Preprint
Article

This version is not peer-reviewed.

Performance Comparison of VVC, AV1, HEVC and AVC for High Resolutions

A peer-reviewed article of this preprint also exists.

Submitted:

15 February 2024

Posted:

16 February 2024

You are already at the latest version

Abstract
In recent years, an interest in multimedia services has grown expeditiously where the main part is comprised of video. Firms as well as subscribers require higher resolutions, framerates and sampling precision which results to higher amount of data need for processing, storing and transmitting. Therefore, a big challenge arises for researchers to develop new compression standards which should reduce the huge amount of data and keep quality at the same level. This paper examines compression performance of the latest and currently most used video codecs, namely H.266/VVC, AV1, H265/HEVC and H.264/AVC. The test set consists of seven sequences with various content at 8K, Ultra HD and Full HD resolution and encoded to bitrates from 1 to 15 Mbps for Full HD and Ultra HD resolutions and from 5 to 50 Mbps for 8K resolution, respectively. Codec performance was measured using PSNR, SSIM and VMAF objective quality metrics. In terms of the Bjøntegaard-Delta (BD) model, the results showed that H.266/VVC outperforms all other codecs, namely H.264/AVC,H.265/HEVC and AV1, respectively. Averaged bitrate savings were approximately 78\% for H.266/VVC, 63\% for AV1 and 53\% for H.265/HEVC relative to H.264/AVC, 59\% for H.266/VVC, 22\% for AV1 compared to H.264/AVC and 46\% for H.266/VVC relative to AV1, all for 8K resolution. The results also showed that the performance varies depending on resolution – with higher resolution, the efficiency of newly developed codecs such as H.266/VVC and AV1 is greater, which confirmed the fact that the H.266/VVC and AV1 codecs have been primarily developed for videos at high resolutions as 8K and/or UHD.
Keywords: 
;  ;  ;  ;  ;  ;  ;  ;  ;  ;  ;  

1. Introduction

In recent years, the demand for multimedia services, especially in the video field, has rapidly increased. The requirement for higher resolution, framerate and sampling precision is growing year by year. Both, subscribers and firms require still higher resolution, where 4K is becoming a common part of video broadcasting and streaming. The research community is currently focusing more on 8K resolution. Demand for higher framerates has also been rising in the past years, especially from post-production companies. Last but not least, the High Dynamic Range (HDR) technology as a common feature that can boost image and video quality, has come to the fore. All these parameters can improve the observer´s experience on the one hand but on the other one, they have a big impact on the final bitrate and bandwidth. Such a huge amount of data should be processed, stored or transmitted which becomes a big challenge for industry, researchers and companies to develop new compression techniques and standards. Newly developed codecs should reduce the amount of data and keep perceived quality at the same level.
Versatile Video Coding (VVC), also known as H.266 or MPEG-I Part3 is the newest video codec from the MPEG family group and a successor to High Efficiency Video Coding (HEVC). It was developed in 2020 by the Joint Video Experts Team (JVET), a joint video expert team of the VCEG working group of ITU-T Study Group 16 and the MPEG working group of ISO/IEC JTC 1/SC 29. The biggest advantage of the VVC codec, as its name implies, is its versatility, which means, efficient encoding of a wide range of video content and applications. Although it is not widely used at present, it holds great promise for the future. [1] AOMedia Video 1 (AV1) is an open, royalty-free video codec that was developed in 2015 by the Alliance for Open Media (AOMedia) to succeed Google´s VP9 codec. AOMedia is a huge consortium that includes many companies, providers, video content producers, software development firms, and web browser vendors. [2,3] High Efficiency Video Coding (HEVC), also known as H.265 or MPEG-H Part 2, is a video compression standard developed in 2013 to overcome H.264/AVC codec. HEVC is a video project of the ITU-T Video Coding Experts Group (VCEG) and the ISO/IEC Moving Picture Experts Group (MPEG) standardization organizations, working together in a partnership known as the Joint Collaborative Team on Video Coding (JCT-VC). [3,4] Advanced Video Coding (AVC), also known as H.264 or MPEG-4 Part 10, is a video compression standard of the same standardization organizations as by the HEVC codec. Although it was developed in 2003, it remains one of the most popular codec for recording, compression, and distribution of video content.[5]
Recently, many experts and researchers have provided quality performance analysis of the abovementioned codecs. Authors in [6,7] performed analysis between the HEVC and VVC codecs for test sequences with resolution ranging from 240p up to Ultra HD (UHD) and in [8] from 480p to UHD resolution, respectively. In both articles, the compression efficiency was evaluated by the Peak Signal-to-Noise Ratio (PSNR) objective method. In paper [9] the rate-distortion analysis of the same codecs using the PSNR, Structural Similarity Index (SSIM), and Video Multi-Method Assessment Fusion (VMAF) quality metrics was provided. Authors in [10,11] assessed video quality of the HEVC, VVC, and AV1 compression standards for test sequences with resolution varying from 240p to UHD/4K resolutions and in [12,13] at Full HD (FHD) and Ultra HD (UHD) resolutions, respectively. The compression efficiency was calculated using the PSNR objective metric. In [12,13], for the quality evaluation also the Multi-Scale Structural Similarity Index (MS-SSIM) method was used. Paper [14] brings a comparative experimental study of the HEVC, VVC, AV1 as well as the H.264 codec for the Full HD (FHD) test sequences. The rate-distortion analysis was provided by the PSNR, SSIM, and VMAF objective metrics. Paper [15] offers a comparative evaluation of the compression efficiency for the H.264, HEVC, VVC, AV1, and VP9, but only for video sequences at 480p resolution. Paper [16] presents a comparative performance assessment of five video codecs - HEVC, VVC, AV1, EVC, and VP9. The experimental evaluation was done on three video datasets with three different resolutions - 768x432, 560x488, and 3840x2160 (UHD). In paper [17] authors compared the performances of the HEVC, VVC, AV1, and VP9 codecs using video sequences from three different datasets with resolutions ranging from 480p up to Full HD (FHD). The rate-distortion analysis was performed by both - the PSNR and VMAF objective quality metrics. Paper [18] deals with an objective performance evaluation of the HEVC, JEM, AV1, and VP9 codecs done by the PSNR metric. A large testset of 28 video sequences with different resolutions varying from 240p to Ultra HD (UHD) was generated. In paper [19] the coding performance of the HEVC, VVC, VP9, and AVS3 codecs is described. The datasets cover a wide range of video sequences at resolutions up to 4K. Paper [20] examines the compression performance of three codecs, namely HEVC, VVC, and AV1 measured by the PSNR and SSIM objective video quality metrics. In paper [21] authors compared the coding performance of the HEVC, EVC, VVC, and AV1 in terms of computational complexity.
Even though in the two aforementioned articles, the authors investigated the quality performance of the latest codecs using 8K video test sequences, the number of used sequences is still low. From the survey above is apparent that a complex performance evaluation of popular codecs at 8K resolution is missing. For this reason, we determined to conduct an objective assessment of well-known codecs in various resolutions and bitrates.
This paper presents a performance evaluation of common video codecs, namely H.264/AVC, H.265/HEVC, H.266/VVC, and AV1. The assessment is conducted for seven test sequences with diverse Spatial Information (SI) and Temporal Information(TI) values coded to various bitrates at 8K, Ultra HD (UHD), and Full HD (FHD) resolutions. The quality is evaluated by PSNR, SSIM, and VMAF objective metrics.
The remainder of the paper is organized as follows. Section II focuses on the experiment setup, where the used dataset, video encoding, and objective quality evaluation are described. Section III deals with the analysis of the results and Section IV with the conclusion.

2. Experiment setup

2.1. Dataset description

There are many factors that can influence the results. Firstly, the selection of test set, which means test sequences, plays an important role. The more complex the test sequence, in the meaning of SI-TI parameters, the higher the difficulty of the encoding process. On the contrary, sequences with slow motion or small amount of spatial details can be coded with higher efficiency. The resolution, bitdepth, framerate, i.e. number of frames per second, and color space are input factors that can also affect the final results. Last but not least, the experimental setup, in the meaning of adjustment of the encoding parameters, can influence the results. This includes, for instance, the Group of Pictures (GoP) setting, encoding quality choice by either Quantization Parameter (QP) or bitrate (BR) constrain, selection of encoding modes as Constant Bitrate (CBR), Variable Bitrate (VBR) or Adaptive Bitrate (ABR), choice of rate control modes as 1-pass, 2-pass or CRF encoding, selection of used presets, tunes or profiles.
In our experiments, we have used sequences from three different databases. As far as we know, these three datasets are the only ones that contain test sequences at 8K resolution. The first dataset, called “Fraunhofer”, was created in 2019 by the Fraunhofer HHI and is publicly available at [22]. It is a set of seven 8K video sequences in a BT.2020 SDR and a BT.2100 PQ HDR version. The sequences have been recorded by the RED DSMC2 camera with Helium 8K S35 35.4 Megapixel CMOS Sensor. The second dataset, called “SEPE”, contains 40 video sequences that have been captured using a Canon R5C video camera in 10-bit Canon Cinema RAW Light (CRM) format and converted into 8-bit RGBA pixel format encoded in lossless PNG format using Adobe Premiere Pro. The whole dataset is available at [23]. The third dataset, called PP8K, contains 16 8K video sequences which have been collected by the professional 8K camera (Sharp 8 C-B60A camcorder), which provides 16-bit raw data. Afterward, for practical use, they were converted to 10-bit 4:2:0 YUV format by FFmpeg, where the command-line was:
ffmpeg -f image2 -i 0000%d.tif -s 7680x4320 -pix_fmt yuv420p10le SeqName.yuv
The YUV, also known as YPbPr in analog or YCbCr in digital video, is a color model, composed of luma (Y) and two chroma (UV) components. In the past, it was primarily used on an analog television. Nowadays, it is used for chroma subsampling which is a type of compression that reduces the color information in a video signal in favor of luminance (Y) data in order to reduce bandwidth usage without significantly affecting picture quality. There are many types of subsampling modes for instance 4:2:2, 4:2:0, or 4:1:1. In our experiments, we have used the 4:2:0 subsampling format, which means the bandwidth of a video signal is reduced by half compared to no chroma subsampling signal.
The color space of these sequences is ITU-R BT.2020 and is available at [24]. All technical parameters as the resolution, color space, bitdepth, framerate as well as duration of all three datasets are presented in Table 1.
The datasets have great diversity and universality. In order to evaluate the performance of all sequences, the spatial-temporal analysis according to [25] should be performed. The spatial perceptual information (SI) indicates the amount of spatial detail in a video frame and is based on the Sobel filter. It is generally higher for more spatially scene content. The temporal perceptual information (TI) indicates the amount of temporal changes in a video sequence. This change is called the motion difference property and is defined as a function of time. It is generally higher for high-motion video sequences. Both SI and TI are calculated for the luminance part of the video frames only. [25].
Since the Spatial and Temporal Information varies with resolution, one SI-TI diagram should be drawn for every resolution. In our research, we decided to explore the video quality not only at 8K resolution but also at Ultra HD (UHD) and Full HD (FHD) resolution. For this reason, we had to downscale all test sequences from 8K resolution to UHD and FHD resolution, respectively. For this purpose, we have used the FFmpeg tool [26] with the following command-line:
ffmpeg -f rawvdideo -video_size {resolution} -pixel_format {color space} -framerate {framerate} -i {input_sequence} -vf scale={resolution} -c:v rawvideo {output_sequence}
All three SI-TI diagrams, each for one resolution using the [27] are drawn in Figure 1. In all these plots, all sequences of all three datasets are depicted. Particular datasets are distinguished by different markers, namely squares represent the Fraunhofer dataset, circles represent the SEPE dataset and asterisks represent the PP8K dataset and each sequence is marked by a different color. Before the serial number of each sequence, a letter representing the abbreviation of the dataset is written, namely "F" for "Fraunhofer", "S" for SEPE, and "P" for the "PP8K" dataset.
The entire dataset contains 63 test sequences altogether for each resolution. For our study, we had to select some of them. To cover all SI-TI diagrams, we have decided to choose sequences with a wide variety of SI and TI values. We have picked one sequence from each of the four corners, namely "Cooking", "TiergartenParkway", "BodeMuseum", "Koi" and three sequences from the middle of the SI-TI plot, namely "NeptuneFountain3", "Giraffe" and "36". A short characteristic with given SI-TI values of selected test sequences is shown in Table 2 and their previews in Figure 2 .

2.2. Video Encoding

For our study, all test sequences were encoded to the tested compression standards, namely H.264/AVC, H.265/HEVC, H.266/VVC, and AV1 using the FFmpeg tool [26]. Since there is no support for VVC in FFmpeg, according to [28] the patch included VVC support was manually submitted to FFmpeg. The bitrate range was set to 1, 3, 5, 7, 10, 15 Mbps for FHD and UHD resolution and to 5, 7, 10, 15, 30, 50 Mbps for 8K resolution, respectively. Altogether, 420 test sequences were encoded. The Group of Picture (GoP) was set to 60 for the Fraunhofer and PP8K datasets and 30 for the SEPE dataset, which determines that every second an intraframe (I) frame occurred. The GoP structure is referred to by two numbers - N and M, where N stands for the distance between two keyframes, i.e. I frames, also known as the length of GoP and M stands for the distance between two anchor frames (I or P). Since the GoP settings, except the I frame distance, were set to default by all codecs, the GoP structure seemed as follows: By the H.264/AVC N=60 and the M=4, by the H.265/HEVC N=60 and M=5, by the AV1 N=1 and M=1. By the H.266/VVC, the intraperiod was set to 64, perceptual optimization was enabled and the decoding refresh type was CRA, which stands for Clean Random Access. By all codecs, no certain profiles and presets were set within the encoding process. All encoding parameters are displayed in Table 3. We decided to use Average Bitrate Coding (ABR), which means that only the target bitrate parameter was set. Since H.264/AVC and H.265/HEVC codecs were not designed to encode videos at 8K resolution, two-pass encoding to ensure as accurate target bitrate as possible for these two standards was determined. Command-lines that show encoding settings for particular codecs are listed in Table 4. A flowchart highlighting the encoding and evaluating process is depicted in Figure 3.

2.3. Objective Quality Evaluation

Quality performance evaluation was conducted by objective metrics - Peak Signal-to-Noise Ratio (PSNR), Structural Similarity Index (SSIM) and Video Multi-Method Assessment Fusion (VMAF). Although PSNR belongs to one of the oldest metrics and the results do not correlate well with subjective methods, it is still used. One reason is that this metric is very easy and fast for calculation, and the second is that it is used for computation of the BD Rate, which stands for the Bjøntegaard delta rate. The output value of this metric is given in decibels [dB]. Based on the measurements the maximum value that can PSNR achieve is 100 dB which essentially equals to quality of a reference video. The SSIM metric considers video degradation as a perceived change in structural information, it measures distortions in the image structure resulting from changes in brightness, contrast, and blurring of the image. This measurement is based on the assumption, that the human visual system detects structural changes in a frame better than identifies definite errors, which leads to a higher correlation with subjective quality evaluation. The results obtained using the SSIM metrics fall within the interval [0, 1], where 1 represents the best quality that can be achieved only if all the compared images or videos are identical. [29] VMAF is a video quality metric developed by Netflix in collaboration with the University of Southern California, The IPI/LS2N lab at Nantes Université, and the Laboratory for Image and Video Engineering (LIVE) at The University of Texas at Austin. It uses extant video quality metrics and other properties to predict video quality: Visual Information Fidelity (VIF), Detail Loss Metric (DLM), and Mean Co-Located Pixel Difference (MCPD). All features are concatenated using SVM-based regression to determine an output score ranging from 0 to 100 per video frame, where 100 represents identical quality compared to a reference video. [30]. All three above-mentioned metrics belong to so-called full-reference objective methods, which means that both - reference as well as tested image/sequence must be available for evaluation and the quality is computed as a direct comparison between both images or sequences. The objective assessment was conducted by the FFMetric tool which could be used to calculate various visual quality metrics. FFMetrics is an FFmpeg GUI designed to visualize quality metrics calculated by FFmpeg. The tool is free to use and can be downloaded from [31].

3. Analysis of the Results

The results are presented in two parts. In the first one, we selected PSNR to compute the bitrate savings in terms of the Bjøntegaard Delta (BD-rate) model [32], where the BD-rate (in percentage), as well as BD-PSNR (in dB), are calculated from the area located between two rate-distortion (RD) curves. The results are shown in Table 5, Table 6, Table 7, Table 8, Table 9 and Table 10, where each of these tables represents values at specific resolutions, i.e. 8K, Ultra HD and Full HD, respectively. In each table, the bitrate savings for a particular test sequence are calculated and listed. In addition, Table 11 and Table 12 present averaged bitrate savings depending on a specific codec. In the second part, we generated rate distortion plots using the aforementioned SSIM and VMAF quality metrics, as seen in Figure 5, Figure 6, Figure 7, Figure 8, Figure 9 and Figure 10. In each of these figures, seven plots are provided, one for each test sequence, which depict comparisons between four codecs analyzed in our study. Each codec is highlighted in a different color, where red represents H.264/AVC, green H.265/HEVC, blue H.266/VVC, and cyan AV1. Figure 5, Figure 6, Figure 7 show the SSIM rate distortion plots for 8K, UHD, and FHD resolution, whereas Figure 8, Figure 9 and Figure 10 graphs depict the VMAF rate distortion for the same, above mentioned, resolutions.
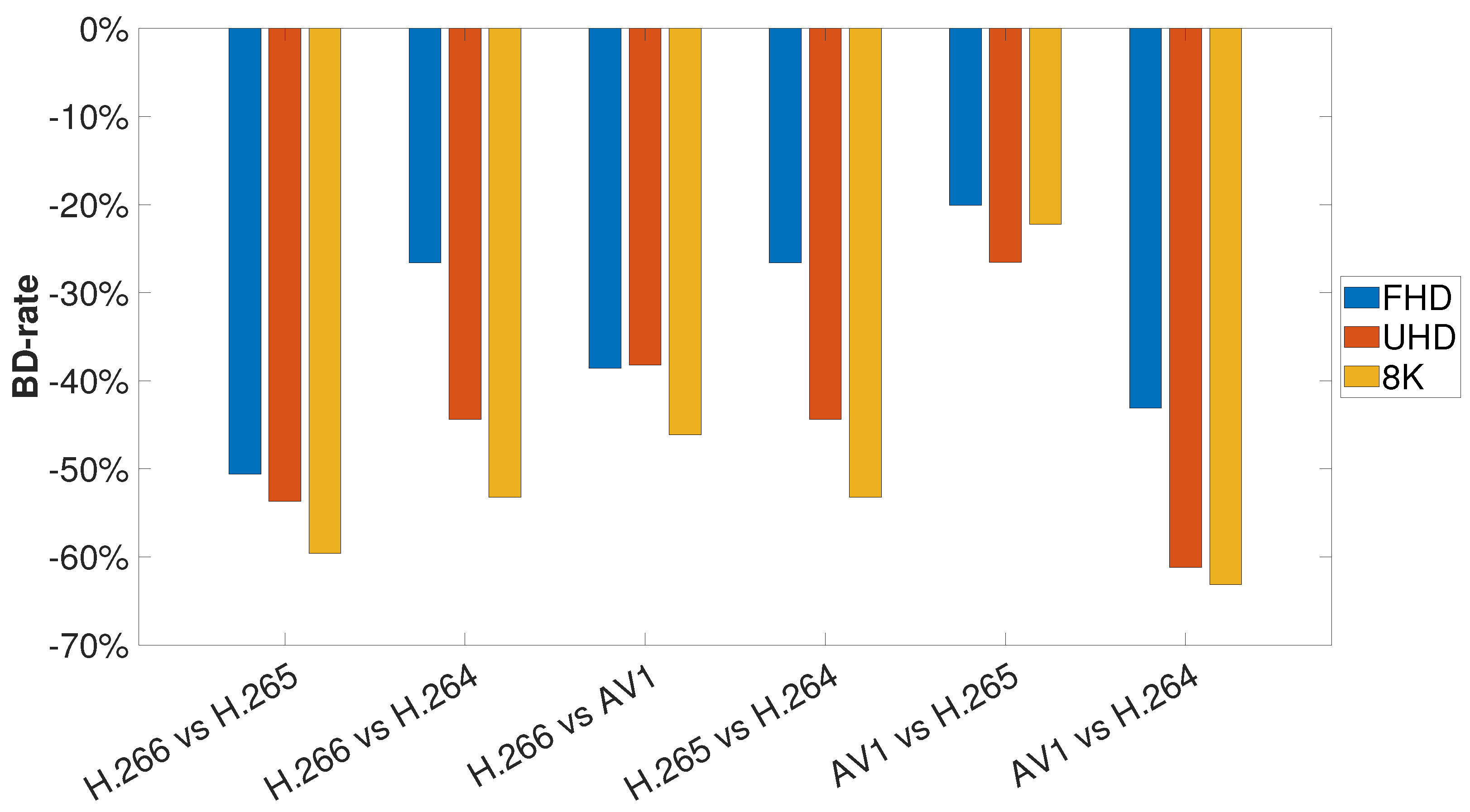
Looking at the results, we can notice that H.266/VVC outperforms all other codecs, namely H.264/AVC, H.265/HEVC and AV1, respectively. The biggest difference, in terms of bitrate savings, is between VVC and H.264, starting at around 59% at FHD and ending at about 93% at 8K resolution. VVC also overcomes HEVC, varies from around 32% at UHD to about 78% at 8K resolution. AV1 appears to be the second most effective codec as it outperforms H.264 ranging from around 33% at FHD to about 81% at 8K resolution, as well as HEVC varying from 3% at FHD to around 44% at 8K resolution. The bitrate savings between the two currently most used compression standards, namely HEVC and H.264, start from around 14% at FHD to about 77% at 8K resolution. The difference in bitrate savings between the newly developed codecs, namely VVC and AV1, begins from around 1% for UHD and ends at about 70% at 8K resolution which confirms that the H.266/VVC compression standard has the best coding efficiency and can be a good promise for future utilization in storing and transmitting video content at 8K resolution. All provided results vary depending on the used test sequence. Given the results, we can state that the bitrate savings between particular standards is greatest for sequences with low SI values like "Koi" or "Cooking" at 8K resolution with approximately 69% and 67%, and on the contrary, the smallest difference for sequences located in the middle of the SI-TI diagram as "NeptuneFountain3" or "Giraffe" at 8K resolution with about 44% and 48%, respectively. Considering the results, it is also obvious that the bitrate savings between the newly developed compression standards as H.266/VVC or AV1 and the rest ones as H.265/HEVC or H.264/AVC vary by resolution, with the largest at 8K resolution and gradually decreases towards FHD resolution. This trend is also confirmed by Figure 4 where each bar represents a value from Table 11. The resolution is highlighted by color, where yellow represents 8K resolution, red Ultra HD resolution, and blue Full HD resolution. This confirms the fact that the VVC and AV1 codecs have been primarily developed for videos at high resolutions, such as 8K and/or UHD.
The reasons why the newly developed codecs AV1 and H.266/VVC achieve better video quality at high resolutions are given in the following lines.
Since the H.266/VVC codec has been developed to be versatile, it comes along with several new functionalities. One of them is random access capability, which refers to the ability to start consuming video content from positions other than at the very beginning of the bitstream. VVC also allows the spatial resolution to change at inter-coded pictures through the support of the feature referred to as reference picture resampling (RPR). In VVC, the Coding Tree Units (CTUs), which are basic processing units within a frame, can be larger than in HEVC, but the concept is the same and is similar to the approach of a macroblock in AVC. While the basic well-known block-based hybrid video coding scheme used in all previous MPEG standards has been retained in VVC, core compression technologies have been improved in some ways. First, we can mention the quadtree partitioning of a CTU which has been extended by enabling more flexible partitioning and supporting larger block sizes. In intra-picture prediction, VVC contains also finer-granularity angular prediction with 93 angle modes except the DC and planar modes similar to HEVC and othermatrix-based prediction modes for luma as well as cross-component prediction modes for chroma samples. In inter-frame prediction, VVC uses either single motion vector (MV) unprediction referencing a frame in a list of previously decoded reference frames or bi-prediction using two MVs. Besides that, VVC offers a variety of new coding tools for more efficient representation, prediction, and coding of motion compensation control information, as well as for enhancing the motion compensation processing itself. These techniques can be categorized into advances in coding motion information, advances in CU-level motion compensation, improved motion compensation processes using subblock based motion derivation and prediction refinement at the decoder, and horizontal wrap-around motion compensation. In transform and quantization, VVC uses the same concept as by the HEVC, but VVC achieves better energy compaction of the prediction residual by extended transforms complemented by improved quantization and residual coding. The entropy coding in VVC is achieved by the CABAC coding as in HEVC, but the efficiency is refined by some changes in the coefficient coding and probability estimation. In VVC, refined and new in-loop filters are used to reach better visual quality. Last but not least, VVC contains special coding tools which increase coding efficiency. [1]
AV1 has larger superblock partitioning up to 128x128 luma samples. It can be partitioned into smaller block sizes, where the minimum block size is extended to 4x4 luma samples, which provides more coding flexibility. AV1 also enables a two-stage block partitioning search, where the first pass starts from the largest block size. In intraframe prediction, AV1 extends the directional Intra prediction options to support higher granularity and adds a new smooth prediction mode in nondirectional smooth Intra prediction. AV1 also allows intraframe motion-compensated prediction, which uses the previously coded pixels within the same frame, namely Intrablock Copy (IntraBC). Also, other features increase coding efficiency as chroma from luma prediction models and color palette mode. In interframe prediction, AV1 supports many toolsets to exploit the temporal correlation in video signals, which include adaptive filtering in translational motion compensation, affine motion compensation, and highly flexible compound prediction modes. AV1, unlike the older codecs, employs a dynamic motion vector referencing scheme that obtains candidate motion vectors from the spatial and temporal neighbors and ranks them for efficient entropy coding. In transform coding, AV1 extends its flexibility in terms of both the transform block sizes and kernels, where expends the maximum transform block size to 64x64. In kernels, AV1 allows each transform block to choose its own transform kernel independently. In the quantization step, where the transform coefficients are quantized, the quantization parameter (QP) ranges between 0 and 255. In the entropy coding system, AV1 employs the M-ary symbol arithmetic coding method which was basically developed for the Daala codec. In postprocessing, AV1 allows three optional in-loop filter stages: a deblocking filter, a constrained directional enhancement filter (CDEF), and a loop restoration filter.[2]
All above-mentioned features help both codecs achieve better coding efficiency and quality, especially for high resolution video content.
Apart from the bitrate savings, we have also noticed and compared the processing time of all codecs at all resolutions. For this analysis, we decided to choose the “NeptuneFountain3” test sequence, which is situated in the middle of the SI-TI plot. Table 13 describes the parameters of the PC where the experimental setup was done. Table 14 shows coding time, in seconds, and Table 15 comparison of coding time relative to AV1 codec, which achieved the shortest time. As can be seen, H.264/AVC reaches a very similar coding time as AV1, and H.265/HEVC achieves about two times longer computational time compared to AV1. The longest coding time, as expected, reaches H.266/VVC codec, starting from 27 times longer at 1 Mbps bitrate at UHD resolution and ending at 174 times longer at 15 Mbps bitrate at FHD resolution than AV1 codec.

4. Conclusion

This paper dealt with the compression performance of the latest and most used video codecs, namely H.266/VVC, AV1, H265/HEVC and H.264/AVC. In our experiments, we worked with 63 test sequences from three different databases with large diversity. Firstly, we had to choose some of them according to SI-TI analysis. We have selected seven sequences, one sequence from each of the four corners and three ones from the middle of the SI-TI plot. Subsequently, we encoded them to particular codecs, namely H.264/AVC, H.265/GEVC, H.266/VVC, and AV1 at Full HD (FHD), Ultra HD (UHD), and 8K resolution. The bitrates were set to 1, 3, 5, 7, 10, 15 Mbps for FHD and UHD resolution and 5, 7, 10, 15, 30, 50 Mbps for 8K resolution, respectively. Altogether, 420 test sequences were encoded. For encoding, we decided to use Average Bitrate Coding (ABR) mode and 1-pass rate control mode except encoding sequences to AVC and HEVC codecs at 8K resolution, where 2-pass encoding mode was used. For quality assessment, we used objective metrics, namely Peak Signal-to-Noise Ratio (PSNR), Structural Similarity Index (SSIM) and Video Multi-Method Assessment Fusion (VMAF), which belong to full-reference methods. In terms of the Bjøntegaard-Delta (BD) model, the results showed that H.266/VVC outperforms all other codecs, namely H.264/AVC, H.265/HEVC and AV1, respectively. Averaged bitrate savings were approximately 78% for H.266/VVC, 63% for AV1 and 53% for H.265/HEVC relative to H.264/AVC, 59% for H.266/VVC, 22% for AV1 compared to H.264/AVC and 46% for H.266/VVC relative to AV1, all for 8K resolution. The provided results also varied depending on the used test sequence and resolution – with higher resolution, the effectiveness of newly developed codecs such as H.266/VVC and AV1 is greater. This confirmed the fact that the H.266/VVC and AV1 codecs have been primarily developed for videos at high resolutions such as 8K and/or UHD. Beside the bitrate savings, we also compared the processing time of all codecs at all resolutions. For this analysis, we decided to choose the “NeptuneFountain3” test sequence, which is situated in the middle of the SI-TI plot. From the results is it clear that H.264/AVC reaches a very similar coding time as AV1 and H.265/HEVC achieves about two times longer computational time compared to AV1. The longest coding time, as expected, reaches H.266/VVC codec, starting from 27 times longer at 1 Mbps bitrate at UHD resolution and ending at 174 times longer at 15 Mbps bitrate at FHD resolution than AV1 codec.
In the near future, we would like to assess other test sequences from 8K datasets using objective metrics. Subsequently, we plan to select appropriate sequences to evaluate them by subjective methods such as Absolute Category Rating (ACR), Absolute Category Rating with Hidden Reference (ACR-HR), or Double Stimulus Impairment Scale (DSIS). From the results, we intend to calculate the correlation between objective and subjective results by Pearson and Spearman’s correlation coefficient. Moreover, the results will be used as inputs to neural networks to refine our proposed model, which can predict quality based on objective metrics.

Funding

This work has been supported by the Slovak VEGA grant agency, Project No. 1/0588/22 "Research of a location-aware system for achievement of QoE in 5G and B5G networks.

Conflicts of Interest

The authors declare no conflict of interest.

References

  1. Bross, B.; Wang, Y.K.; Ye, Y.; Liu, S.; Chen, J.; Sullivan, G.J.; Ohm, J.R. Overview of the Versatile Video Coding (VVC) Standard and its Applications. IEEE Transactions on Circuits and Systems for Video Technology 2021, 31, 3736–3764. [Google Scholar] [CrossRef]
  2. Han, J.; Li, B.; Mukherjee, D.; Chiang, C.H.; Grange, A.; Chen, C.; Su, H.; Parker, S.; Deng, S.; Joshi, U.; Chen, Y.; Wang, Y.; Wilkins, P.; Xu, Y.; Bankoski, J. A Technical Overview of AV1. Proceedings of the IEEE 2021, 109, 1435–1462. [Google Scholar] [CrossRef]
  3. Alliance for Open Media. Alliance for Open Media. https://aomedia.org.
  4. Sullivan, G.J.; Ohm, J.R.; Han, W.J.; Wiegand, T. Overview of the High Efficiency Video Coding (HEVC) Standard. IEEE Transactions on Circuits and Systems for Video Technology 2012, 22, 1649–1668. [Google Scholar] [CrossRef]
  5. Wiegand, T.; Sullivan, G.; Bjontegaard, G.; Luthra, A. Overview of the H.264/AVC video coding standard. IEEE Transactions on Circuits and Systems for Video Technology 2003, 13, 560–576. [Google Scholar] [CrossRef]
  6. Siqueira, I.; Correa, G.; Grellert, M. Rate-Distortion and Complexity Comparison of HEVC and VVC Video Encoders. 2020 IEEE 11th Latin American Symposium on Circuits & Systems (LASCAS). IEEE, 2020. [CrossRef]
  7. Martínez-Rach, M.O.; Migallón, H.; López-Granado, O.; Galiano, V.; Malumbres, M.P. Performance Overview of the Latest Video Coding Proposals: HEVC, JEM and VVC. Journal of Imaging 2021, 7, 39. [Google Scholar] [CrossRef]
  8. Bouaafia, S.; Khemiri, R.; Sayadi, F.E. Rate-Distortion Performance Comparison: VVC vs. HEVC. 2021 18th International Multi-Conference on Systems, Signals & Devices (SSD). IEEE, 2021. [CrossRef]
  9. Mercat, A.; Makinen, A.; Sainio, J.; Lemmetti, A.; Viitanen, M.; Vanne, J. Comparative Rate-Distortion-Complexity Analysis of VVC and HEVC Video Codecs. IEEE Access 2021, 9, 67813–67828. [Google Scholar] [CrossRef]
  10. García-Lucas, D.; Cebrián-Márquez, G.; Cuenca, P. Rate-distortion/complexity analysis of HEVC, VVC and AV1 video codecs. Multimedia Tools and Applications 2020, 79, 29621–29638. [Google Scholar] [CrossRef]
  11. Topiwala, P.; Krishnan, M.; Dai, W. Performance comparison of VVC, AV1 and EVC. Applications of Digital Image Processing XLII; Tescher, A.G.; Ebrahimi, T., Eds. SPIE, 2019. [CrossRef]
  12. Nguyen, T.; Wieckowski, A.; Bross, B.; Marpe, D. Objective Evaluation of the Practical Video Encoders VVenC, x265, and aomenc AV1. 2021 Picture Coding Symposium (PCS). IEEE, 2021. [CrossRef]
  13. Nguyen, T.; Marpe, D. Compression efficiency analysis of AV1, VVC, and HEVC for random access applications. APSIPA Transactions on Signal and Information Processing 2021, 10. [Google Scholar] [CrossRef]
  14. Petreski, D.; Kartalov, T. Next Generation Video Compression Standards – Performance Overview. 2023 30th International Conference on Systems, Signals and Image Processing (IWSSIP). IEEE, 2023. [CrossRef]
  15. Mansri, I.; Doghmane, N.; Kouadria, N.; Harize, S.; Bekhouch, A. Comparative Evaluation of VVC, HEVC, H.264, AV1, and VP9 Encoders for Low-Delay Video Applications. 2020 Fourth International Conference on Multimedia Computing, Networking and Applications (MCNA). IEEE, 2020. [CrossRef]
  16. Valiandi, I.; Panayides, A.S.; Kyriacou, E.; Pattichis, C.S.; Pattichis, M.S., A Comparative Performance Assessment of Different Video Codecs. In Lecture Notes in Computer Science; Springer Nature Switzerland, 2023; p. 265–275. [CrossRef]
  17. Esakki, G.; Panayides, A.; Teeparthi, S.; Pattichis, M. A comparative performance evaluation of VP9, x265, SVT-AV1, VVC codecs leveraging the VMAF perceptual quality metric. Applications of Digital Image Processing XLIII; Tescher, A.G.; Ebrahimi, T., Eds. SPIE, 2020. [CrossRef]
  18. Nguyen, T.; Marpe, D. Future Video Coding Technologies: A Performance Evaluation of AV1, JEM, VP9, and HM. 2018 Picture Coding Symposium (PCS). IEEE, 2018. [CrossRef]
  19. Zhao, X.; Liu, S.; Zhao, L.; Xu, X.; Zhu, B.; Li, X. A comparative study of HEVC, VVC, VP9, AV1 and AVS3 video codecs. Applications of Digital Image Processing XLIII; Tescher, A.G.; Ebrahimi, T., Eds. SPIE, 2020. [CrossRef]
  20. Pourazad, M.T.; Sung, T.; Hu, H.; Wang, S.; Tohidypour, H.R.; Wang, Y.; Nasiopoulos, P.; Leung, V.C. Comparison of Emerging Video Compression Schemes for Efficient Transmission of 4K and 8K HDR Video. 2021 IEEE International Mediterranean Conference on Communications and Networking (MeditCom). IEEE, 2021. [CrossRef]
  21. Grois, D.; Giladi, A.; Choi, K.; Park, M.W.; Piao, Y.; Park, M.; Choi, K.P. Performance Comparison of Emerging EVC and VVC Video Coding Standards with HEVC and AV1. SMPTE 2020 Annual Technical Conference and Exhibition. IEEE, 2020. [CrossRef]
  22. FraunhoferHHI. 8K Berlin Test Sequences. https://www.hhi.fraunhofer.de/en/departments/vca/research-groups/video-coding-systems/8k-sequences.html.
  23. Al Shoura, T.; Dehaghi, A.M.; Razavi, R.; Far, B.; Moshirpour, M. SEPE Dataset: 8K Video Sequences and Images for Analysis and Development. Proceedings of the 14th Conference on ACM Multimedia Systems. ACM, 2023, MMSys ’23. [CrossRef]
  24. Gao, W.; Yuan, H.; Liao, G.; Guo, Z.; Chen, J. PP8K: A New Dataset for 8K UHD Video Compression and Processing. IEEE MultiMedia 2023, 30, 100–109. [Google Scholar] [CrossRef]
  25. ITU-T. Recommendation ITU-T P.910 - Subjective video quality assessment methods for multimedia applications. [online] Available: https://www.itu.int/rec/T-REC-P.910-200804-I/en 2008.
  26. FFmpeg. A complete, cross-platform solution to record, convert and stream audio and video. ffmpeg.org, https://www.ffmpeg.org.
  27. Pierre Lebreton, TU Berlin . A command-line-based tool for Windows to calculate spatial information (SI) and temporal information (TI) according to ITU-T P.910. https://vqeg.github.io/software-tools/quality%20analysis/siti/.
  28. FFmpeg. FFmpeg integration - Support VVC for FFmpeg. https://github.com/fraunhoferhhi/vvenc/wiki/FFmpeg-Integration.
  29. Wang, Z.; Bovik, A.; Sheikh, H.; Simoncelli, E. Image Quality Assessment: From Error Visibility to Structural Similarity. IEEE Transactions on Image Processing 2004, 13, 600–612. [Google Scholar] [CrossRef]
  30. Liu, T.J.; Lin, Y.C.; Lin, W.; Kuo, C.C.J. Visual quality assessment: recent developments, coding applications and future trends. APSIPA Transactions on Signal and Information Processing 2013, 2. [Google Scholar] [CrossRef]
  31. Fifonik. FFMetrics — yet another program for video Visual Quality Metrics visualization. https://github.com/fifonik/FFMetrics.
  32. Bjøntegaard, G. Calculation of Average PSNR Differences between RD-curves. 2001.
Figure 1. SI-TI diagrams for entire dataset.
Figure 1. SI-TI diagrams for entire dataset.
Preprints 99000 g001
Figure 2. Previews of used sequences.
Figure 2. Previews of used sequences.
Preprints 99000 g002
Figure 3. A flowchart highlighting the encoding and evaluating process.
Figure 3. A flowchart highlighting the encoding and evaluating process.
Preprints 99000 g003
Figure 4. Averaged BD-BR savings depending on codec and resolution.
Figure 4. Averaged BD-BR savings depending on codec and resolution.
Preprints 99000 g004
Figure 5. SSIM RD plots at 8K resolution.
Figure 5. SSIM RD plots at 8K resolution.
Preprints 99000 g005
Figure 6. SSIM RD plots at UHD resolution.
Figure 6. SSIM RD plots at UHD resolution.
Preprints 99000 g006
Figure 7. SSIM RD plots at FHD resolution.
Figure 7. SSIM RD plots at FHD resolution.
Preprints 99000 g007
Figure 8. VMAF RD plots at 8K resolution.
Figure 8. VMAF RD plots at 8K resolution.
Preprints 99000 g008
Figure 9. VMAF RD plots at UHD resolution.
Figure 9. VMAF RD plots at UHD resolution.
Preprints 99000 g009
Figure 10. VMAF RD plots at FHD resolution.
Figure 10. VMAF RD plots at FHD resolution.
Preprints 99000 g010
Table 1. Datasets description.
Table 1. Datasets description.
Dataset Resolution Color space Bitdepth Framerate Number of frames
Fraunhofer 7680x4320p ITU-R BT.2020
(YCbCr 4:2:0)
10 bit 60 600
PP8K 7680x4320p ITU-R BT.2020
(YCbCr 4:2:0)
10 bit 60 600
SEPE 8192x4320p ITU-R BT.2020
(RGBA 4:2:0)
8 bit 29.97 300
Table 2. Test sequences characteristic.
Table 2. Test sequences characteristic.
Dataset Test sequence Description 8K UHD FHD
SI value TI value SI value TI value SI value TI value
Fraunhofer BodeMuseum A view of the Bode Museum in Berlin. Only a train and a boat move
in the background. The camera is fixed.
50,83 6,78 71,77 6,02 88,57 4,39
NeptuneFountain3 A view of the Neptune Fountain in Berlin. Water splashes from the fountain.
The camera moves around the fountain from left to right.
26,55 21,23 39,04 21,16 55,23 20,75
TiergartenParkway A view of a park way close to the Tiergarten in Berlin.
The camera moves forward as if a person is walking with a camera.
54,13 33,97 79,56 33,91 101,25 32,98
PP8K Cooking A chef is cooking and the dancing flame is in the pan. The camera is fixed. 11,60 38,42 13,98 38,36 23,65 37,93
Giraffe Three giraffes are walking in the zoo. The camera is fixed. 34,62 8,92 52,70 8,07 63,72 7,47
Koi The colorful koi are swimming in the fish tank. A lot of bubbles,
produced by the working oxygen generator, are floating upward in the water.
The camera moves slowly from left to right.
12,91 7,70 12,70 6,55 18,84 5,89
SEPE 36 Many people are skating on the ice rink. The camera is fixed. 36,89 14,53 59,42 14,32 78,11 13,45
Table 3. Encoding parameters.
Table 3. Encoding parameters.
Codec Resolution Bitdepth Bitrate [Mbps]
H.264/AVC, H.265/HEVC, H.266/VVC, AV1 FHD, UHD 8 bit 1, 3, 5, 7, 10, 15
8K 10 bit 5, 7, 10, 15, 30, 50
Table 4. Command-lines settings used for encoding.
Table 4. Command-lines settings used for encoding.
Codec Resolution Parameter Command-line setting
H.264/AVC FHD, UHD 1-pass ffmpeg -i {input_sequence} -c:v h264 -b:v {bitrate} -g 60 {output_sequence}
8K 2-pass ffmpeg -y -i {input_sequence} -c:v h264 -b:v {bitrate} -g 60 -pass1 -f null /dev/null && ffmpeg
-i {input_sequence} -c:v h264 -b:v {bitrate} -g 60 {output_sequence} -pass2 {output_sequence}
H.265/HEVC FHD, UHD 1-pass ffmpeg -i {input_sequence} -c:v hevc -b:v {bitrate} -g 60 {output_sequence}
8K 2-pass ffmpeg -y -i {input_sequence} -c:v hevc -b:v {bitrate} -g 60 -x265-params pass=1 -f null /dev/null && ffmpeg
-i {input_sequence} -c:v hevc -b:v {bitrate} -g 60 {output_sequence} -x265-params pass=2 {output_sequence}
H.266/VVC FHD, UHD 1-pass ffmpeg -i {input_sequence} -c:v vvc -b:v {bitrate} -g 60 -bitdepth 8 {output_sequence}
8K 1-pass ffmpeg -i {input_sequence} -c:v vvc -b:v {bitrate} -g 60 {output_sequence}
AV1 FHD, UHD, 8K 1-pass ffmpeg -i {input_sequence} -c:v libsvtav1 -b:v {bitrate} -g 60 {output_sequence}
Table 5. BD-BR savings for particular test sequences at 8K resolution.
Table 5. BD-BR savings for particular test sequences at 8K resolution.
8K
BodeMuseum NeptuneFountain3 TiergartenParkway Cooking Giraffe Koi 36
H.266 vs H.264 -74.69% -70.78% -74.67% -88.45% -73.83% -93.16% -72.86%
H.266 vs H.265 -56.33% -40.82% -58.44% -76.36% -56.38% -77.58% -51.24%
H.266 vs AV1 -45.67% -37.11% -41.85% -64.99% -47.01% -69.63% -16.59%
H.265 vs H.264 -44.17% -52.60% -45.77% -66.02% -44.25% -76.96% -42.91%
AV1 vs H.264 -53.05% -54.18% -60.75% -75.71% -50.34% -81.25% -66.80%
AV1 vs H.265 -17.29% -7.17% -28.74% -31.43% -14.32% -15.07% -41.48%
Table 6. BD-PSNR savings for particular test sequences at 8K resolution.
Table 6. BD-PSNR savings for particular test sequences at 8K resolution.
8K
BodeMuseum NeptuneFountain3 TiergartenParkway Cooking Girafe Koi 36
H.266 vs H.264 3.39 dB 4.48 dB 5.57 dB 5.01 dB 2.67 dB 2.69 dB 3.03 dB
H.266 vs H.265 1.78 dB 1.59 dB 2.69 dB 1.24 dB 1.38 dB 0.76 dB 1.54 dB
H.266 vs AV1 1.31 dB 1.30 dB 1.66 dB 0.74 dB 1.06 dB 0.61 dB 0.36 dB
H.265 vs H.264 1.61 dB 2.89 dB 2.88 dB 3.77 dB 1.29 dB 1.93 dB 1.49 dB
AV1 vs H.264 2.08 dB 3.18 dB 3.91 dB 4.27 dB 1.61 dB 2.08 dB 2.67 dB
AV1 vs H.265 0.46 dB 0.29 dB 1.03 dB 0.50 dB 0.32 dB 0.15 dB 1.17 dB
Table 7. BD-BR savings for particular test sequences at UHD resolution.
Table 7. BD-BR savings for particular test sequences at UHD resolution.
UHD
BodeMuseum NeptuneFountain3 TiergartenParkway Cooking Giraffe Koi 36
H.266 vs H.264 -70.53% -77.96% -77.21% -78.85% -68.53% -86.77% -68.17%
H.266 vs H.265 -54.50% -50.66% -63.13% -50.82% -57.31% -66.59% -47.54%
H.266 vs AV1 -39.09% -44.94% -39.82% -39.39% -39.61% -63.41% -24.02%
H.265 vs H.264 -26.75% -55.62% -31.39% -61.41% -28.22% -65.76% -41.56%
AV1 vs H.264 -53.74% -56.06% -66.69% -70.03% -50.40% -71.24% -60.00%
AV1 vs H.265 -28.78% -9.03% -44.57% -22.71% -31.78% -17.16% -31.72%
Table 8. BD-PSNR savings for particular test sequences at UHD resolution.
Table 8. BD-PSNR savings for particular test sequences at UHD resolution.
UHD
BodeMuseum NeptuneFountain3 TiergartenParkway Cooking Girafe Koi 36
H.266 vs H.264 4.49 dB 5.14 dB 5.40 dB 7.99 dB 3.82 dB 4.92 dB 4.24 dB
H.266 vs H.265 3.15 dB 2.06 dB 3.88 dB 2.45 dB 2.73 dB 1.65 dB 2.24 dB
H.266 vs AV1 1.62 dB 1.37 dB 1.61 dB 1.51 dB 1.53 dB 1.32 dB 0.83 dB
H.265 vs H.264 1.34 dB 3.09 dB 1.53 dB 5.54 dB 1.10 dB 3.27 dB 2.00 dB
AV1 vs H.264 2.87 dB 3.77 dB 3.79 dB 6.49 dB 2.29 dB 3.59 dB 3.41 dB
AV1 vs H.265 1.53 dB 0.68 dB 2.27 dB 0.95 dB 1.19 dB 0.32 dB 1.41 dB
Table 9. BD-BR savings for particular test sequences at FHD resolution.
Table 9. BD-BR savings for particular test sequences at FHD resolution.
FHD
BodeMuseum NeptuneFountain3 TiergartenParkway Cooking Giraffe Koi 36
H.266 vs H.264 -61.00% -60.93% -62.18% -67.69% -59.27% -70.84% -60.70%
H.266 vs H.265 -51.81% -44.63% -56.96% -38.93% -54.16% -55.05% -52.52%
H.266 vs AV1 -29.26% -42.53% -41.35% -39.68% -36.14% -52.45% -28.48%
H.265 vs H.264 -18.75% -30.26% -14.31% -49.81% -14.92% -39.09% -19.01%
AV1 vs H.264 -44.75% -33.84% -38.98% -52.41% -38.07% -45.38% -48.06%
AV1 vs H.265 -31.35% -5.11% -29.25% -3.00% -28.16% -9.99% -33.61%
Table 10. BD-PSNR savings for particular test sequences at FHD resolution.
Table 10. BD-PSNR savings for particular test sequences at FHD resolution.
FHD
BodeMuseum NeptuneFountain3 TiergartenParkway Cooking Girafe Koi 36
H.266 vs H.264 3.50 dB 2.73 dB 3.72 dB 5.07 dB 3.60 dB 3.20 dB 3.21 dB
H.266 vs H.265 2.69 dB 1.69 dB 3.13 dB 1.88 dB 2.96 dB 1.85 dB 2.43 dB
H.266 vs AV1 1.19 dB 1.50 dB 1.84 dB 1.84 dB 1.78 dB 1.62 dB 1.22 dB
H.265 vs H.264 0.81 dB 1.05 dB 0.58 dB 3.19 dB 0.64 dB 1.35 dB 0.78 dB
AV1 vs H.264 2.31 dB 1.23 dB 1.88 dB 3.23 dB 1.82 dB 1.59 dB 1.99 dB
AV1 vs H.265 1.50 dB 0.18 dB 1.30 dB 0.04 dB 1.18 dB 0.23 dB 1.21 dB
Table 11. Averaged BD-BR savings depending on codec and resolution.
Table 11. Averaged BD-BR savings depending on codec and resolution.
FHD UHD 8K
H.266 vs H.264 -63.23% -75.43% -78.35%
H.266 vs H.265 -50.58% -55.79% -59.59%
H.266 vs AV1 -38.56% -41.47% -46.12%
H.265 vs H.264 -26.59% -44.39% -53.24%
AV1 vs H.264 -43.07% -61.17% -63.16%
AV1 vs H.265 -20.07% -26.53% -22.21%
Table 12. Averaged BD-PSNR savings depending on codec and resolution.
Table 12. Averaged BD-PSNR savings depending on codec and resolution.
FHD UHD 8K
H.266 vs H.264 3.58 dB 5.14 dB 3.83 dB
H.266 vs H.265 2.37 dB 2.59 dB 1.57 dB
H.266 vs AV1 1.57 dB 1.40 dB 1.01 dB
H.265 vs H.264 1.20 dB 2.55 dB 2.27 dB
AV1 vs H.264 2.01 dB 3.75 dB 2.83 dB
AV1 vs H.265 0.81 dB 1.19 dB 0.56 dB
Table 13. Testing PC description
Table 13. Testing PC description
Processor AMD Ryzen 9 5950X 16-Core 4000.0 MHz
SSD Samsung SSD 980 Pro 1TB
RAM 64 GB DDR4 SDRAM
Graphic card NVIDIA GeForce RTX 3080 Founders Edition LHR
Operating system Microsoft Windows 10 Education 64-bit
Table 14. The coding time for “NeptuneFountain3" test sequence at all resolutions.
Table 14. The coding time for “NeptuneFountain3" test sequence at all resolutions.
FHD
Codec / Bitrate 1 Mbps 3 Mbps 5 Mbps 7 Mbps 10 Mbps 15 Mbps
H.264/AVC 3.933 s 4.284 s 4.403 s 4.388 s 4.446 s 4.813 s
H.265/HEVC 6.284 s 7.462 s 8.457 s 9.263 s 10.042 s 11.245 s
H.266/VVC 185.142 s 328.863 s 432.875 s 514.937 s 625.180 s 765.770 s
AV1 3.079 s 3.572 s 3.676 s 3.802 s 3.952 s 4.387 s
 
UHD
Codec / Bitrate 1 Mbps 3 Mbps 5 Mbps 7 Mbps 10 Mbps 15 Mbps
H.264/AVC 15.719 s 16.177 s 16.424 s 16.578 s 16.864 s 17.218 s
H.265/HEVC 23.463 s 27.036 s 34.500 s 35.183 s 36.568 s 32.863 s
H.266/VVC 312.819 s 519.568 s 674.671 s 807.677 s 973.196 s 1229.545 s
AV1 11.467 s 11.826 s 12.355 s 12.664 s 12.889 s 13.282 s
 
8K
Codec / Bitrate 5 Mbps 7 Mbps 10 Mbps 15 Mbps 30 Mbps 50 Mbps
H.264/AVC 48.772 s 49.057 s 48.811 s 49.487 s 49.916 s 49.632 s
H.265/HEVC 96.779 s 102.943 s 157.587 s 168.960 s 183.300 s 243.093 s
H.266/VVC 1693.086 s 1921.788 s 2271.042 s 2815.820 s 4286.146 s 6162.371 s
AV1 39.473 s 39.268 s 40.079 s 41.569 s 43.875 s 52.724 s
Table 15. The comparison of coding time for “NeptuneFountain3" test sequence at all resolutions relative to to AV1 codec.
Table 15. The comparison of coding time for “NeptuneFountain3" test sequence at all resolutions relative to to AV1 codec.
FHD
Codec / Bitrate 1 Mbps 3 Mbps 5 Mbps 7 Mbps 10 Mbps 15 Mbps
H.264/AVC 1.28x 1.20x 1.20x 1.15x 1.13x 1.10x
H.265/HEVC 2.04x 2.09x 2.30x 2.44x 2.54x 2.56x
H.266/VVC 60.13x 92.07x 117.76x 135.44x 158.19x 174.55x
AV1 1.00x 1.00x 1.00x 1.00x 1.00x 1.00x
 
UHD
Codec / Bitrate 1 Mbps 3 Mbps 5 Mbps 7 Mbps 10 Mbps 15 Mbps
H.264/AVC 1.37x 1.37x 1.33x 1.31x 1.31x 1.30x
H.265/HEVC 2.05x 2.29x 2.79x 2.78x 2.84x 2.47x
H.266/VVC 27.28x 43.93x 54.61x 63.78x 75.51x 92.57x
AV1 1.00x 1.00x 1.00x 1.00x 1.00x 1.00x
 
8K
Codec / Bitrate 5 Mbps 7 Mbps 10 Mbps 15 Mbps 30 Mbps 50 Mbps
H.264/AVC 1.24x 1.25x 1.22x 1.19x 1.14x 0.94x
H.265/HEVC 2.45x 2.62x 3.93x 4.06x 4.18x 4.61x
H.266/VVC 42.89x 48.94x 56.66x 67.74x 97.69x 116.88x
AV1 1.00x 1.00x 1.00x 1.00x 1.00x 1.00x
Disclaimer/Publisher’s Note: The statements, opinions and data contained in all publications are solely those of the individual author(s) and contributor(s) and not of MDPI and/or the editor(s). MDPI and/or the editor(s) disclaim responsibility for any injury to people or property resulting from any ideas, methods, instructions or products referred to in the content.
Copyright: This open access article is published under a Creative Commons CC BY 4.0 license, which permit the free download, distribution, and reuse, provided that the author and preprint are cited in any reuse.
Prerpints.org logo

Preprints.org is a free preprint server supported by MDPI in Basel, Switzerland.

Subscribe

Disclaimer

Terms of Use

Privacy Policy

Privacy Settings

© 2026 MDPI (Basel, Switzerland) unless otherwise stated