Submitted:
31 January 2024
Posted:
01 February 2024
You are already at the latest version
Abstract
Keywords:
1. Introduction
2. Literature Review
2.1. Corporate Social Responsibility (CSR)
2.2. Prior Research on COVID-19 and CEO Messages
3. Materials and Methods
3.1. Data Collection
3.2. Research Procedures and Analysis
3.2.1. Data Preprocessing
3.2.2. Keyword Analysis
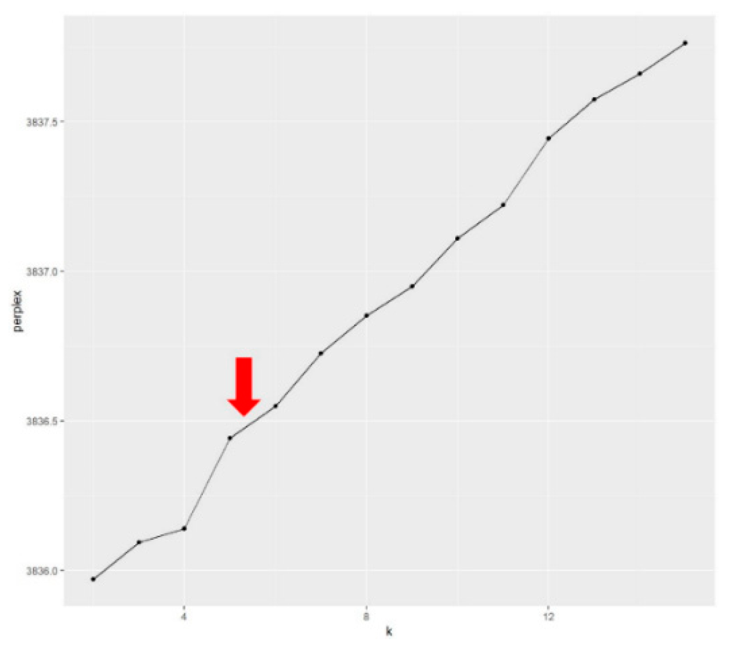
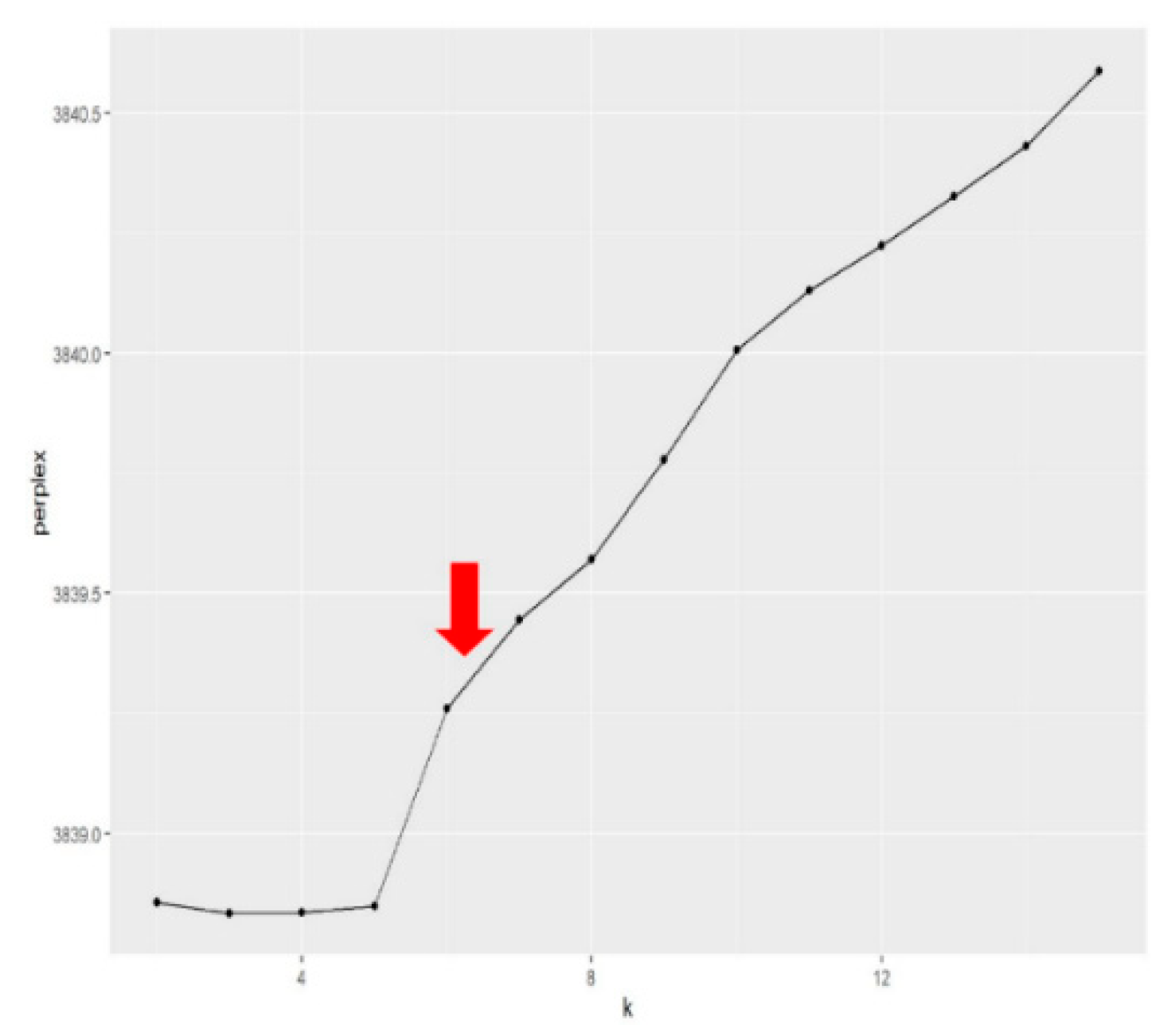
3.2.3. Topic-Modeling Analysis
4. Results
4.1. Keyword Analysis Results
4.2. Topic-Modeling Analysis Results
4.3. Comparative Analysis of Topics before and after COVID-19
5. Discussion
6. Conclusions
Author Contributions
Funding
Data Availability Statement
Conflicts of Interest
Appendix A
| Rank | Company name |
| 1 | Walmart |
| 2 | Amazon |
| 3 | State Grid |
| 4 | China National Petroleum |
| 5 | Sinopec Group |
| 6 | Saudi Aramco |
| 7 | Apple |
| 8 | Volkswagen |
| 9 | China State Construction Engineering |
| 10 | CVS Health |
| 11 | UnitedHealth Group |
| 12 | Exxon Mobil |
| 13 | Toyota Motor |
| 14 | Berkshire Hathaway |
| 15 | Shell |
| 16 | McKesson |
| 17 | Alphabet |
| 18 | Samsung Electronics |
| 19 | Trafigura Group |
| 20 | Hon Hai Precision Industry |
| 21 | AmerisourceBergen |
| 22 | Industrial & Commercial China |
| 23 | Glencore |
| 24 | China Construction Bank |
| 25 | Ping An Insurance |
| 26 | Costco Wholesale |
| 27 | TotalEnergies |
| 28 | Agricultural Bank of China |
| 29 | Stellantis |
| 30 | Cigna |
| 31 | Sinochem Holdings |
| 32 | AT&T |
| 33 | Microsoft |
| 34 | China Railway Engineering Group |
| 35 | BP |
| 36 | Cardinal Health |
| 37 | Chevron |
| 38 | Mercedes–Benz Group |
| 39 | China Railway Construction |
| 40 | China Life Insurance |
| 41 | Mitsubishi |
| 42 | Bank of China |
| 43 | Home Depot |
| 44 | China Baowu Steel Group |
| 45 | Walgreens Boots Alliance |
| 46 | JD.com |
| 47 | Allianz |
| 48 | AXA |
| 49 | Marathon Petroleum |
| 50 | Elevance Health |
| 51 | Kroger |
| 52 | Gazprom |
| 53 | Ford Moter |
| 54 | Verizon Communications |
| 55 | Alibaba Group Holding |
| 56 | Fortum |
| 57 | China Mobile Communications Group |
| 58 | China Minmetals |
| 59 | BMW Group |
| 60 | China Communications Construction |
| 61 | Honda Motor |
| 62 | Deutsche Telekom |
| 63 | JPMorgan Chase |
| 64 | General Motors |
| 65 | China National Offshore |
| 66 | Centene |
| 67 | Lukoil |
| 68 | SAIC Motor |
| 69 | Shandong Energy Group |
| 70 | China Resources |
| 71 | Meta Platforms |
| 72 | Assicurazioni Generali |
| 73 | Comcast |
| 74 | Phillips 66 |
| 75 | Hengli Group |
| 76 | Amer International Group |
| 77 | Xiamen C&D |
| 78 | Itochu |
| 79 | China FAW Group |
| 80 | Sinopharm |
| 81 | China Post Group |
| 82 | Valero Energy |
| 83 | Nippon Telegraph and Telephone |
| 84 | Credit Agricole |
| 85 | China Energy Investment Group |
| 86 | Dell Technologies |
| 87 | Target |
| 88 | Mitsui |
| 89 | China Southern Power Grid |
| 90 | Enel |
| 91 | COFCO |
| 92 | Hyundai Motor |
| 93 | Fannie Mae |
| 94 | Japan Post Holdings |
| 95 | Electricite de France |
| 96 | Huawei Investment & Holding |
| 97 | United Parcel Service |
| 98 | Life Insurance Corp. of India |
| 99 | Deutsche Post DHL Group |
| 100 | Power China |
References
- Garcia-Sanchez, I.M.; Garcia-Sanchez, A. Corporate social responsibility during COVID-19 pandemic. Journal of Open Innovation: Technology, Market, and Complexity 2020, 6(4), 126. [Google Scholar] [CrossRef]
- Carroll, A.B. Corporate social responsibility (CSR) and the COVID-19 pandemic: Organizational and managerial implications. Journal of Strategy and Management 2021, 14(3), 315–330. [Google Scholar] [CrossRef]
- Fairlie, R.; Fossen, F.M. The early impacts of the COVID-19 pandemic on business sales. Small Business Economics 2021, 1–12. [Google Scholar] [CrossRef]
- He, H.; Harris, L. The impact of COVID-19 pandemic on corporate social responsibility and marketing philosophy. Journal of Business Research 2020, 116, 176–182. [Google Scholar] [CrossRef] [PubMed]
- Manuel, T.; Herron, T.L. An ethical perspective of business CSR and the COVID-19 pandemic. Society and Business Review 2020, 15(3), 235–253. [Google Scholar] [CrossRef]
- Schleper, M.C.; Gold, S.; Trautrims, A.; Baldock, D. Pandemic-induced knowledge gaps in operations and supply chain management: COVID-19’s impacts on retailing. International Journal of Operations & Production Management 2021, 41(3), 193–205. [Google Scholar]
- Bae, K.H.; El Ghoul, S.; Gong, Z.J.; Guedhami, O. Does CSR matter in times of crisis? Evidence from the COVID-19 pandemic. Journal of Corporate Finance 2021, 67, 101876. [Google Scholar] [CrossRef]
- Crane, A.; Matten, D. COVID-19 and the future of CSR research. Journal of Management Studies 2021, 58(1). [Google Scholar] [CrossRef]
- Mahmud, A.; Ding, D.; Hasan, M.M. Corporate social responsibility: Business responses to Coronavirus (COVID-19) pandemic. SAGE open 2021, 11(1). [Google Scholar] [CrossRef]
- Burhan, A.H.N.; Rahmanti, W. The impact of sustainability reporting on company performance. Journal of Economics, Business, & Accountancy Ventura 2012, 15(2), 257–272. [Google Scholar]
- Yook, K.H. CEOs Talk about Social Responsibilities and Sustainable Performance: Applications of Text Mining Approach. Korea Acc 2018, 27, 253–279. [Google Scholar] [CrossRef]
- Costa, R.; Menichini, T. A multidimensional approach for CSR assessment: The importance of the stakeholder perception. Expert Systems with Applications 2013, 40(1), 150–161. [Google Scholar] [CrossRef]
- Coombs, W.T. Protecting organization reputations during a crisis: the development and application of situational crisis communication theory. Corporate Reputation Review 2007, 10(3), 163–176. [Google Scholar] [CrossRef]
- John, J.; Thakur, R. Long term effects of service adaptations made under pandemic conditions: the new ‘post COVID-19’ normal. European Journal of Marketing 2021, 55(6), 1679–1700. [Google Scholar] [CrossRef]
- Vanhamme, J.; Grobben, B. ‘Too good to be true!’. The effectiveness of CSR history in countering negative publicity. Journal of Business Ethics 2009, 85(2), 273–283. [Google Scholar] [CrossRef]
- Laudal, T. An attempt to determine the CSR potential of the international clothing business. Journal of Business Ethics 2010, 96(1), 63–77. [Google Scholar] [CrossRef]
- Obara, L.J.; Peattie, K. Bridging the great divide? Making sense of the human rights-CSR relationship in UK multinational companies. Journal of World Business 2018, 53(6), 781–793. [Google Scholar] [CrossRef]
- Farmaki, A.; Hadjielias, E.; Olya, H.; Taheri, B.; Hadjielia Drotarova, M. CSR communication and international marketing: Insights from the COVID-19 pandemic. International Marketing Review 2023, 40(5), 1071–1111. [Google Scholar] [CrossRef]
- Groza, M.D.; Pronschinske, M.R.; Walker, M. Perceived organizational motives and consumer responses to proactive and reactive CSR. Journal of Business Ethics 2011, 102, 639–652. [Google Scholar] [CrossRef]
- De Bakker, F.G.; Groenewegen, P.; Den Hond, F. A bibliometric analysis of 30 years of research and theory on corporate social responsibility and corporate social performance. Business & Society 2005, 44(3), 283–317. [Google Scholar]
- Carroll, A.B. A three-dimensional model of corporate social performance. Academy of Management Review 1979, 4(4), 497–505. [Google Scholar] [CrossRef]
- Davis, K. Can business afford to ignore social responsibilities? California Management Review 1960, 2(3), 70–76. [Google Scholar] [CrossRef]
- McGuire, J.W. Business and SocietyArdent Media. 1968.
- Chen, J. What is corporate social responsibility (CSR)? Investopedia 2020.
- Barnett, M.L. Stakeholder influence capacity and the variability of financial returns to corporate social responsibility. Academy of Management Review 2007, 32(3), 794–816. [Google Scholar] [CrossRef]
- Holder-Webb, L.; Cohen, J.R.; Nath, L.; Wood, D. The supply of corporate social responsibility disclosures among US firms. Journal of Business Ethics 2009, 84, 497–527. [Google Scholar] [CrossRef]
- Laufer, D. Emerging issues in crisis management. Business Horizons 2015, 2(58), 137–139. [Google Scholar] [CrossRef]
- Golob, U.; Podnar, K.; Elving, W.J.; Ellerup Nielsen, A.; Thomsen, C.; Schultz, F. CSR communication: quo vadis? Corporate Communications: An International Journal 2013, 18(2), 176–192. [Google Scholar] [CrossRef]
- Kim, S.; Ferguson, M.T. Public expectations of CSR communication: what and how to communicate CSR. Public Relations Journal 2014, 8(3), 1–22. [Google Scholar]
- Haller, A.; Link, M.; Grob, T. The term ‘non-financial information’–a semantic analysis of a key feature of current and future corporate reporting. Accounting in Europe 2017, 14(3), 407–429. [Google Scholar] [CrossRef]
- Ahn. C. Y. CSR and Sustainability Management are Same, or Not? Journal of Creativity and Innovation 2013, 6(3), 139–165. [Google Scholar]
- Garcia-Torea, N.; Fernandez-Feijoo, B.; De La Cuesta, M. CSR reporting communication: Defective reporting models or misapplication? Corporate Social Responsibility and Environmental Management 2020, 27(2), 952–968. [Google Scholar] [CrossRef]
- Moravcikova, K.; Stefanikova, L.; Rypakova, M. CSR reporting as an important tool of CSR communication. Procedia Economics and Finance 2015, 26, 332–338. [Google Scholar] [CrossRef]
- Malik, M. Value-enhancing capabilities of CSR: A brief review of contemporary literature. Journal of Business Ethics 2015, 127, 419–438. [Google Scholar] [CrossRef]
- Wu, Y.; Ho, W.; Huang, Y.; Jin, D.Y.; Li, S.; Liu, S.L.; Zheng, Z.M. SARS-CoV-2 is an appropriate name for the new coronavirus. The Lancet 2020, 395(10228), 949–950. [Google Scholar] [CrossRef] [PubMed]
- Carracedo, P.; Puertas, R.; Marti, L. Research lines on the impact of the COVID-19 pandemic on business. A text mining analysis. Journal of Business Research 2021, 132, 586–593. [Google Scholar] [CrossRef] [PubMed]
- Martin, A.; Markhvida, M.; Hallegatte, S. and Walsh, B. Socio-economic impacts of COVID-19 on household consumption and poverty. Economics of Disasters and Climate Change 2020, 4(3), 453–479. [Google Scholar] [CrossRef]
- Noya, A.; Bulakovskiy, M.; Rijpens, J. Social economy and the COVID-19 crisis: current and future roles; Organisation for Economic Co-operation and Development, 2020. [Google Scholar]
- Freeman, R.E. Strategic Management: a Stakeholder Approach; Pitman: Boston, MA, USA, 1984. [Google Scholar]
- Lee, S. Corporate social responsibility and COVID-19: Research implications. Tourism Economics 2022, 28(4), 863–869. [Google Scholar] [CrossRef]
- Coombs, W.T. Impact of past crises on current crisis communication: insights from situational crisis communication theory. The Journal of Business Communication 2004, 41(3), 265–289. [Google Scholar] [CrossRef]
- Palmer, I.; Wilcox King, A.; Kelleher, D. Listening to Jack: GE's change conversations with shareholders. Journal of Organizational Change Management 2004, 17(6), 593–614. [Google Scholar] [CrossRef]
- Michelon, G.; Pilonato, S.; Ricceri, F. CSR reporting practices and the quality of disclosure: An empirical analysis. Critical Perspectives on Accounting 2015, 33, 59–78. [Google Scholar] [CrossRef]
- Colleoni, E.; Romenti, S.; Valentini, C.; Badham, M.; Choi, S.I.; Kim, S.; Jin, Y. Does culture matter? Measuring cross-country perceptions of CSR communication campaigns about COVID-19. Sustainability 2022, 14(2), 889. [Google Scholar] [CrossRef]
- Choi, Y.G.; Cho, K.T. A Cause Analysis of the Construction Incident Using Causal Loop Diagram: Safety Culture Perspective. Journal of the Korean Society of Safety 2020, 35(2), 34–46. [Google Scholar]
- Lee, O.; Park, S.B.; Chung, D.; You, E.S. Movie box-office analysis using social big data. The Journal of the Korea Contents Association 2014, 14(10), 527–538. [Google Scholar] [CrossRef]
- Blei, D.M. Probabilistic topic models. Communications of the ACM 2012, 55(4), 77–84. [Google Scholar] [CrossRef]
- Nahm, C.H. An illustrative application of topic modeling method to a farmer’s diary. Cross-Cultural Studies 2016, 22(1), 89–135. [Google Scholar]
- De Brentani, U. Innovative versus incremental new business services: Different keys for achieving success. Journal of Product Innovation Management: An International Publication of the Product Development & Management Association 2001, 18(3), 169–187. [Google Scholar]
- Filyppova, S.; Bashynska, I.; Kholod, B.; Prodanova, L.; Ivanchenkova, L.; Ivanchenkov, V. Risk management through systematization: Risk management culture. International Journal of Recent Technology and Engineering 2019, 8(3), 6047–6052. [Google Scholar] [CrossRef]
- Giannakis, M.; Papadopoulos, T. Supply chain sustainability: A risk management approach. International Journal of Production Economics 2016, 171, 455–470. [Google Scholar] [CrossRef]
- Luo, Y.; Peng, M.W. Learning to compete in a transition economy: Experience, environment, and performance. Journal of International Business Studies 1999, 30, 269–295. [Google Scholar] [CrossRef]
- De Figueiredo, J.M.; Silverman, B.S. Churn, baby, churn: Strategic dynamics among dominant and fringe firms in a segmented industry. Management Science 2007, 53(4), 632–650. [Google Scholar] [CrossRef]
- Greve, H.R. Jumping ship: The diffusion of strategy abandonment. Administrative Science Quarterly 1995, 40(3), 444–473. [Google Scholar] [CrossRef]
- Wang, R.D.; Shaver, J.M. Competition-driven repositioning. Strategic Management Journal 2014, 35(11), 1585–1604. [Google Scholar] [CrossRef]
- Ang, S.H.; Benischke, M.H.; Hooi, A.W.L. Frequency of international expansion through high control market expansion modes and interlocked directorships. Journal of World Business 2018, 53(4), 493–503. [Google Scholar] [CrossRef]
- Mohapatra, S. ‘Better healthcare at reduced cost through electronic integration of patient care data’. International Journal of Electronic Healthcare 2009, 5(1), 37–61. [Google Scholar] [CrossRef] [PubMed]
- Prahalad, C.K.; Hamel, G. ; The core competence of the corporation. Harvard Business Review 1990, 68(3), 79–93. [Google Scholar]
- Aleksandrova, S.V.; Vasiliev, V.A.; Alexandrov, M.N. Integration of quality management and digital technologies. In 2019 International Conference, Quality Management, Transport and Information Security, Information Technologies(IT&QM&IS). In 2019 International Conference, Quality Management, Transport and Information Security, Information Technologies(IT&QM&IS); IEEE, 2019; pp. 20–22. [Google Scholar]
- Zinder, E.; Yunatova, I. Synergy for digital transformation: Person’s multiple roles and subject domains integration. Communications in Computer and Information Science 2016, 674, 155–168. [Google Scholar]
- Acaravci, A.; Ozturk, I. On the relationship between energy consumption, CO2 emissions and economic growth in Europe. Energy 2010, 35(12), 5412–5420. [Google Scholar] [CrossRef]
- Bilgili, F.; Koçak, E.; Bulut, U. The dynamic impact of renewable energy consumption on CO2 emissions: a revisited Environmental Kuznets Curve approach. Renewable and Sustainable Energy Reviews 2016, 54, 838–845. [Google Scholar] [CrossRef]
- Shi, A. ; The impact of population pressure on global carbon dioxide emissions 1975–1996: evidence from pooled cross-country data. Ecological Economics 2003, 44(1), 29–42. [Google Scholar] [CrossRef]
- Velthuijsen, J.W.; Worrell, E. 12 The economics of energy. Handbook of Environmental and Resource Economics 2002, 177. [Google Scholar]
- Climent, R.C.; Haftor, D.M. Value creation through the evolution of business model themes. Journal of Business Research 2021, 122, 353–361. [Google Scholar] [CrossRef]
- Ridzuan, N.H.A.M.; Marwan, N.F.; Khalid, N.; Ali, M.H.; Tseng, M.L. Effects of agriculture, renewable energy, and economic growth on carbon dioxide emissions: Evidence of the environmental Kuznets curve. Resources, Conservation and Recycling 2020, 160, 104879. [Google Scholar] [CrossRef]
- Basu, K.; Palazzo, G. Corporate social responsibility: A process model of sensemaking. Academy of Management Review 2008, 33(1), 122–136. [Google Scholar] [CrossRef]
- Pureza, A.P.; Lee, K.H. Corporate social responsibility leadership for sustainable development: An institutional logics perspective in Brazil. Corporate Social Responsibility and Environmental Management 2020, 27(3), 1410–1424. [Google Scholar] [CrossRef]
- Reimer, M.; Van Doorn, S.; Heyden, M.L.M. Unpacking functional experience complementarities in senior leaders’ influences on CSR strategy: A CEO-top management team approach. Journal of Business Ethics 2018, 151(4), 977–995. [Google Scholar] [CrossRef]
- Yuan, Y.; Lu, L.Y.; Tian, G.L.; Yu, Y.X. Business strategy and corporate social responsibility. Journal of Business Ethics 2020, 162(2), 359–377. [Google Scholar] [CrossRef]
- Ramus, C.A. Organizational support for employees: Encouraging creative ideas for environmental sustainability. California Management Review 2001, 43(3), 85–105. [Google Scholar] [CrossRef]
- Zhao, L.; Yang, M.M.; Wang, Z.; Michelson, G. Trends in the dynamic evolution of corporate social responsibility and leadership: A literature review and bibliometric analysis. Journal of Business Ethics 2023, 182(1), 135–157. [Google Scholar] [CrossRef]
- Arup, T.; Simpson, F. Discussion paper for the Climate & Recovery Initiative ninth roundtable: Interactions between inflation, Energy, economic policy and climate change. 2022.
- Ferrell, O.C.; Ferrell, L. New directions for marketing ethics and social responsibility research. Journal of Marketing Theory and Practice 2021, 29(1), 13–22. [Google Scholar] [CrossRef]
- Jeong, K.H.; Choi, S.U. The Effect of ESG Management on Firm Value: Focused on the Role of Financial Statement Comparability. Account. Inf. 2022, 40, 73–106. [Google Scholar] [CrossRef]
- Yun, G.W. The Great Changes Facilitated by COVID-19 and China’s Digital Transformation. China Knowledge Network, special number 2020, 5–79.
- Cho, K.W.; Woo, Y.W. Topic modeling on research trends of industry 4.0 using text mining. Journal of the Korea Institute of Information and Communication Engineering 2019, 23(7), 764–770. [Google Scholar]
- Godfrey, P.C.; Merrill, C.B.; Hansen, J.M. The relationship between corporate social responsibility and shareholder value: An empirical test of the risk management hypothesis. Strategic Management Journal 2009, 30(4), 425–445. [Google Scholar] [CrossRef]
- Wang, Z.; Sarkis, J. Investigating the relationship of sustainable supply chain management with corporate financial performance. International Journal of Productivity and Performance Management 2013, 62(8), 871–888. [Google Scholar] [CrossRef]
- Dai, T.; Tang, C. Frontiers in service science: integrating ESG measures and supply chain management: research opportunities in the postpandemic era. Service Science 2022, 14(1), 1–12. [Google Scholar] [CrossRef]
- Park, S.R.; Jang, J.Y. The impact of ESG management on investment decision: Institutional investors’ perceptions of country-specific ESG criteria. International Journal of Financial Studies 2021, 9(3), 48. [Google Scholar] [CrossRef]
- Yang, O.S.; Han, J.H. Assessing the effect of corporate esg management on corporate financial & market performance and export. Sustainability 2023, 15(3), 2316. [Google Scholar]
- Lai, K.H.; Wong, C.W. Green logistics management and performance: Some empirical evidence from Chinese manufacturing exporters. Omega 2012, 40(3), 267–282. [Google Scholar] [CrossRef]
- Vachon, S.; Klassen, R.D. Environmental management and manufacturing performance: The role of collaboration in the supply chain. International Journal of Production Economics 2008, 111(2), 299–315. [Google Scholar] [CrossRef]
- Parviainen, P.; Tihinen, M.; Kaariainen, J.; Teppola, S. Tackling the digitalization challenge: how to benefit from digitalization in practice. International Journal of Information Systems and Project Management 2017, 5(1), 63–77. [Google Scholar] [CrossRef]
- Barrett, A.K.; Stephens, K.K. The pivotal role of change appropriation in the implementation of health care technology. Management Communication Quarterly 2016, 31(2), 163–193. [Google Scholar] [CrossRef]
- Priyono, A.; Moin, A.; Putri, V.N.A.O. Identifying digital transformation paths in the business model of SMEs during the COVID-19 pandemic. Journal of Open Innovation: Technology, Market, and Complexity 2020, 6(4), 104. [Google Scholar] [CrossRef]
- MS Nadella "Digital Transformation That Will Take 2 Years, It Has Been 2 Months". 2020. Available online: https://biz.chosun.com/site/data/html_dir/2020/05/20/2020052003681.html.
- Deline, M.B. Framing resistance: identifying frames that guide resistance interpretations at work. Management Communication Quarterly 2019, 33(1), 39–67. [Google Scholar] [CrossRef]
- Strange, R.; Chen, L.; Fleury, M.T.L. Digital transformation and international strategies. Journal of International Management 2022, 28(4), 100968. [Google Scholar] [CrossRef]






| Time | Year | Top 30 frequent words |
|---|---|---|
| Before COVID-19 |
2017 | business, customer, company, new, growth, service, development, management, value, group, world, market, time, opportunity, energy, global, industry, future, increase, health, cost, result, asset, continue, technology, work, people, network, share, sustainability |
| 2018 | business, new, company, growth, development, service, group, world, management, global, value, future, people, time, market, industry, energy, work, health, employee, continue, technology, network, opportunity, increase, strategy, share, quality, importance, asset | |
| 2019 | business, company, customer, new, development, growth, service, group, management, world, value, future, work, health, employee, continue, technology, market, global, time, people, industry, energy, environment, support, risk, quality, share, system, asset |
| Time | Year | Top 30 frequent words |
|---|---|---|
| After COVID-19 |
2020 | business, company, customer, new, development, growth, service, group, global, world, management, market, energy, people, health, value, work, continue, time, industry, sustainability, future, network, employee, risk, effort, environment, support, community, digital |
| 2021 | business, customer, new, company, development, service, group, global, work, pandemic, people, world, energy, management, employee, value, carbon, support, society, continue, community, market, time, covid, digital, effort, environment, industry, health | |
| 2022 | business, company, new, customer, service, development, growth, world, people, group, global, work, management, energy, community, industry, market, value, health, employee, time, technology, future, continue, digital, sustainability, share, effort, system, support |
| Group | The top 30 “before COVID-19” words | Topic |
|---|---|---|
| 1 | growth, market, business, time, work, risk, sustainability, system, efficiency, network, board, earnings, provide, resource, areas, internal, key, launch, carbon, chain, focus, platform, mobility, climate, improve, general, united, infrastructure, models, return | Risk Management |
| 2 | business, development, strategy, industry, health, opportunity, increase, global, environment, community, plan, care, reform, deliver, healthcare, improve, revenue, oil, post, organization, control, report, serve, country, responsibility, retail, safety, rate, focus, expect | Market Expansion |
| 3 | technology, support, sales, capability, significant, transformation, process, addition, cloud, commercial, cost, application, increasing, including, real, interest, reduce, largest, period, order, 5g, ability, price, trust, volume, tax, target, proud, dividend, job | Operational Efficiency |
| 4 | customer, future, employee, innovation, people, result, solution, profit, fiscal, project, insurance, partners, portfolio, policy, cost, success, team, scale, enhance, including, benefit, culture, emission, record, stock, current, improved, local, promote, times | Customer Centric Innovation |
| 5 | company, group, world, potential, asset, share, quality, corporate, progress, digital, change, capital, experience, increased, data, society, commitment, core, supply, past, initiative, model, position, mobile, development, approach, drive, generation, foundation, lead | Digital Integration |
| 6 | service, management, energy, economy, importance, strong, performance, create, vehicle, effort, gas, end, goal, power, bank, cash, store, brand, intelligence, global, demand, vision, network, continue, issue, achieve, place, consumer, electric, class | Energy Innovation |
| Group | The top 30 “before COVID-19” words | Topic |
|---|---|---|
| 1 | growth, economy, quality, opportunity, vehicle, plan, improve, fiscal, government, home, inclusion, serve, diversity, key, success, trust, interest, potential, stable, control, united, enable, individual, speed, market, post, compared, increasingly, aim, contribute | Value Creation |
| 2 | global, technology, pandemic, covid, progress, transformation, supply, performance, power, create, environment, country, past, insurance, care, safety, intelligence, generation, key, improved, model, bank, local, reach, announce, leverage, dividend, responsibility, associates, lower | Environmental Sustainability |
| 3 | industry, network, effort, including, strong, corporate, solution, risk, 5g, commitment, organization, security, launch, role, information, result, strategy, employee, improving, related, real, commercial, foundation, advantage, class, segment, structure, poverty, report, confidence | CSR and Leadership |
| 4 | work, management, energy, market, health, sustainability, share, strategy, issue, employee, emission, initiative, end, social, chain, significant, goal, partners, climate, addition, platform, revenue, life, program, profit, cloud, infrastructure, national, equity, esg | Climate Change Initiative |
| 5 | world, system, focus, sales, capability, board, capital, areas, resource, policy, drive, market, team, environment, benefit, experience, access, purpose, approach, measures, efficiency, principle, ability, finance, natural, income, action, price, neutral, lead | Ethical and Compliance Policies |
| 6 | business, group, continue, time, innovation, future, increase, gas, importance, data, carbon, cost, project, provide, internal, governance, esg, reform, cash, oil, enterprise, loan, scale, consumer, earnings, challenge, place, public, members, reduce | ESG Management |
| 7 | company, customer, development, service, people, community, digital, support, asset, society, change, increased, healthcare, core, achieve, culture, smart, strategy, position, post, current, target, ai, risk, open, representing, built, medical, state, oriented | Digital Transformation |
Disclaimer/Publisher’s Note: The statements, opinions and data contained in all publications are solely those of the individual author(s) and contributor(s) and not of MDPI and/or the editor(s). MDPI and/or the editor(s) disclaim responsibility for any injury to people or property resulting from any ideas, methods, instructions or products referred to in the content. |
© 2024 by the authors. Licensee MDPI, Basel, Switzerland. This article is an open access article distributed under the terms and conditions of the Creative Commons Attribution (CC BY) license (http://creativecommons.org/licenses/by/4.0/).