; Michel, S.; Hubscher-Bruder, V.; Arnaud-Neu, F. Complexation and DFT Studies of Lanthanide Ions by (2-Pyridylmethoxy)Homooxacalixarene Derivatives. Supramol. Chem. 2013, 25, 522–532. [CrossRef]
- Marcos, P.M. Functionalization and Properties of Homooxacalixarenes. In Calixarenes and Beyond; Neri, P., Sessler, J.L., Wang, M.-X., Eds.; Springer International Publishing: Cham, 2016; pp. 445–466 ISBN 978-3-319-31867-7.
- Yamato, T.; Haraguchi, M.; Nishikawa, J.I.; Ide, S.; Tsuzuki, H. Synthesis, Conformational Studies, and Inclusion Properties of Tris[(2- Pyridylmethyl)Oxy]Hexahomotrioxacalix[3]arenes. Can. J. Chem. 1998, 76, 989–996. [CrossRef]
- Marcos, P.M.; Ascenso, J.R.; Pereira, J.L.C.C. Synthesis and NMR Conformational Studies of P-Tert-Butyldihomooxacalix[4]arene Derivatives Bearing Pyridyl Pendant Groups at the Lower Rim. European J. Org. Chem. 2002, 2002, 3034–3041. [CrossRef]
- Cragg, P.J.; Drew, M.G.B.; Steed, J.W. Conformational Preferences of O-Substituted Oxacalix[3]arenes. Supramol. Chem. 1999, 11, 5–15. [CrossRef]
- Marcos, P.M.; Teixeira, F.A.; Segurado, M.A.P.; Ascenso, J.R.; Bernardino, R.J.; Cragg, P.J.; Michel, S.; Hubscher-Bruder, V.; Arnaud-Neu, F. Complexation and DFT Studies of Lower Rim Hexahomotrioxacalix[3]arene Derivatives Bearing Pyridyl Groups with Transition and Heavy Metal Cations. Cone versus Partial Cone Conformation. J. Phys. Org. Chem. 2013, 26, 295–305. [CrossRef]
- Kabsch, W. XDS. Acta Crystallogr. Sect. D Biol. Crystallogr. 2010, 66, 125–132. [CrossRef]
- Kabsch, W. Integration, Scaling, Space-Group Assignment and Post-Refinement. Acta Crystallogr. Sect. D Biol. Crystallogr. 2010, 66, 133–144. [CrossRef]
- Sheldrick, G.M. SHELXT - Integrated Space-Group and Crystal-Structure Determination. Acta Crystallogr. Sect. A Found. Crystallogr. 2015, 71, 3–8. [CrossRef]
- Sheldrick, G.M. Crystal Structure Refinement with SHELXL. Acta Crystallogr. Sect. C 2015, 71, 3–8. [CrossRef]
- Hickey, N.; Iuliano, V.; Talotta, C.; De Rosa, M.; Soriente, A.; Gaeta, C.; Neri, P.; Geremia, S. Solvent and Guest-Driven Supramolecular Organic Frameworks Based on a Calix[4]arene-Tetrol: Channels vs Molecular Cavities. Cryst. Growth Des. 2021, 21, 6357–6363. [CrossRef]
- Miranda, A.S.; Marcos, P.M.; Ascenso, J.R.; Berberan-Santos, M.N.; Schurhammer, R.; Hickey, N.; Geremia, S. Dihomooxacalix[4]arene-Based Fluorescent Receptors for Anion and Organic Ion Pair Recognition. Molecules 2020, 25. [CrossRef]
- Miranda, A.S..; Marcos, P.M.; Ascenso, J.R.; Robalo, M.P.; Bonifácio, V.D.B.; Berberan-Santos, M.N.; Hickey, N.; Geremia, S. Conventional vs. Microwave- or Mechanically-Assisted Synthesis of Dihomooxacalix[4]arene Phthalimides: NMR, X-Ray and Photophysical Analysis. Molecules 2021, 26, 1503. [CrossRef]
- Teixeira, F.A.; Ascenso, J.R.; Cragg, P.J.; Hickey, N.; Geremia, S.; Marcos, P.M. Recognition of Anions, Monoamine Neurotransmitter and Trace Amine Hydrochlorides by Ureido-Hexahomotrioxacalix[3]arene Ditopic Receptors. European J. Org. Chem. 2020, 2020, 1930–1940. [CrossRef]







| Crystal | A-B | B-C | C-D | D-A |
| PyC4-MeOH- α | 96 | 94 | 92 | 91 |
| PyC4-H2O- α | 96 | 94 | 92 | 91 |
|
PyC4-MeOH-β * |
96 96 |
92 93 |
94 95 |
93 93 |
| PyC4⸦MeCN-MeOH | 100 | 102 | 95 | 100 |
| PyC4⸦MeCN-H2O | 99 | 100 | 97 | 101 |
| PyC4 | 86 | 87 | 92 | 93 |
|
PyHOC4-DMSO * * * |
59 58 62 56 |
90 95 91 91 |
103 97 102 99 |
97 98 95 102 |
| PyHOC4 ⸦MeCN-MeOH | 69 | 112 | 105 | 96 |
| PyHOC4 -Hexane | 61 | 77 | 101 | 113 |
| C-A | ||||
| PyHO3C3 | 48 | 102 | 36 | |
| PyHO3C3-H2O-MeOH | 62 | 98 | 31 |
| Crystal | A | B | C | D |
| PyC4-MeOH- α | 128 | 98 | 128 | 91 |
| PyC4-H2O- α | 128 | 98 | 128 | 91 |
|
PyC4-MeOH-β * |
136 135 |
96 93 |
130 131 |
89 91 |
| PyC4⸦MeCN-MeOH | 118 | 112 | 117 | 108 |
| PyC4⸦MeCN-H2O | 121 | 110 | 118 | 109 |
| PyC4 | 135 | 85 | 130 | 87 |
|
PyHOC4-DMSO * * * |
117 119 116 119 |
72 76 74 70 |
135 136 134 136 |
102 98 100 103 |
| PyHOC4 ⸦MeCN-MeOH | 105 | 97 | 128 | 112 |
| PyHOC4 -Hexane | 112 | 68 | 137 | 106 |
| PyHO3C3 | 57 | 119 | 134 | |
| PyHO3C3 -H2O-MeOH | 66 | 110 | 133 |
Disclaimer/Publisher’s Note: The statements, opinions and data contained in all publications are solely those of the individual author(s) and contributor(s) and not of MDPI and/or the editor(s). MDPI and/or the editor(s) disclaim responsibility for any injury to people or property resulting from any ideas, methods, instructions or products referred to in the content. |
© 2024 by the authors. Licensee MDPI, Basel, Switzerland. This article is an open access article distributed under the terms and conditions of the Creative Commons Attribution (CC BY) license (http://creativecommons.org/licenses/by/4.0/).
