Submitted:
31 January 2024
Posted:
31 January 2024
You are already at the latest version
Abstract
Keywords:
1. Introduction
2. BL Access for Read Operation
2.1. BL Delay Time in Case of Shielded BL Read
2.2. BL Delay Time in Case of all BL Read
2.3. Energy in BL Path
2.4. Performance Comparison between SBL and ABL
3. BL Path Design: Conventional vs. Proposed
3.1. Circuits
3.2. Enegy in BL Path
4. Experimental
5. Design Consideration
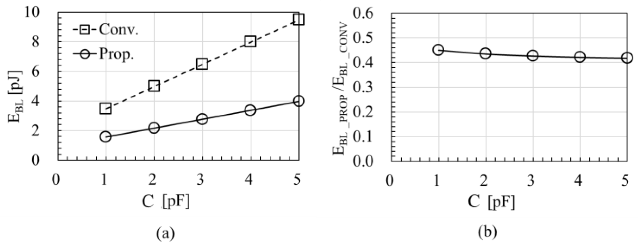
5.1. Enegy vs. BL Capacitacce
5.2. Average Die Enegy vs. Energy Ratio of BL Path to WL Path
5.3. Immunity against Noise in VDDQ
6. Summary
Author Contributions
Funding
Institutional Review Board Statement
Informed Consent Statement
Data Availability Statement
Acknowledgments
Conflicts of Interest
References
- Masanet, E., Shehabi, A., Lei, N., Smith, S., & Koomey, J. (2020). Recalibrating global data center energy-use estimates. Science, 367(6481), 984-986. [CrossRef]
- Pelley, S., Meisner, D., Wenisch, T. F., & VanGilder, J. W. (2009, June). Understanding and abstracting total data center power. In Workshop on energy-efficient design (Vol. 11, pp. 1-6).
- Info-Tech, “Top 10 energy-saving tips for a greener data center,” Info-Tech Research Group, London, ON, Canada, Apr. 2010. [Online]. Available: http://static.infotech.com/downloads/samples/070411_premium_oo_greendc_top_10.pdf.
- Uzaman, S. K., Shuja, J., Maqsood, T., Rehman, F., & Mustafa, S. (2019). A systems overview of commercial data centers: initial energy and cost analysis. International Journal of Information Technology and Web Engineering (IJITWE), 14(1), 42-65. [CrossRef]
- Pakbaznia, E., Ghasemazar, M., & Pedram, M. (2010, March). Temperature-aware dynamic resource provisioning in a power-optimized datacenter. In 2010 Design, Automation & Test in Europe Conference & Exhibition (DATE 2010) (pp. 124-129). IEEE. [CrossRef]
- Pelley, S., Meisner, D., Zandevakili, P., Wenisch, T. F., & Underwood, J. (2010). Power routing: dynamic power provisioning in the data center. ACM SIGARCH Computer Architecture News, 38(1), 231-242. [CrossRef]
- Abts, D., Marty, M. R., Wells, P. M., Klausler, P., & Liu, H. (2010, June). Energy proportional datacenter networks. In Proceedings of the 37th annual international symposium on Computer architecture (pp. 338-347). [CrossRef]
- Tsirogiannis, D., Harizopoulos, S., & Shah, M. A. (2010, June). Analyzing the energy efficiency of a database server. In Proceedings of the 2010 ACM SIGMOD International Conference on Management of data (pp. 231-242). [CrossRef]
- Dayarathna, M., Wen, Y., & Fan, R. (2015). Data center energy consumption modeling: A survey. IEEE Communications surveys & tutorials, 18(1), 732-794. [CrossRef]
- Mohan, V., Bunker, T., Grupp, L., Gurumurthi, S., Stan, M. R., & Swanson, S. (2013). Modeling power consumption of nand flash memories using flashpower. IEEE Transactions on Computer-Aided Design of Integrated Circuits and Systems, 32(7), 1031-1044. [CrossRef]
- M550 M.2 Type 2280 NAND Flash SSD. [online] https://www.micron.com/-/media/client/global/documents/products/data-sheet/ssd/m550_m2_2280_ssd.pdf.
- Siau, C., Kim, K. H., Lee, S., Isobe, K., Shibata, N., Verma, K., ... & Lin, L. (2019, February). 13.5 A 512Gb 3-bit/cell 3D flash memory on 128-wordline-layer with 132MB/s write performance featuring circuit-under-array technology. In 2019 IEEE International Solid-State Circuits Conference-(ISSCC) (pp. 218-220). IEEE. [CrossRef]
- ONFI, [online] https://www.onfi.org/.
- Toggle, [online] https://www.jedec.org/category/keywords/toggle.
- J. Yuh, J. Li, H. Li et al., "A 1-Tb 4b/Cell 4-Plane 162-Layer 3D Flash Memory With a 2.4-Gb/s I/O Speed Interface", IEEE International Solid- State Circuits Conference (ISSCC), Feb. 2022. [CrossRef]
- Lassa, P. (2010). The new ez nand in onfi v2. 3. SanDisk-Flash Memory Summit-Aug.
- Tripathy, S., Sahoo, D., Satpathy, M., & Pinisetty, S. (2019, November). Formal modeling and verification of nand flash memory supporting advanced operations. In 2019 IEEE 37th International Conference on Computer Design (ICCD) (pp. 313-316). IEEE. [CrossRef]
- Tanzawa, T., Tanaka, T., Takeuchi, K., & Nakamura, H. (2002). Circuit techniques for a 1.8-V-only NAND flash memory. IEEE Journal of Solid-State Circuits, 37(1), 84-89. [CrossRef]
- Gonugondla, S. K., Kang, M., Kim, Y., Helm, M., Eilert, S., & Shanbhag, N. (2018, May). Energy-efficient deep in-memory architecture for NAND flash memories. In 2018 IEEE International Symposium on Circuits and Systems (ISCAS) (pp. 1-5). IEEE. [CrossRef]
- H. Makino, T. Tanzawa, “A 30% Power Reduction Circuit Design for NAND Flash by Utilizing 1.2V I/O Power Supply to Bitline Path”, IEEE the 18th Asia Pacific Conference on Circuits and Systems, Nov. 2022. [CrossRef]
- Tanaka, T., Tanaka, Y., Nakamura, H., Sakui, K., Oodaira, H., Shirota, R., et al, (1994). A quick intelligent page-programming architecture and a shielded bitline sensing method for 3 V-only NAND flash memory. IEEE Journal of Solid-State Circuits, 29(11), 1366-1373. [CrossRef]
- Cernea, R. A., Pham, L., Moogat, F., Chan, S., Le, B., Li, Y. et al. (2008). A 34 MB/s MLC write throughput 16 Gb NAND with all bit line architecture on 56 nm technology. IEEE Journal of Solid-State Circuits, 44(1), 186-194. [CrossRef]
- Hwang Huh, Wanik Cho, Jinhaeng Lee, Yujong Noh, “A 1Tb 4b/Cell 96-Stacked-WL 3D NAND Flash Memory with 30MB/s Program Throughput Using Peripheral Circuit Under Memory Cell Array Technique”, ISSCC, 2020. [CrossRef]
- Chulbum Kim; Doo-Hyun Kim; Woopyo Jeong, “A 512-Gb 3-b/Cell 64-Stacked WL 3-D-NAND Flash Memory”, ISSCC, 2018. [CrossRef]


















| Parameter | Default Value |
|---|---|
| R | 3.0 MΩ |
| C | 3.0 pF |
| CSN | 0.1 pF |
| ICELL0 | 0 nA |
| ICELL1 | 100 nA |
| VDD | 3.0 V |
| VDDint | 2.0 V |
| VDDQ | 1.2 V |
| VBL | 0.5 V |
| TPC (Pre-charge time) | 5.0 μs |
| TSW (Switching time) | 100 ns |
Disclaimer/Publisher’s Note: The statements, opinions and data contained in all publications are solely those of the individual author(s) and contributor(s) and not of MDPI and/or the editor(s). MDPI and/or the editor(s) disclaim responsibility for any injury to people or property resulting from any ideas, methods, instructions or products referred to in the content. |
© 2024 by the authors. Licensee MDPI, Basel, Switzerland. This article is an open access article distributed under the terms and conditions of the Creative Commons Attribution (CC BY) license (http://creativecommons.org/licenses/by/4.0/).