Submitted:
26 January 2024
Posted:
29 January 2024
You are already at the latest version
Abstract
Keywords:
1. Introduction
2. Derivation of Governing Equations
3. Axisymmetric Planar Crack Formulation
4. Numerical Examples
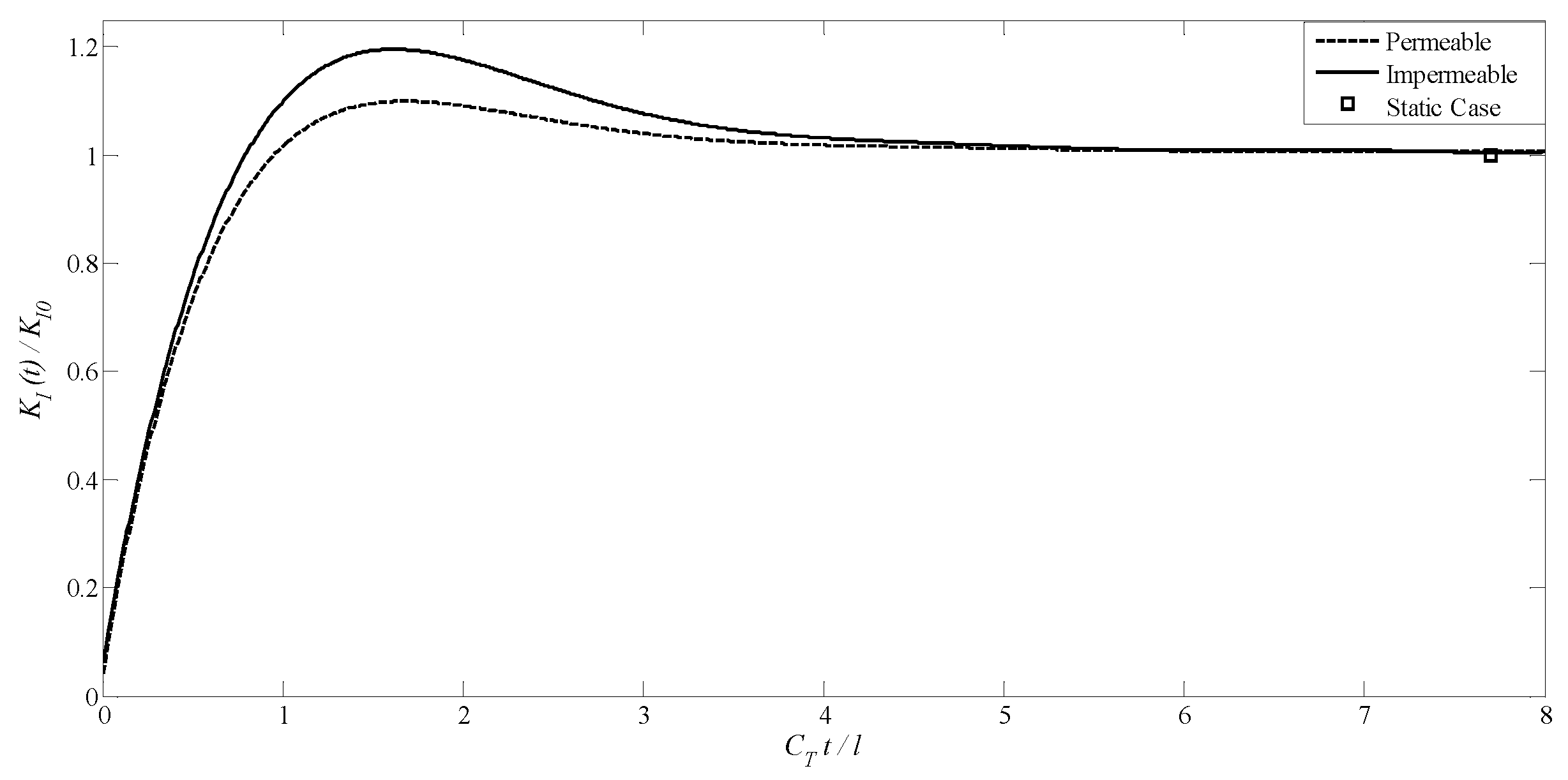
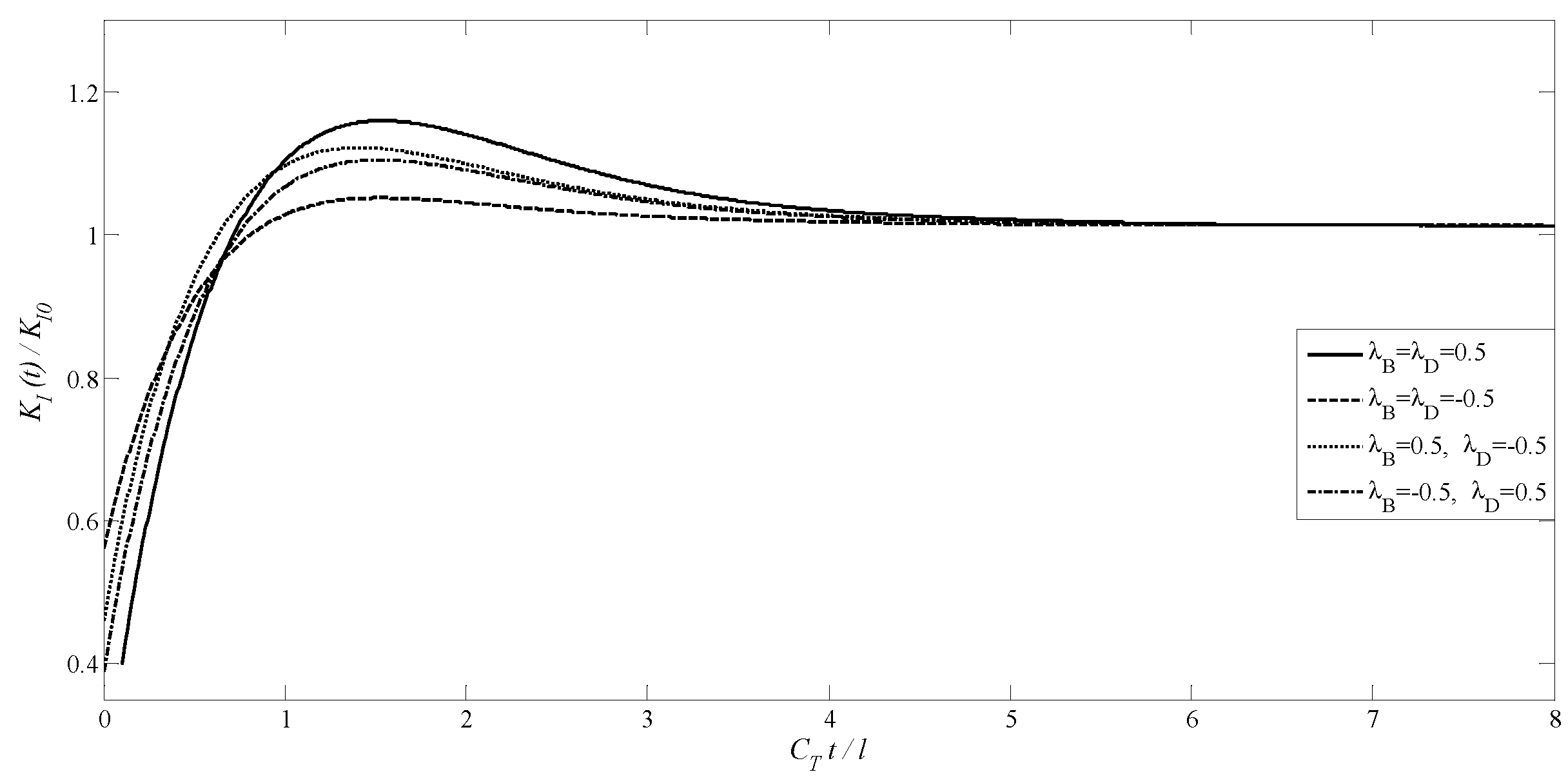
4.1. A Transversely Isotropic MEE Medium with a Penny-Shaped Crack
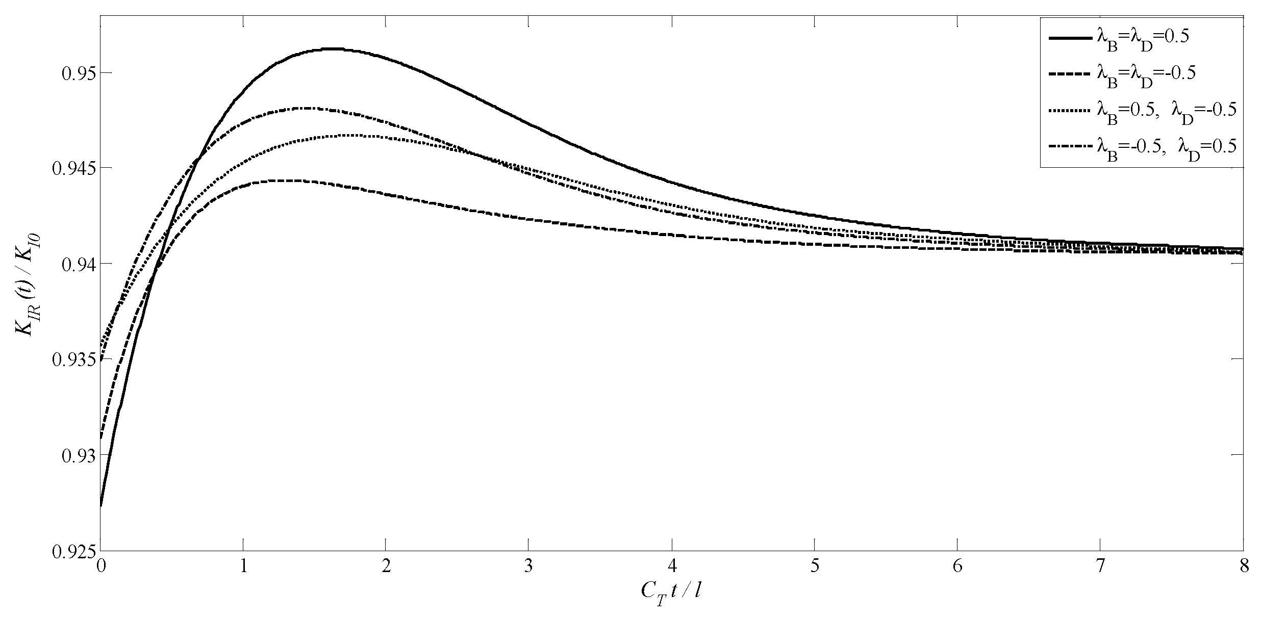
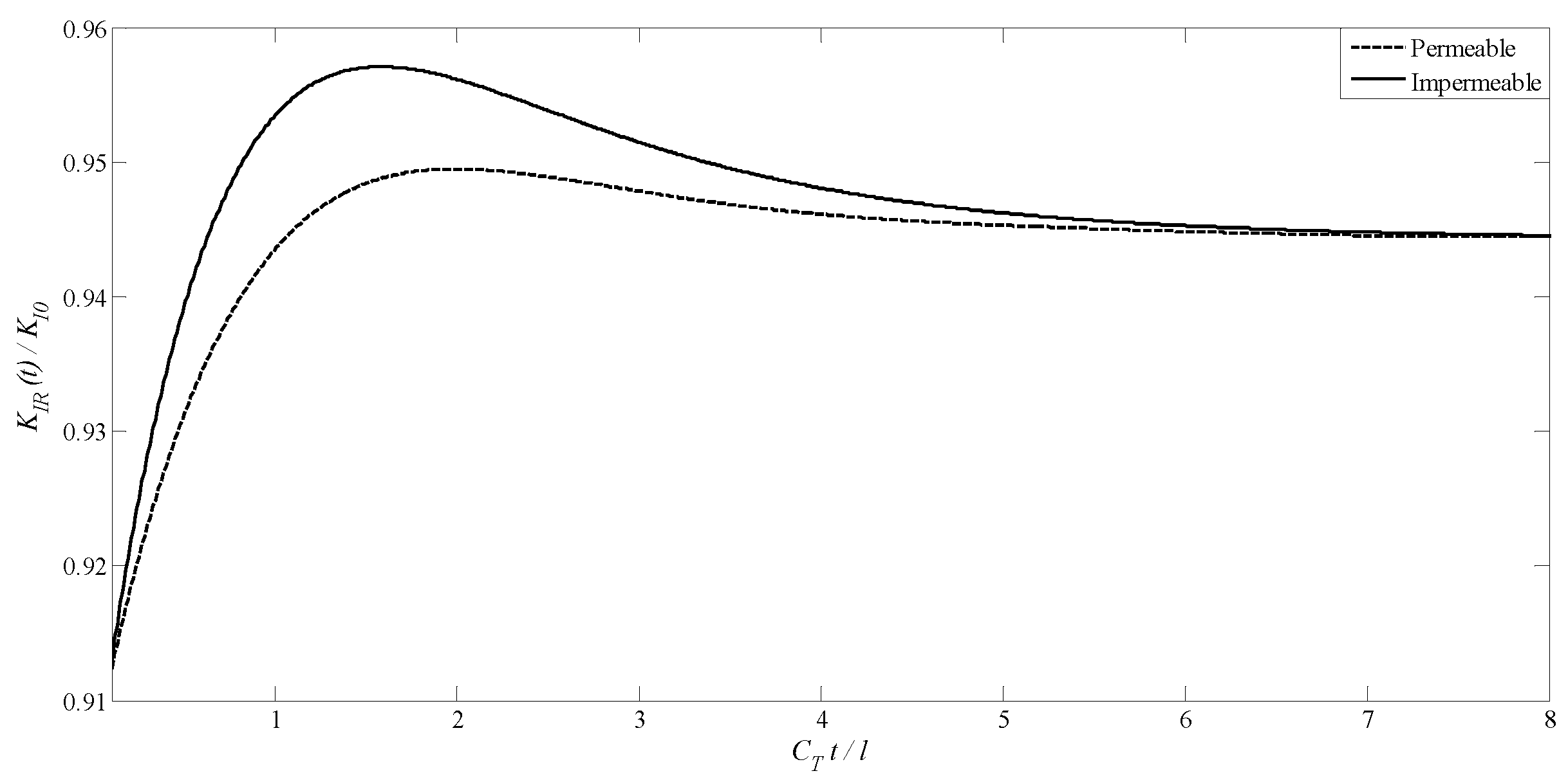
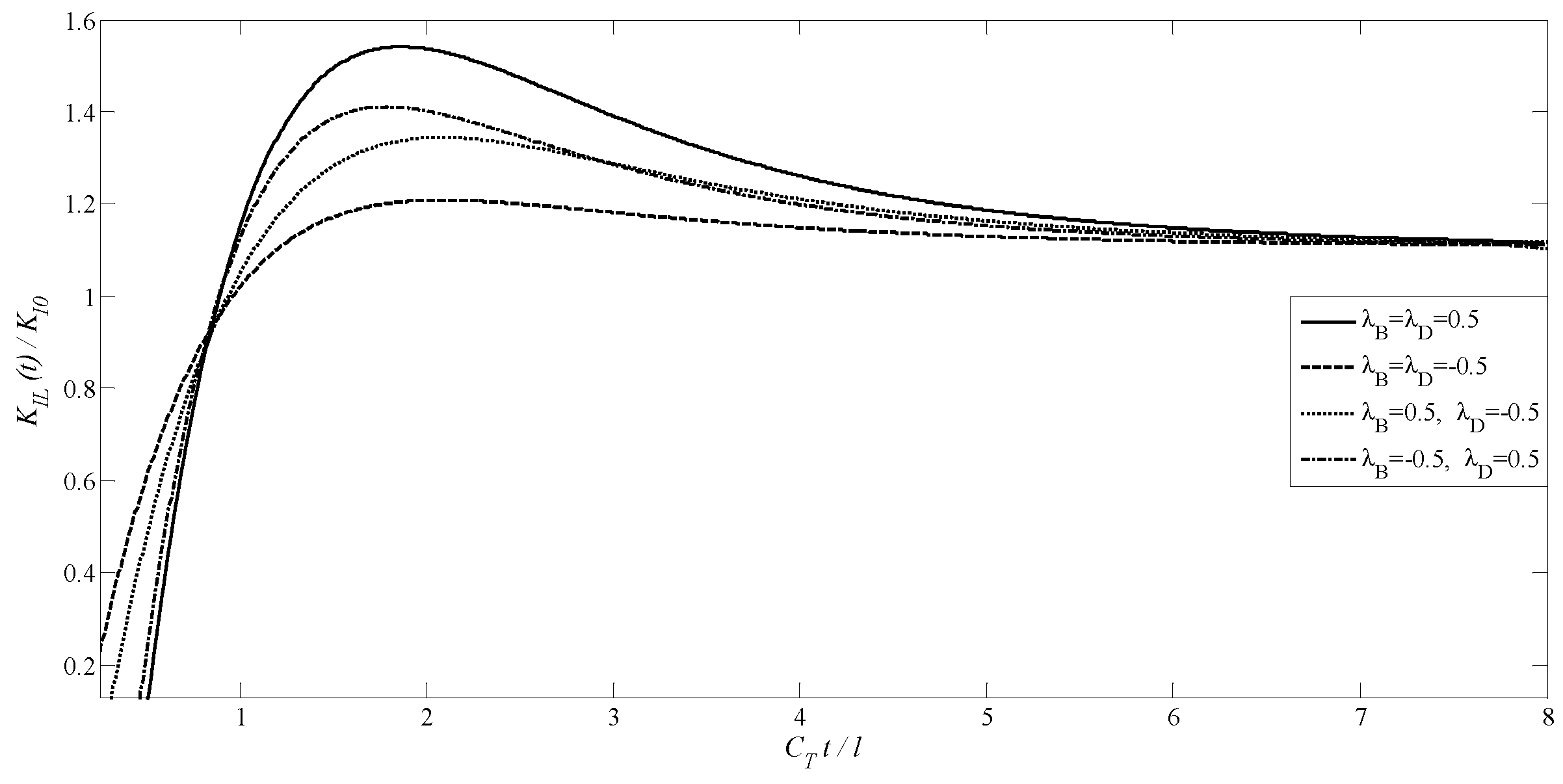
4.2. A Transversely Isotropic MEE Medium with an Annular Crack



4.3. A Transversely Isotropic MEE Medium with Two Non-Planar Penny-Shaped Cracks
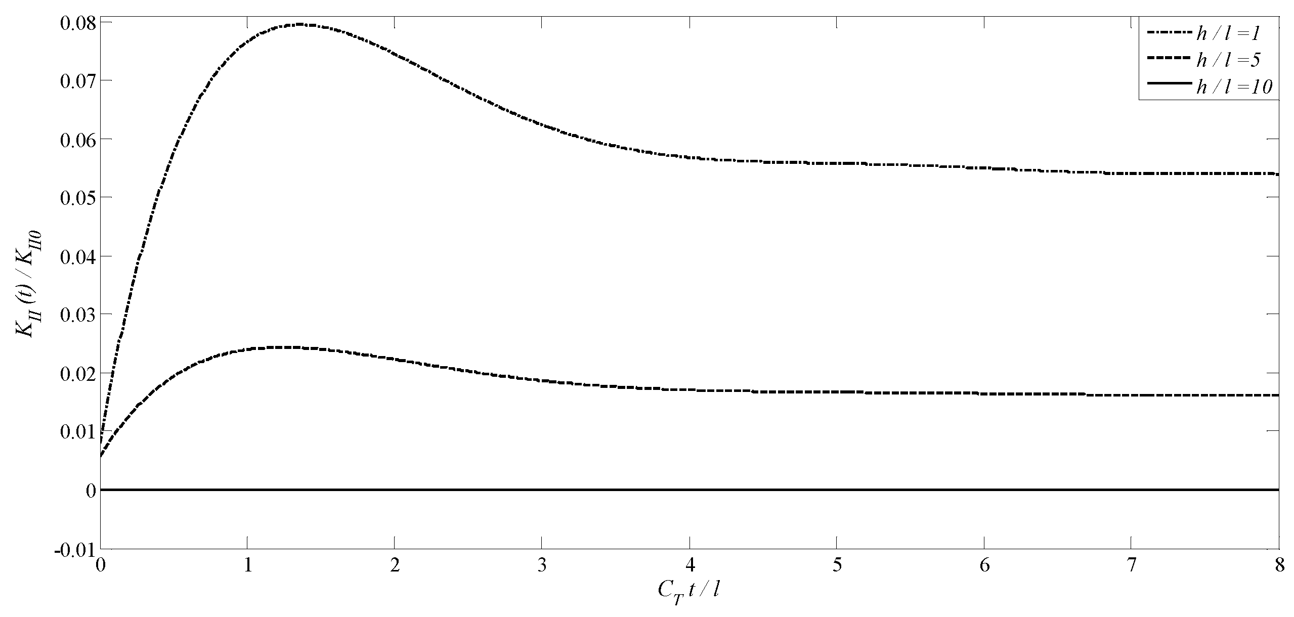
4.4. A Transversely Isotropic MEE Medium with a Penny-Shaped Crack Surrounded by an Annular Crack
5. Concluding Remarks
Author Contributions
Funding
Data Availability Statement
Conflicts of Interest
Declaration of conflicting interests
Appendix A
Appendix B
Appendix C
Appendix D
Appendix F
References
- Van Run AM, J.G.; Terrell, D.R.; Scholing, J.H. An in situ grown eutectic magnetoelectric composite material. Journal of Materials Science 1974, 9, 1710–1714. [Google Scholar] [CrossRef]
- Van den Boomgaard, J.; Terrell, D.R.; Born RA, J.; Giller HF, J.I. An in situ grown eutectic magnetoelectric composite material. Journal of Materials Science 1974, 9, 1705–1709. [Google Scholar] [CrossRef]
- Avellaneda, M.; Harshé, G. Magnetoelectric effect in piezoelectric/magnetostrictive multilayer (2-2) composites. Journal of Intelligent Material Systems and Structures 1994, 5, 501–513. [Google Scholar] [CrossRef]
- Achenbach, J.D. Quantitative nondestructive evaluation. International Journal of Solids and Structures 2000, 37, 13–27. [Google Scholar] [CrossRef]
- Priya, S.; Islam, R.; Dong, S.; Viehland, D. Recent advancements in magnetoelectric particulate and laminate composites. Journal of Electroceramics 2007, 19, 149–166. [Google Scholar] [CrossRef]
- Wang, B.L.; Sun, Y.G.; Zhang, H.Y. Analysis of a penny-shaped crack in magnetoelectroelastic materials. Journal of Applied Physics 2008, 103, 083530. [Google Scholar] [CrossRef]
- Zhao, M.; Fan, C.; Yang, F.; Liu, T. Analysis method of planar cracks of arbitrary shape in the isotropic plane of a three-dimensional transversely isotropic magnetoelectroelastic medium. International Journal of Solids and Structures 2007, 44, 4505–4523. [Google Scholar] [CrossRef]
- Zhong, X.C.; Li, X.F. Magnetoelectroelastic analysis for an opening crack in a piezoelectromagnetic solid. European Journal of Mechanics-A/Solids 2007, 26, 405–417. [Google Scholar] [CrossRef]
- Hu, K.Q.; Li, G.Q. Electro-magneto-elastic analysis of a piezoelectromagnetic strip with a finite crack under longitudinal shear. Mechanics of Materials 2005, 37, 925–934. [Google Scholar] [CrossRef]
- Tian, W.Y.; Rajapakse, R.K.N.D. Fracture analysis of magnetoelectroelastic solids by using path independent integrals. International Journal of Fracture 2005, 131, 311–335. [Google Scholar] [CrossRef]
- Gao, C.F.; Tong, P.; Zhang, T.Y. Fracture mechanics for a mode III crack in a magnetoelectroelastic solid. International Journal of Solids and Structures 2004, 41, 6613–6629. [Google Scholar] [CrossRef]
- Sih, G.C.; Jones, R.; Song, Z.F. Piezomagnetic and piezoelectric poling effects on mode I and II crack initiation behavior of magnetoelectroelastic materials. Theoretical and Applied Fracture Mechanics 2003, 40, 161–186. [Google Scholar] [CrossRef]
- Jinxi, L.; Xianglin, L.; Yongbin, Z. Green's functions for anisotropic magnetoelectroelastic solids with an elliptical cavity or a crack. International Journal of Engineering Science 2001, 39, 1405–1418. [Google Scholar] [CrossRef]
- Li, X.F. Dynamic analysis of a cracked magnetoelectroelastic medium under antiplane mechanical and inplane electric and magnetic impacts. International Journal of Solids and Structures 2005, 42, 3185–3205. [Google Scholar] [CrossRef]
- Hu, K.; Li, G. Constant moving crack in a magnetoelectroelastic material under anti-plane shear loading. International Journal of Solids and Structures 2005, 42, 2823–2835. [Google Scholar] [CrossRef]
- Zhou, Z.G.; Wu, L.Z.; Wang, B. The dynamic behavior of two collinear interface cracks in magneto-electro-elastic materials. European Journal of Mechanics-A/Solids 2005, 24, 253–262. [Google Scholar] [CrossRef]
- Zhang, P.W.; Zhou, Z.G.; Wang, B. Dynamic behavior of two collinear interface cracks between two dissimilar functionally graded piezoelectric/piezomagnetic material strips. Applied Mathematics and Mechanics 2007, 28, 615–625. [Google Scholar] [CrossRef]
- Su RK, L.; Feng, W.J.; Liu, J. Transient response of interface cracks between dissimilar magneto-electro-elastic strips under out-of-plane mechanical and in-plane magneto-electrical impact loads. Composite structures 2007, 78, 119–128. [Google Scholar]
- Feng, W.J.; Pan, E. Dynamic fracture behavior of an internal interfacial crack between two dissimilar magneto-electro-elastic plates. Engineering Fracture Mechanics 2008, 75, 1468–1487. [Google Scholar] [CrossRef]
- Liang, J. The dynamic behavior of two parallel symmetric cracks in functionally graded piezoelectric/piezomagnetic materials. Archive of Applied Mechanics 2008, 78, 443–464. [Google Scholar] [CrossRef]
- Sladek, J.; Sladek, V.; Solek, P.; Pan, E. Fracture analysis of cracks in magneto-electro-elastic solids by the MLPG. Computational Mechanics 2008, 42, 697–714. [Google Scholar] [CrossRef]
- Feng, W.J.; Li, Y.S.; Xu, Z.H. Transient response of an interfacial crack between dissimilar magnetoelectroelastic layers under magnetoelectromechanical impact loadings: mode-I problem. International Journal of Solids and Structures 2009, 46, 3346–3356. [Google Scholar] [CrossRef]
- Zhong, X.C.; Zhang, K.S. Dynamic analysis of a penny-shaped dielectric crack in a magnetoelectroelastic solid under impacts. European Journal of Mechanics-A/Solids 2010, 29, 242–252. [Google Scholar] [CrossRef]
- Zhong, X.C.; Liu, F.; Li, X.F. Transient response of a magnetoelectroelastic solid with two collinear dielectric cracks under impacts. International Journal of Solids and Structures 2009, 46, 2950–2958. [Google Scholar] [CrossRef]
- Feng, W.J.; Pan, E.; Wang, X. Dynamic fracture analysis of a penny-shaped crack in a magnetoelectroelastic layer. International Journal of Solids and Structures 2007, 44, 7955–7974. [Google Scholar] [CrossRef]
- Zhong, X.C.; Li, X.F.; Lee, K.Y. Transient response of a cracked magnetoelectric material under the action of in-plane sudden impacts. Computational Materials Science 2009, 45, 905–911. [Google Scholar] [CrossRef]
- Wang, B.L.; Han, J.C.; Du, S.Y. Transient fracture of a layered magnetoelectroelastic medium. Mechanics of Materials 2010, 42, 354–364. [Google Scholar] [CrossRef]
- Li, Y.D.; Lee, K.Y. Collinear unequal crack series in magnetoelectroelastic materials: mode I case solved via new real fundamental solutions. Engineering Fracture Mechanics 2010, 77, 2772–2790. [Google Scholar] [CrossRef]
- Wünsche, M.; Sáez, A.; García-Sánchez, F.; Zhang, C. Transient dynamic crack analysis in linear magnetoelectroelastic solids by a hypersingular time-domain BEM. European Journal of Mechanics-A/Solids 2012, 32, 118–130. [Google Scholar] [CrossRef]
- Athanasius, L.; Ang, W.T. Magnetoelectroelastodynamic interaction of multiple arbitrarily oriented planar cracks. Applied Mathematical Modelling 2013, 37, 6979–6993. [Google Scholar] [CrossRef]
- Li, Y.S.; Ren, J.H.; Feng, W.J.; Wang, W. Dynamic fracture analysis of an annular interfacial crack between dissimilar magnetoelectroelastic layers. Archive of Applied Mechanics 2013, 83, 151–170. [Google Scholar] [CrossRef]
- Li, Y.S.; Liu, L.B.; Meng, W.Q.; Cai, Z.Y. Interfacial penny-shaped crack between magnetoelectroelastic thin film and elastic substrate. International Journal of Applied Electromagnetics and Mechanics 2013, 42, 501–517. [Google Scholar] [CrossRef]
- Lei, J.; Zhang, C.; Bui, T.Q. Transient dynamic interface crack analysis in magnetoelectroelastic bi-materials by a time-domain BEM. European Journal of Mechanics-A/Solids 2015, 49, 146–157. [Google Scholar] [CrossRef]
- Xiao, J.; Xu, Y.; Zhang, F. Fracture analysis of magnetoelectroelastic solid weakened by periodic cracks and line inclusions. Engineering Fracture Mechanics 2019, 205, 70–80. [Google Scholar] [CrossRef]
- Hills, D.A.; Kelly, P.A.; Dai, D.N.; Korsunsky, A.M. Solution of crack problems: the distributed dislocation technique; Springer Science & Business Media, 2013; Volume 44. [Google Scholar]
- Stehfest, H. Algorithm 368: Numerical inversion of Laplace transforms [D5]. Communications of the ACM 1970, 13, 47–49. [Google Scholar] [CrossRef]
- Wang, B.L.; Mai, Y.W. Applicability of the crack-face electromagnetic boundary conditions for fracture of magnetoelectroelastic materials. International journal of solids and structures 2007, 44, 387–398. [Google Scholar] [CrossRef]
- Zhang, T.Y.; Zhao, M.; Tong, P. Fracture of piezoelectric ceramics. In Advances in applied mechanics; Elsevier, 2002; Volume 38, pp. 289. [Google Scholar]
- Pourseifi, M.; Faal, R.T.; Asadi, E. Axisymmetric planar cracks in finite hollow cylinders of transversely isotropic material: part I—dislocation solution for infinite cylinders. Journal of Applied Mathematics and Physics 2017, 68, 74. [Google Scholar] [CrossRef]
- Pourseifi, M.; Faal, R.T. Tension analysis of infinite solid circular cylinders with arbitrary located axisymmetric cracks. Theoretical and Applied Fracture Mechanics 2015, 80, 182–192. [Google Scholar] [CrossRef]
- Pourseifi, M.; Faal, R.T.; Asadi, E. Axisymmetric planar cracks in finite hollow cylinders of transversely isotropic material: part I—dislocation solution for infinite cylinders. Zeitschrift für angewandte Mathematik und Physik 2017, 68. [Google Scholar] [CrossRef]
- Pourseifi, M.; Faal, R.T.; Asadi, E. Axisymmetric planar cracks in finite hollow cylinders of transversely isotropic material: Part II—cutting method for finite cylinders. Zeitschrift für angewandte Mathematik und Physik 2017, 68. [Google Scholar] [CrossRef]
- Weertman, J. Dislocation based fracture mechanics; World Scientific Publishing Company, 1996. [Google Scholar]
- Monfared, M.M.; Pourseifi, M.; Bagheri, R. Computation of mixed mode stress intensity factors for multiple axisymmetric cracks in an FGM medium under transient loading. International Journal of Solids and Structures 2019, 158, 220–231. [Google Scholar] [CrossRef]
- Faal, R.T.; Fariborz, S.J.; Daghyani, H.R. Antiplane deformation of orthotropic strips with multiple defects. Journal of Mechanics of Materials and Structures 2006, 1, 1097–1114. [Google Scholar] [CrossRef]
- Vahdati, A.; Salehi, M.; Vahabi, M.; Fesharaki, J.J.; Ghassemi, A. Fracture analysis of piezoelectromagnetic medium with axisymmetric cracks. Theoretical and Applied Fracture Mechanics 2019, 104, 102337. [Google Scholar] [CrossRef]
- Zhou, Z.G.; Wu, L.Z.; Wang, B. A closed form solution of a crack in magneto-electro-elastic composites under anti-plane shear stress loading. JSME International Journal Series A Solid Mechanics and Material Engineering 2005, 48, 151–154. [Google Scholar] [CrossRef]
- Zhang, P.W.; Zhou, Z.G.; Wu, L.Z. Coupled field state around three parallel non-symmetric cracks in a piezoelectric/piezomagnetic material plane. Archive of Applied Mechanics 2009, 79, 965–979. [Google Scholar] [CrossRef]
- Zhong, X.C.; Li, X.F. Magnetoelectroelastic analysis for an opening crack in a piezoelectromagnetic solid. European Journal of Mechanics-A/Solids 2007, 26, 405–417. [Google Scholar] [CrossRef]















|
|
Disclaimer/Publisher’s Note: The statements, opinions and data contained in all publications are solely those of the individual author(s) and contributor(s) and not of MDPI and/or the editor(s). MDPI and/or the editor(s) disclaim responsibility for any injury to people or property resulting from any ideas, methods, instructions or products referred to in the content. |
© 2024 by the authors. Licensee MDPI, Basel, Switzerland. This article is an open access article distributed under the terms and conditions of the Creative Commons Attribution (CC BY) license (http://creativecommons.org/licenses/by/4.0/).
