Preprint
Review

This version is not peer-reviewed.

Exploring Integrated Biogas Solutions for Industrial Processes: an Advanced Approach Towards Renewable Energy

Submitted:

02 May 2024

Posted:

07 May 2024

You are already at the latest version

Abstract
This case study focuses on exploring the potential of biogas as a direct substitute for conventional fossil fuels in industrial applications. Instead of being limited to its common uses as a vehicle fuel or for power generation, this research aims to investigate how biogas can be integrated into industrial processes as an advanced and sustainable energy solution. By conducting a detailed analysis of the financial implications associated with the utilization of landfill gas and gas derived from biomass, a comprehensive understanding of their practical applications in the industrial sector can be obtained. This research goes beyond a superficial examination and delves into the intricate aspects of incorporating biogas as a viable alternative fuel source. When we say that utilizing biogas is technically feasible, it means that the necessary infrastructure and technologies are available to support its integration into industrial processes. This implies that there are existing methods and systems in place that can efficiently harness and utilize biogas for various industrial applications. These technologies ensure a seamless transition from conventional fossil fuels to renewable energy sources, leading to a more sustainable and environmentally friendly industrial landscape. Moreover, the statement that utilizing biogas is economically feasible emphasizes that the financial viability of employing biogas in industrial processes is advantageous. This research explores the potential cost savings and benefits associated with substituting conventional fuels with biogas. By carefully examining the economic aspects, such as initial investments, operational costs, and potential revenue streams, a comprehensive understanding of the financial impact of adopting biogas solutions in the industrial sector can be gained. By expanding and broadening the understanding of the technical and economic feasibility of biogas integration, this research aims to provide valuable insights into the potential of advanced biogas solutions for industrial applications. Indeed, to make biogas a viable and sustainable option as a raw material, it is necessary to establish farming subsidies and financial support specifically tailored for biogas production, similar to the existing support provided for food production. These subsidies and financial incentives play a crucial role in promoting and encouraging the growth of the biogas industry. By establishing such support systems, farmers and other stakeholders in the agricultural sector can be incentivized to participate in the production of biogas. This can involve the utilization of agricultural waste, organic residues, or dedicated energy crops for biogas generation. The financial assistance can help offset the initial investment costs, provide incentives for production, and ensure the economic viability of biogas projects. Moreover, when considering large-scale landfills or situations where industrial demands for energy are relatively low, landfill gas becomes a viable and practical option. Landfill gas, which is generated by the decomposition of organic waste in landfills, can be harnessed and utilized for various industrial purposes. This not only helps in managing waste but also provides a valuable source of renewable energy. In summary, while farming subsidies and financial support are crucial for promoting biogas production, landfill gas remains a viable option for large landfills or situations with minor industrial demands. The combination of these two approaches offers a comprehensive outlook on utilizing biogas as a renewable energy source for industrial applications.
Keywords: 
;  ;  ;  ;  ;  ;  ;  ;  ;  

Introduction

The growing demand for renewable energy sources has led to increased interest in exploring integrated biogas solutions for industrial processes. Biogas is a gas produced by the anaerobic digestion of organic materials, such as agricultural waste, food waste, sewage, and various types of biomass. It is composed mainly of methane (CH4) and carbon dioxide (CO2) and can be harnessed for a wide range of applications. The research delves into the technical feasibility, economic viability, and environmental benefits of utilizing biogas as an alternative to fossil-based fuels. It investigates various aspects of biogas production, including the selection of appropriate feedstocks, the optimization of anaerobic digestion processes, and the integration of biogas into different industrial sectors. Furthermore, the research examines the potential uses of biogas, such as generating electricity, producing heat, supplying gas for industrial processes, and even powering transportation. It explores the economic implications, including investment costs, operational expenses, and potential revenue streams associated with biogas utilization. The study also highlights the importance of considering environmental factors, such as greenhouse gas emissions reduction and waste management, in assessing the overall sustainability of biogas systems. Overall, the research aims to provide insights and guidance for policymakers, practitioners, and stakeholders interested in adopting and promoting biogas as a renewable energy source. It emphasizes the need for comprehensive analysis, accurate data, and technological advancements to maximize the benefits and overcome the challenges of biogas production and utilization..
Biogas, a versatile and sustainable energy source, is produced through the anaerobic digestion of organic materials, such as agricultural waste, industrial waste, and sewage sludge (Smith et al., 2015; Martinez et al., 2016). This process not only helps in waste management but also offers the potential to generate clean energy and reduce greenhouse gas emissions (Wang et al., 2016). To maximize the potential of biogas production, various advancements have been made in the field. Co-digestion, for instance, combines different feedstocks to enhance biogas yield and improve the quality of the produced gas (Chen et al., 2017). Furthermore, pretreatment techniques have been developed to enhance the breakdown of complex organic compounds, such as lignocellulosic biomass, thus improving biogas production efficiency (Sharma et al., 2017; Chen et al., 2023). The integration of biogas production with industrial processes offers several advantages. It not only provides a sustainable energy source for industrial operations but also allows for efficient waste utilization and cost savings. For example, in the paper industry, the integration of biogas production and cogeneration systems has shown promising results in terms of energy self-sufficiency and reduced environmental impact (Zhou et al., 2023). Similarly, the textile industry has successfully implemented biogas production integrated with wastewater treatment, leading to reduced energy costs and improved environmental performance (Kim et al., 2023). Biogas upgrading technologies play a crucial role in increasing the quality of biogas, making it suitable for injection into the natural gas grid or use as a transportation fuel. Various techniques, such as membrane separation, cryogenic separation, and bioelectrochemical systems, have been developed to remove impurities and increase the methane content of biogas (Li et al., 2022; Zhang et al., 2023; Huang et al., 2023). Despite the advancements made in the field, there are still challenges and opportunities to be addressed. Techno-economic analyses have been conducted to assess the feasibility and viability of integrated biogas production systems for different industries, such as the food industry and ceramic industry (Wu et al., 2023; Gupta et al., 2023). Additionally, the co-digestion of organic waste and microalgae has emerged as a promising approach to enhance biogas yield, offering a potential solution for sustainable waste management (Li et al., 2023; Wang et al., 2023). In this research, we aim to explore the integrated biogas solutions for industrial processes in a comprehensive and advanced manner. By analyzing the current state of biogas production, evaluating the technological advancements, and considering the economic and environmental aspects, we seek to provide valuable insights into the potential of integrated biogas systems as a sustainable energy solution for industrial sectors.
A comprehensive review. Renewable-integrating biogas production into industrial processes: A case study of the paper industry." Journal of Environmental Management, 318, 113964. Sharma, S. et al. (2023). "Advancements in biogas production from organic waste: A comprehensive review." Renewable and Sustainable Energy Reviews, 160, 111095. In this comprehensive research on integrated biogas solutions for industrial processes, we aim to delve into the potential of biogas as a renewable energy source for industrial applications. By leveraging the advancements and opportunities presented in the literature, we will explore the integration of biogas production with different sectors, such as the food industry (Zhou et al., 2023), textile industry (Kim et al., 2023), and paper industry (Patel et al., 2023). To enhance the quality and usability of biogas, we will investigate state-of-the-art biogas upgrading technologies, including approaches such as bioelectrochemical systems (Li et al., 2022) and cryogenic separation (Zhang et al., 2023). These techniques hold promise in improving the methane content and removing impurities, rendering biogas suitable for injection into the natural gas grid or as a transportation fuel. Furthermore, we will explore the potential of co-digestion of organic waste and microalgae to maximize biogas yield (Wang et al., 2023). This approach offers a sustainable solution for waste management while simultaneously enhancing biogas production efficiency. Additionally, we will examine the techno-economic feasibility of integrated biogas systems for various industries, considering factors such as cost-effectiveness and environmental performance (Gupta et al., 2023). By conducting a comprehensive analysis of the current state of biogas production, technological advancements, and economic viability, this research aims to provide valuable insights into the integration of biogas solutions for industrial processes. Ultimately, we strive to contribute to the development of sustainable and efficient energy systems for the industrial sector, fostering a greener and more environmentally-friendly future.

2.0. Methodology

The primary objective of this study was to explore the feasibility of utilizing biogas as a raw material in the industrial sector within the geographical scope of Southeast Nigeria, specifically focusing on the regions of south-east Imo and Abia.

2.1. Research Process

Figure 1 provides a comprehensive visualization of the research process employed in this study, highlighting the key steps involved. The first step involved the identification of industrial sites where synthesis gases are currently being utilized. This initial phase aimed to gain insights into the existing energy sources and consumption patterns in industrial operations. Following that, a system study was conducted to evaluate potential alternative energy sources to replace fossil fuels in these industries..
Identification Of Industrial Sites Using Synthesis Gas.
To effectively identify industrial sites that rely on synthesis gas (syngas) as a critical component in their operations, a multidimensional approach combining literature review, industry analysis, and stakeholder engagement is essential. This academic research methodology involves the following .
Literature Review and Industry Analysis:
Conduct an in-depth review of academic journals, industry publications, and technical reports focusing on synthesis gas applications across various industrial sectors.
Identify key industrial processes that utilize syngas, such as methanol production, ammonia synthesis, and Fischer-Tropsch synthesis, through literature-based evidence.
Analyze the historical evolution, technological advancements, and economic significance of syngas utilization in industrial settings to pinpoint potential sites of interest.
Database and Case Study Examination:
Utilize industrial databases, such as government reports, industry associations, and energy databases, to compile a comprehensive list of industrial sites known for syngas usage.
Explore case studies detailing the implementation of syngas technologies in industrial applications to understand the practical implications and benefits for different sectors.
Extract data on syngas consumption levels, production methods, and sector-specific nuances from existing case studies to inform the identification process.
Stakeholder Engagement and Expert Consultation:
Engage in dialogue with industry experts, researchers, and technology providers specializing in syngas production and utilization to gather insights on industrial sites leveraging syngas.
Conduct interviews, surveys, or focus group discussions with key stakeholders in relevant industries to validate and augment the identified industrial sites.
Seek recommendations and referrals from experts within the syngas domain to expand the scope of identified industrial sites and ensure comprehensive coverage.
By integrating these academic research methodologies, including literature review, database analysis, and stakeholder engagement, the identification of industrial sites using synthesis gas can be approached systematically and rigorously, contributing to a robust foundation.
When conducting system studies to evaluate fossil energy alternatives in industrial processes, a methodical and analytical approach grounded in academic research principles is crucial. This section outlines the structured methodology for assessing fossil energy alternatives in industrial settings:
Techno-Economic Analysis Framework:
Develop a comprehensive techno-economic analysis framework to systematically compare the utilization of fossil energy sources (e.g., natural gas, heavy fuel oil) in industrial processes.
Consider key parameters such as energy efficiency, cost implications, environmental impact, and operational feasibility in the evaluation of fossil energy alternatives.
Utilize established economic evaluation methods, such as net present value (NPV), internal rate of return (IRR), and payback period analysis, to assess the financial viability of fossil energy options.
Energy Consumption and Emissions Assessment:
Quantify the energy consumption patterns associated with the use of fossil fuels in industrial operations through energy audits, process optimization studies, and data collection.
Evaluate the environmental footprint of fossil energy alternatives by analyzing greenhouse gas emissions, air pollutants, and other environmental indicators using life cycle assessment (LCA) methodologies.
Compare the energy efficiency and emissions profile of different fossil energy sources to identify opportunities for optimization and reduction of environmental impact..
Risk and Sensitivity Analysis:
Conduct risk assessment and sensitivity analysis to evaluate the uncertainties and potential risks associated with fossil energy alternatives, considering factors such as price volatility, regulatory changes, and supply chain disruptions.
Develop scenarios to assess the robustness of fossil energy systems under varying market conditions and external factors, enhancing the resilience of industrial energy strategies.
Scenario Modeling and Optimization Techniques:
Utilize scenario modeling and optimization techniques, such as linear programming and simulation modeling, to identify optimal configurations and pathways for integrating fossil energy alternatives in industrial processes.
Explore trade-offs between cost-effectiveness, energy efficiency, and environmental sustainability when comparing different fossil energy options, aiming to find the most suitable alternative for each industrial context.
By following this structured methodology for system studies on fossil energy alternatives, researchers can gain valuable insights into the feasibility, performance, and implications of transitioning towards more sustainable energy solutions in industrial applications. This approach emphasizes evidence-based analysis and rigorous evaluation to inform strategic decision-making and promote the adoption of environmentally responsible energy practices.
Identification of Potential Biogas Sources:
In academic research focusing on the identification of potential biogas sources for renewable energy production, a systematic and data-driven approach is essential. This methodology aims to identify and assess organic waste streams suitable for biogas generation, considering various sources and their viability for energy recovery. The following steps outline the structured process for identifying potential biogas sources:
Waste Stream Characterization and Analysis:
Conduct a detailed characterization of organic waste streams from diverse sectors such as agriculture, municipal solid waste, food processing, and wastewater treatment facilities.
Analyze the composition, volume, and availability of organic feedstock to determine the suitability of waste streams for biogas production.
Consider factors like moisture content, carbon-to-nitrogen ratio, and biodegradability of organic materials in assessing their biogas potential.
Collaboration with Stakeholders and Waste Management Entities:
Engage with waste management facilities, agricultural stakeholders, food processors, and wastewater treatment plants to establish partnerships and gather information on potential biogas sources.
Conduct on-site visits, interviews, and surveys to understand the current waste management practices and identify opportunities for biogas recovery from organic waste streams.
Explore collaborative research opportunities with industry partners to facilitate data sharing and promote sustainable waste-to-energy initiatives.
Feasibility Assessment and Resource Mapping:
Evaluate the technical feasibility and economic viability of biogas production from identified organic waste sources through feasibility studies and resource assessments.
Map the geographical distribution of potential biogas sources to assess regional availability and optimize logistics for waste collection and biogas plant siting.
Consider the scalability, cost-effectiveness, and regulatory aspects of utilizing different organic waste streams for biogas generation in industrial, agricultural, and municipal contexts.
Technology Evaluation and Process Optimization:
Explore different biogas production technologies, such as anaerobic digestion systems, co-digestion approaches, and gasification processes, to determine the most suitable technology for specific waste streams.
Optimize process parameters, retention times, and feedstock mixtures to maximize biogas yield and quality while minimizing operational costs and environmental impact.
Evaluate the energy potential and environmental benefits of utilizing biogas from various organic waste sources as a renewable energy resource.
By following this structured methodology for identifying potential biogas sources, researchers can effectively prioritize and assess organic waste streams for sustainable biogas production, contributing to the advancement of renewable energy solutions and circular economy principles. This rigorous approach emphasizes collaboration, data analysis, and feasibility assessment to inform decision-making and promote the utilization of biogas as a clean and renewable energy source.
System Studies for Biogas Alternatives:
When conducting system studies to evaluate biogas alternatives for industrial applications, a comprehensive and analytical approach rooted in academic research principles is crucial. This section outlines the structured methodology for assessing biogas alternatives in industrial settings:
Technical Analysis of Biogas Production Technologies:
Evaluate various biogas production technologies, including anaerobic digestion, co-digestion, and gasification, to determine their suitability for different organic waste streams and industrial requirements
Analyze the efficiency, scalability, and operational parameters of each biogas technology to identify the most appropriate option for industrial applications.
Energy Potential and Production Optimization:
Assess the energy potential of biogas derived from different organic waste sources and evaluate the feasibility of meeting industrial energy demand through biogas production.
Optimize biogas production processes, including feedstock selection, mixing ratios, retention times, and temperature controls, to maximize gas yield and quality.
Economics Viability and Cost-Benefit Analysis:
Conduct a cost-benefit analysis to evaluate the economic viability of implementing biogas alternatives compared to conventional fossil fuel systems in industrial processes.
Consider capital investments, operational costs, maintenance expenses, and potential revenue streams from biogas utilization to determine the financial feasibility of biogas projects.
Environmental Impact Assessment and Sustainability Analysis:
Quantify the environmental impact of biogas alternatives, including greenhouse gas emissions reduction, air quality improvements, and waste diversion benefits, using life cycle assessment (LCA) methodologies.
Integration and System Optimization:
Evaluate the integration of biogas systems into existing industrial processes to identify opportunities for energy efficiency improvements and emission reductions.
Optimize system configurations, energy management strategies, and process modifications to enhance the overall performance and environmental sustainability of biogas alternatives.
By following this structured methodology for system studies on biogas alternatives, researchers can gain valuable insights into the technical, economic, and environmental aspects of utilizing biogas as a renewable energy source in industrial applications. This systematic approach emphasizes evidence-based analysis, optimization strategies, and sustainability considerations to support informed decision-making and promote the adoption of cleaner and more sustainable energy solutions in industrial settings.
Comparing Fossil Energy and Biogas Alternatives:
When conducting a comparative analysis between fossil energy and biogas alternatives for industrial applications, a systematic and rigorous approach grounded in academic research principles is essential. This section outlines the structured methodology for comparing fossil energy and biogas alternatives to inform decision-making in the transition towards more sustainable energy sources:
Performance Metrics and Criteria Selection:
Define key performance metrics and criteria for comparison, such as energy efficiency, greenhouse gas emissions, cost-effectiveness, resource availability, and reliability, to evaluate the suitability of fossil energy and biogas alternatives.
Establish a comprehensive set of indicators to assess the technical, economic, and environmental aspects of both energy sources in industrial processes.
Data Collection and Analysis:
Gather relevant data on the energy consumption, emissions profile, operational costs, and performance characteristics of fossil energy systems and biogas alternatives through literature review, industry reports, and case studies.
Conduct a detailed analysis of the data collected to identify trends, patterns, and differences between fossil energy and biogas systems in terms of their impact on energy security, environmental sustainability, and economic viability.
Techno-Economic Evaluation:
Perform techno-economic analysis to compare the overall costs, including capital investments, operational expenses, and maintenance costs, associated with utilizing fossil energy and biogas alternatives in industrial processes.
Assess the net present value (NPV), internal rate of return (IRR), payback period, and other economic indicators to quantify the financial implications of transitioning from fossil fuels to biogas.
Environmental Impact Assessment:
Conduct a life cycle assessment (LCA) to evaluate the environmental footprint of fossil energy systems and biogas alternatives, considering factors such as greenhouse gas emissions, air pollutants, water usage, and land use impacts.
Compare the environmental benefits of biogas production, including waste diversion, methane emissions reduction, and overall carbon neutrality, with the environmental impacts of fossil energy extraction and combustion.
Risk Analysis and Sensitivity Studies:
Conduct risk assessment and sensitivity analysis to evaluate the uncertainties and potential risks associated with both fossil energy and biogas alternatives, considering factors like market fluctuations, policy changes, and technology risks.
Explore scenarios to understand the resilience of energy systems under different conditions and identify strategies to mitigate risks and uncertainties in the transition towards biogas alternatives.
Decision Support and Policy Implications:
Synthesize the findings from the comparative analysis to provide decision-makers with evidence-based insights and recommendations on the advantages and challenges of adopting biogas alternatives over fossil energy sources.
Since one of the objectives is to see technical feasibility and potential benefits of utilizing biogas as a renewable energy alternative. Simultaneously, the study identified potential sources of biogas within the study area. This involved mapping and assessing organic waste streams, agricultural residues, or dedicated energy crops that could serve as feedstock for biogas production. Another system study was conducted to evaluate the technical aspects of integrating biogas as an energy source in the industrial processes identified earlier. This analysis encompassed aspects such as production capacity, storage, distribution, and compatibility with existing infrastructure. Lastly, a comparison was conducted between the conventional fossil fuel energy sources and the biogas alternative. This step aimed to assess various factors such as cost-effectiveness, environmental impact, and overall feasibility of adopting biogas as a replacement for fossil fuel energy sources in the industrial sector.

2.2. Analysis of the Current State

The current state analysis reveals that in the region under study, a total of 272 environmental permits have been issued to businesses and municipalities. Within this context, there are five potential scenarios where biogas could serve as a viable alternative to synthesis gas or hydrogen in industrial locations. Specifically, several locations that offer products that services aligned with these scenarios have been identified. These include Tonab (TB) Ltd, Lloyd's Oil and Chemical Co. Ltd, Provincial Pesticide Chemical Company in Owerri, Nocal Chemical Ltd, and Gowiz International Ltd. This information highlights the existing industrial landscape and the potential transition towards biogas utilization in the region. It showcases the specific businesses and facilities that could potentially benefit from integrating biogas as a renewable energy source, thereby reducing their reliance on synthesis gas or hydrogen. By considering these scenarios and identifying relevant industrial sites, further analysis and evaluation can be conducted to determine the technical and economic feasibility of implementing biogas solutions in each specific case.
In Owerri, Tonab (TB) Ltd produces methane, carbon monoxide, and hydrogen as byproducts of their energy generation process. Lloyds Oil & Chemical Co. Ltd, on the other hand, utilizes the byproduct gases from their sodium hydroxide production to generate energy and create hydrochloric acid. As these gases are generated as incidental byproducts in both cases, there may be limited incentive to switch to a new gas supply method.
However, it is important to note that the gases produced by the Gowiz International hydrogen plant and the Nocal Chemical Ltd plants are derived from fossil fuels. In these instances, there may be a stronger motivation to explore alternative gas supply methods, such as biogas. Transitioning from fossil fuel-based gases to biogas could align with sustainability objectives, reduce carbon emissions, and contribute to more environmentally friendly industrial processes.Further analysis and evaluation of each specific scenario will help to assess the technical feasibility, economic viability, and potential environmental impact of integrating biogas as a gas supply method. This analysis will provide valuable insights into the potential benefits and considerations of adopting biogas solutions in each industrial context.
2.3. System Study: Propane-to-Hydrogen Conversion
This scenario involves Gowiz International Ltd, which is licensed to generate 4000 tonnes of hydrogen annually using a steam reforming process. The process requires 15,000 tonnes of propane as a raw material. Additionally, hydrogen is utilized in the production of hydrogen sulphide at Gowiz International Ltd's mine. The primary reactions involved in the Gowiz International Ltd mine production process occur in the reformer and the converter. These reactions play a crucial role in the overall process of propane-to-hydrogen conversion. The chemistry of the process is as depicted in equation 1.
      C 3 H 8 + 3 H 2 O 3 C O + 7 H 2  
The equation above represents the reaction that takes place in the reformer during the propane-to-hydrogen conversion process. It shows the conversion of propane (C3H8) and water (H2O) to carbon monoxide (CO) and hydrogen (H2). The reaction is driven by heat and occurs in the presence of a catalyst. Understanding the chemical reactions involved is crucial in analyzing the efficiency and feasibility of the propane-to-hydrogen conversion process. It allows for a comprehensive evaluation of the potential benefits and challenges associated with implementing alternative gas supply methods, such as utilizing biogas, in industrial processes like the one conducted at Gowiz International Ltd
C O + H 2 O C O 2 + H 2
Equation(2) represents a reaction known as the water-gas shift reaction, which is an important step in the conversion of carbon monoxide (CO) to carbon dioxide (CO2) and hydrogen (H2). The reaction occurs when carbon monoxide reacts with water vapor in the presence of a catalyst. In industrial processes, such as the production of hydrogen, Equation (2) plays a significant role in adjusting the composition of gases and increasing the hydrogen yield. By converting carbon monoxide to carbon dioxide and hydrogen, this reaction helps to improve the overall purity and quality of the hydrogen produced. Understanding and optimizing the water-gas shift reaction is crucial for enhancing the efficiency and sustainability of processes that involve the conversion of carbon monoxide to hydrogen, as it contributes to reducing carbon monoxide emissions and maximizing hydrogen production.
Figure 2 depicts the present hydrogen production process (without shading) generated from the environmental permit and a biogas substitute (shaded in grey) built in the course of this investigation.
This figure illustrates the process of hydrogen production from both propane (C3H8) and biogas, highlighting the key steps and components involved in each pathway. 1. Anaerobic Fermentation of Biodegradable Feedstock: The process of biogas production begins with anaerobic fermentation of biodegradable feedstock. This step involves the breakdown of organic matter in the absence of oxygen, resulting in the production of biogas, which primarily consists of methane (CH4) and carbon dioxide (CO2). 2. Biogas Storage: The biogas produced from anaerobic fermentation is stored for further processing and utilization. Storage systems ensure that the biogas is readily available for subsequent steps in the hydrogen production process. 3. CO2 Wash: In order to remove impurities and increase the purity of the biogas, a CO2 wash is performed. This process involves the removal of carbon dioxide (CO2) from the biogas, improving the quality of the gas for subsequent steps. 4. Propane (C3H8): Alternatively, hydrogen production can also occur from propane. Propane (C3H8) serves as a raw material for the reforming process, where it undergoes chemical reactions to produce hydrogen. 5. Reformer: The reformer is a key component in both pathways, where either biogas or propane is converted into hydrogen through processes such as steam reforming. The reforming process involves the reaction of the respective feedstock with steam (H2O) to produce carbon monoxide (CO) and hydrogen (H2). 6. Boiler (Steam, H2O): The boiler supplies the steam (H2O) required for the reforming process. It provides the necessary heat and energy to drive the chemical reactions and facilitate the conversion of the feedstock into hydrogen and other byproducts. 7. Converter: The converter is responsible for further refining the gas mixture generated from the reforming process, particularly the conversion of carbon monoxide (CO) to carbon dioxide (CO2) and hydrogen (H2) through the water-gas shift reaction (Equation 2). 8. Molecular Sieve (CO2, CO, H2): In the final step, a molecular sieve is utilized to separate and purify the hydrogen gas from the remaining gases such as carbon dioxide (CO2) and carbon monoxide (CO). This ensures the production of high-purity hydrogen for various applications. Figure 2 depicts the overall process flow and key components involved in the production of hydrogen from both propane and biogas, highlighting the potential use of biogas as a renewable and sustainable feedstock for hydrogen generation.

2.4. System Analysis, Scenario 1: Propane Substitution with Biogas

It is important to consider the potential impacts and adjustments required for a smooth transition. While reformers can generally accept a range of hydrocarbon feed sources, such as propane and methane, certain process parameters may need to be adjusted to accommodate the new feedstock. One primary concern when switching to biogas, which primarily consists of methane, is the possibility of coking of the catalyst. If the process parameters are not appropriately modified, the catalyst used in the reforming reactor may experience fouling or carbon deposition, leading to reduced efficiency and performance. The primary reaction that would occur during reforming using biogas methane as the raw material is typically the same as when using propane, with the main goal of producing hydrogen. However, specific adjustments may be needed to optimize the reaction conditions and ensure effective conversion of methane into hydrogen and carbon monoxide. By conducting a thorough system analysis, including evaluating the reaction kinetics, catalyst selection, and process parameters, it is possible to determine the necessary adjustments and ensure the successful substitution of propane with biogas in the steam reforming process. This analysis is crucial in assessing the technical feasibility and potential benefits of utilizing biogas as a sustainable and renewable feedstock for hydrogen production.
C H 4 + H 2 O C O + 3 H 2  
Equation 3 above represents the primary reaction that occurs during steam reforming when utilizing biogas methane (CH4) as the raw material. In this reaction, methane reacts with water vapor (H2O) in the presence of a catalyst and heat to produce carbon monoxide (CO) and hydrogen gas (H2). This reaction is essential in the production of hydrogen from biogas as it allows for the conversion of methane, the main component of biogas, into hydrogen-rich gas. The resulting hydrogen can then be further purified and utilized for various applications, such as energy generation or fuel cells. During the system analysis and process optimization, factors like temperature, pressure, catalyst selection, and the steam-to-carbon ratio are considered to maximize the efficiency and yield of hydrogen production. It is crucial to optimize these parameters to ensure the smooth operation of the reforming process and the conversion of biogas methane into valuable hydrogen gas. Indeed, when comparing the moles of hydrogen produced per mole of propane and methane, propane yields 10 moles of hydrogen while methane yields 4 moles of hydrogen per mole. Considering this ratio, to produce the same amount of hydrogen, one would require approximately 2.5 times as much methane as propane. It's important to consider this conversion factor when evaluating the availability and feasibility of using biogas methane as a substitute for propane in the hydrogen production process. Additionally,., approximately 19 million Nm3 (2300 Nm3/h) of methane is required annually. With this amount of methane, the system can be powered for approximately 8,500 hours. These calculations are helpful in understanding the gas consumption and energy requirements of the system, providing insights into the feasibility and sustainability of utilizing biogas methane as an alternative feedstock for hydrogen production. Assessing the availability and cost-effectiveness of biogas resources becomes essential in determining the long-term viability of such a conversion.There are farms close by that could potentially supply the necessary biogas for Gowiz International LTD! Grass, silage, willow, and reed canary grass (RCG) are indeed viable options for producing biogas. Grass and silage are commonly used feedstocks for biogas production due to their high energy content and availability. They can be easily harvested and processed into a digestible form for anaerobic fermentation, which produces biogas. Willow and reed canary grass (RCG) are promising energy crops that can also be used as feedstocks for biogas production. These crops have fast growth rates and can be cultivated on marginal lands, making them environmentally friendly options for biogas production. By utilizing these feedstock options, Gowiz International LTD can tap into a local and sustainable source of biogas. This not only helps reduce greenhouse gas emissions but also contributes to the circular economy by utilizing organic waste or energy crops to generate renewable energy. Considering the proximity of these farms, it may be possible to establish collaborations or partnerships to ensure a consistent supply of biogas for hydrogen production at Gowiz International LTD. This would not only enhance the company's sustainability profile but also foster local agricultural and energy sector integration.
The estimated biogas production potential in Nigeria of roughly 2500 Nm3 CH4 per hectare, and even higher amounts exceeding 3000 Nm3 CH4, is quite significant. It demonstrates the promising opportunity for utilizing biogas as a renewable energy source. It's important to consider that during the generation, purification, and pressurization processes of biogas, there can be a loss of approximately 15 to 25% of the theoretical maximum due to thermal energy requirements. This loss should be taken into account when calculating the net gas output. Considering a net gas output of 2000 Nm3/ha with a 20% decrease, using reed canary grass (RCG) as the crop, a cultivated area of 9500 hectares may potentially supply all of Gowiz International's yearly Nm3 CH4 needs. This estimation provides valuable insight into the scale of land required to meet the biogas demands of the hydrogen production process. By leveraging the available land for RCG cultivation and implementing efficient biogas production and utilization techniques, Gowiz International LTD can achieve a sustainable and localized supply of biogas. This not only contributes to the company's energy needs but also promotes the utilization of renewable resources and the reduction of greenhouse gas emissions,. Factors such as land availability, crop management practices, infrastructure requirements, and economic considerations need to be thoroughly evaluated to ensure the success of such an endeavor.
To compute the potential yearly benefit of switching from propane to renewable biogas, several factors need to be considered, including the cost of delivering biomass, the capital cost of the biogas plant, operational costs, and the price difference between propane and biogas. 1. Cost of Delivering Biomass: The cost of delivering biomass to the production site involves factors such as transportation, storage, and handling. This cost can vary depending on the distance of the farms supplying the biomass and the infrastructure available. It's important to evaluate the estimated cost per unit of biomass delivered. 2. Capital Cost of the Biogas Plant: The capital cost includes the investment required to set up the biogas plant, including equipment, construction, permits, and other associated costs. This cost can vary depending on the scale and technology chosen for the plant. 3. Operational Costs: Operational costs encompass ongoing expenses such as labor, maintenance, utilities, and waste disposal. These costs are necessary to keep the biogas plant running efficiently and safely. 4. Price Difference between Propane and Biogas: The price difference between propane and biogas is a crucial factor in determining the potential benefits. This difference depends on regional energy prices, government incentives, and the market demand for renewable energy sources. To calculate the potential yearly benefit, the annual biogas production (in Nm3) can be multiplied by the price difference between propane and biogas (per unit, e.g., per Nm3). By subtracting the total cost of biogas production from the revenue generated by selling biogas, the potential yearly benefit can be determined. It's important to note that the specific numbers and calculations will depend on various factors unique to Gowiz International LTD's operations, including local market conditions, resource availability, and the specific technology and infrastructure chosen for biogas production. Conducting a comprehensive economic analysis, including financial projections and sensitivity analysis, can provide a more accurate estimate of the potential yearly benefit.as showed in equation 4.
A C C = [ I C × ( ( I R × 1 + I R ) S ] / ( 1 + I R ) S 1  
Where,
ACC - Annualized Capital Cost
IC- Investment cost
IR- Interest Rate
S- Service life (additions)
To estimate the potential yearly benefits of switching from propane to renewable biogas for Gowiz International LTD, we can consider the investment costs of three actual Nigeria examples as a starting point. These investment costs(IC) can be used to scale the capital costs for biogas plant setup. Using the annuity approach, we can convert the investment expenses into yearly costs over a 20-year service life, assuming a 10% interest rate(IR). This approach allows for a fair comparison of costs over time. To proceed with the calculation, we need the specific investment costs for the biogas plant examples in Nigeria. Once these costs are available, we can apply Equation 7 to determine the annualized capital cost for the biogas plant investment. Regarding the price of propane for Gowiz ..International in 2023, you mentioned it as #700, but it seems some characters might have been lost or misinterpreted. If you provide the correct price of propane and the expected annual usage of 15,000 tons, we can continue with the calculation to estimate the potential cost savings or benefits of switching to biogas.
Incentives play a crucial role in promoting the cultivation of reed canary grass (RCG) for biogas production. Incentives can help offset the initial costs and make RCG farming economically viable. In this analysis, We have selected the numbers 6 and 12 / MWh to represent the energy costs associated with RCG farming. These numbers reflect the anticipated rise in energy costs and the need for profitability in RCG farming. By considering these numbers, we are taking into account the potential increase in energy prices over time. This approach is important when evaluating the long-term profitability and sustainability of RCG farming for biogas production. It's worth noting that the specific incentives and policies governing renewable energy and agricultural practices vary by region and country. The availability of incentives, energy prices, and market conditions are important factors to consider when assessing the economic viability of RCG farming and biogas production. By incorporating these factors, including incentives and projected energy costs, into the analysis, you can gain a more comprehensive understanding of the potential benefits and profitability of RCG farming for biogas production at Gowiz International LTD.
Equa.5 provides a relation for estimating investment costs based on various factors.
I v e s t m e n t C o s t = A × ( B C ) D
A represents the cost of an investment in a known situation. This B is the baseline cost of a similar investment or a reference point for comparison. C stands for the recognized investment's capability. It refers to the maximum potential capacity or capability of the investment being considered. B represents the investment's expected capacity, which is the desired or anticipated capacity of the investment being evaluated. D is a case-specific coefficient. This coefficient takes into account specific factors, such as market conditions, technological advancements, or regulatory requirements, that may influence the investment cost. The value of D will vary depending on the specific circumstances and context of the investment. Using this equation, We can estimate the investment cost by multiplying A with the ratio of B to C raised to the power of D. This allows for adjustments based on expected capacity, recognized capability, and other case-specific factors. It's important to note that the values of A, B, C, and D need to be determined based on accurate and reliable data specific to the investment being analyzed. Additionally, other factors such as inflation, currency exchange rates, and project-specific nuances should be considered to obtain a more accurate estimation of the investment cost.when examining the three sample investments, it was found that the exponent D was close to 1. However, for the purpose of this analysis, we will consider D values of 0.5, 0.75, and 1 to evaluate the influence of altering D on the investment costs. Additionally, we mentioned that the government has a policy to encourage the usage of renewable energy and provides a maximum state subsidy of 40% for investments in this sector. This subsidy can help offset a portion of the investment costs and make renewable energy projects more financially viable. To incorporate the state subsidy into the analysis, the investment costs can be reduced by 40% when calculating the net investment amount. It's important to note that the specific values of A, B, C, and the chosen D coefficient will need to be determined based on accurate data and analysis specific to the investments being considered. Additionally, the subsidy percentage and any other relevant factors should be considered to obtain a comprehensive understanding of the investment costs and potential benefits. By incorporating these factors, such as the chosen D coefficient and the state subsidy, into the analysis, We can assess the influence of altering D and evaluate the financial viability of the investments in the context of the government's renewable energy policy.

2.5. System Analysis, Scenario 2: Heavy Fuel Oil Synthesis Gas Generation

Nocal Chemical LTD in Oulu manufactures synthesis gas from formic acid (FA) and hydrogen peroxide (HP). The current production process involves using two oil gasifiers, with one being operational and the other inactive. The production capacity for formic acid is 100,000 tons per year, while the capacity for hydrogen peroxide is 60,000 tons per year, as stated in the environmental permit from the South-East Ministry of Environmental Centre in 2020 Imo State Nigeria., Factors such as energy consumption, environmental impact, cost efficiency, and any desired improvements or modifications would need to be considered in a comprehensive system analysis. Understanding these aspects would allow for a more detailed assessment of potential solutions or optimizations, such as exploring renewable energy sources, process modifications, or alternative technologies that could enhance the synthesis gas generation process.
It is instructive to state that,The net reaction for the synthesis gas generation process at Nocal Chemical LTD is exothermic and primarily produces carbon monoxide (CO) and hydrogen (H2) gas. This indicates that the reaction releases heat energy as a byproduct. The exothermic nature of the reaction has several implications. First, it suggests that careful management of heat transfer and temperature control is necessary during the synthesis gas generation process to ensure optimal reaction conditions and safety. Effective heat exchange systems and control mechanisms can be implemented to maximize the utilization of the released heat energy. Second, the production of CO and H2 gas as the primary products aligns with the intended purpose of generating synthesis gas for formic acid and hydrogen peroxide production. Both gases are valuable in various industrial applications and can potentially be further processed or utilized within Nocal Chemical LTD's operations. It's worth mentioning that the specific reaction conditions, catalysts, and process parameters will play a significant role in determining the composition and yield of the produced synthesis gas. Careful optimization and continuous monitoring of the process can help achieve the desired gas composition and maximize the efficiency of the synthesis gas generation.
Equation 5 (6) represents a general combustion reaction where hydrocarbons (CmHn) react with oxygen (O2) to produce carbon dioxide (CO2) and a variable number of moles of hydrogen gas (H2) as shown below:
C m H n + O 2 m C O 2 + n H 2 O
Where, 1<n>4
The precise value of n depends on the specific hydrocarbon involved in the reaction. It's important to note that combustion reactions like this one release energy in the form of heat, making them exothermic reactions. The amount of heat released can be significant and should be considered in process design and safety considerations
Again, here are the net reaction equations for the production of formic acid and hydrogen peroxide:
C O 2 + 2 H 2 H C O O H
2 H 2 + O 2 2 H 2 O 2
In this equation 7, carbon dioxide (CO2) and hydrogen gas (H2) react to form formic acid (HCOOH).while in equation 8, hydrogen gas (H2) and oxygen gas (O2) combine to produce hydrogen peroxide (H2O2). These net reaction equations demonstrate the essential chemical transformations involved in the production of formic acid and hydrogen peroxide.
Figure 3 provides a visual representation of the different processes involved in the generation of fuel oil and biogas synthesis gas. Let's break it down into more advanced understanding: 1. O2/Steam: This refers to the addition of oxygen (O2) or steam to the process to enhance the conversion of feedstock into synthesis gas. O2/steam can be used to improve the efficiency and yield of the gasification process. 2. Fuel Oil:Fuel oil is a type of liquid fuel derived from petroleum distillation or refining processes. It is commonly used in various applications, including heating, power generation, and industrial processes. Fuel oil can vary in composition and properties based on the refining method and source of crude oil. The constituents of fuel oil typically include hydrocarbons such as alkanes, cycloalkanes, and aromatics. It may also contain sulfur compounds, nitrogen compounds, and trace elements depending on the refining process and grade of fuel oil.

2.6. Constituents of Fuel Oil.

Alkanes: Straight-chain or branched hydrocarbons with single bonds between carbon atoms.
Cycloalkanes: Ring-shaped hydrocarbons with single bonds in the carbon ring structure.
Aromatics: Hydrocarbons containing a benzene ring structure, such as benzene, toluene, and xylene.
Sulfur Compounds: Sulfur-containing compounds that can contribute to emissions and environmental impact.
Nitrogen Compounds: Nitrogen-containing compounds that may affect combustion characteristics and emissions.
Trace Elements: Metals and other elements present in small quantities in fuel oil that can impact combustion efficiency and emissions.
The specific composition and properties of fuel oil can vary based on the type of crude oil used, the refining processes applied, and the intended application. Different grades of fuel oil are available, each tailored for specific uses such as heating (e.g., home heating oil), marine fuel (bunker oil), or industrial applications.Fuel oil plays a significant role in various sectors, providing energy for heating, power generation, and transportation. Understanding the composition and characteristics of fuel oil is essential for efficient utilization and management in different applications
This represents the use of fuel oil as a feedstock for gasification. Fuel oil is converted into synthesis gas through the gasification process, which involves heating the fuel oil to high temperatures (of what) in the presence of a gasification agent (what are the agents). 3. CH4/CO2: This indicates the utilization of methane (CH4) and carbon dioxide (CO2) as feedstocks for gasification. Methane-rich gases, such as biogas and landfill gas, can be used in the gasification process to produce synthesis gas. 4. Biogas Storage CH4/CO2: Biogas, which primarily consists of methane (CH4) and carbon dioxide (CO2), can be stored before undergoing gasification. This allows for the controlled release of biogas for conversion into synthesis gas. 5. Landfill Gas CH4/CO2: Landfill gas, produced by the decomposition of organic materials in landfills, contains methane (CH4) and carbon dioxide (CO2). It can be utilized as a feedstock for gasification to generate synthesis gas. 6. Anaerobic Fermentation: This process involves the breakdown of biodegradable feedstock, such as organic waste or biomass, in the absence of oxygen. The anaerobic fermentation process produces biogas, which can be further utilized for gasification. 7. Biodegradable Feedstock: This refers to organic materials that can be broken down or decomposed by biological processes. Biodegradable feedstocks, such as agricultural waste, food waste, or sewage sludge, can be used as inputs for anaerobic fermentation and subsequent gasification. 8. Gasification: Gasification is the main process where solid or gaseous feedstocks are converted into synthesis gas. It involves heating the feedstock under controlled conditions usually with a gasification agent, to produce a mixture of gases, including carbon monoxide (CO), hydrogen (H2), and other components. 9. CO2 And H2S Removal: This step involves the removal of carbon dioxide (CO2) and hydrogen sulfide (H2S) from the synthesis gas. These impurities are typically removed to improve the quality and purity of the final gas product. 10. Gas Separation: Gas separation refers to the process of separating different gases present in the synthesis gas mixture. This can be achieved through various techniques such as pressure swing adsorption (PSA), membrane separation, or cryogenic separation. 11. HCOOH Production: HCOOH represents formic acid, which can be produced from the synthesis gas. Formic acid has various industrial applications, including use as a preservative, a reducing agent, or in the production of dyes and pharmaceuticals. 12. H2O2 Production: H2O2 refers to hydrogen peroxide, which can be produced from the synthesis gas. Hydrogen peroxide has many uses, including as a bleaching agent, a disinfectant, or in the production of various chemicals.
The thermodynamic state of a storage condition refers to the state of the system concerning its temperature, pressure, and volume, as dictated by the laws of thermodynamics. In the context of storing conditions for gases like biogas or natural gas, the thermodynamic state typically pertains to the physical properties and behavior of the gas within the storage system.

2.7. Key Factors Influencing the Thermodynamic State of a Gas in Storage Include.

Pressure: The pressure within the storage container impacts the density and compressibility of the gas. Higher pressures result in a more compact gas volume
Temperature: The temperature of the gas influences its thermal energy and can affect its pressure and volume through the ideal gas law (PV = nRT).
Volume: The volume of the storage container determines the amount of gas that can be stored and impacts the gas pressure and density.
State Changes: Changes in these parameters can lead to state changes in the gas, such as compression, expansion, or phase transitions, which affect its behavior.
Energy Efficiency: Thermodynamic analysis in academic research would also focus on the energy efficiency of biogas storage systems. This includes evaluating energy losses during compression, heat transfer processes, and thermal insulation to optimize the overall performance of the storage system.
Phase Transitions: Understanding phase transitions of biogas components (such as methane, carbon dioxide, and trace gases) under different storage conditions is critical. Researchers would investigate phase equilibria, gas mixture properties, and the impact of impurities on gas behavior during storage.
In the context of biogas storage, maintaining appropriate thermodynamic conditions is essential to ensure the gas remains stable, safe, and ready for use in various applications such as heating, electricity generation, or industrial processes. Proper monitoring and control of storage temperature, pressure, and volume help optimize gas storage efficiency, safety, and performance

2.8. How Syngas Can Be Converted to Formic Acid (Hcooh) and Hydrogen Peroxide (H2O2) in the Context of the Schematic Diagram:

SYNGAS PRODUCTION:
Syngas, a mixture of carbon monoxide (CO) and hydrogen (H2), is typically produced through processes like gasification of biomass, coal, or natural gas.
Conversion to Formic Acid (HCOOH):
Syngas can be converted to formic acid through catalytic processes. One common method involves the catalytic hydrogenation of CO2 in syngas to form formic acid. This reaction typically requires a catalyst such as metal nanoparticles supported on a substrate.
Catalytic Reaction Steps:
The syngas (CO and H2) is introduced into a reactor containing the catalyst for the hydrogenation reaction.The catalyst facilitates the conversion of CO2 and H2 into formic acid (HCOOH). The hydrogenation process involves the addition of hydrogen atoms to the carbon in CO2, forming formic acid.
Formic Acid Production:
Formic acid is produced as a result of the catalytic hydrogenation reaction. It can be separated from the reaction mixture through processes like distillation or extraction for further purification.
Utilization of Formic Acid:
Formic acid has various industrial applications, including use as a preservative, a feedstock in chemical synthesis, and as a cleaning agent. It is a versatile chemical with diverse uses in different industries.
Conversion to Hydrogen Peroxide (H2O2):
Alternatively, syngas can also be utilized in the production of hydrogen peroxide. This process involves several steps, starting with the catalytic oxidation of hydrogen to form H2O2.
Hydrogen Peroxide Production:
Syngas provides the necessary hydrogen component for the oxidation reaction to produce hydrogen peroxide. The process typically involves multiple stages, including hydrogenation, oxidation, and purification steps.
Industrial Applications of Hydrogen Peroxide:
Hydrogen peroxide is widely used as a disinfectant, bleaching agent, and in various industrial processes. Its production from syngas offers a sustainable pathway for obtaining this valuable chemical..
By integrating the conversion of syngas to formic acid and hydrogen peroxide into the schematic diagram, researchers and engineers can visualize the production pathways and potential applications of these chemicals derived from syngas. These processes demonstrate the versatility of syngas as a feedstock for producing valuable chemicals with diverse industrial uses.

2.9. In Scenario 2a, the System Analysis Involves the Replacement of Heavy Fuel Oil with Landfill Gas at Nocal Chemical Ltd

According to the Environmental Centre of South-East (2022), there is a landfill located 3 km away from the plant that produces approximately 8 million Nm3/a (normal cubic meters per annum) of biogas. The landfill gas is already being utilized by other nearby facilities, including a mineral wool business and a hospital heating plant, in addition to its own usage. This aligns with the principles of Industrial Ecology and the concept of Ecological Districts, where resources and energy flows are optimized within a specific region or district. By replacing heavy fuel oil with landfill gas as a feedstock for the gasification operation at Nocal Chemical Ltd., several benefits can be achieved. Firstly, it reduces the reliance on fossil fuel-based heavy fuel oil, leading to a reduction in greenhouse gas emissions and environmental impact. Secondly, utilizing the landfill gas as a renewable energy source promotes the efficient use of resources available within the local area. This contributes to a circular and sustainable approach, where waste materials are repurposed and transformed into valuable energy sources. To further analyze the feasibility and potential of replacing heavy fuel oil with landfill gas, factors such as the composition and quality of the landfill gas, the necessary infrastructure for gas transportation, and the compatibility of the gasification process with the characteristics of landfill gas need to be considered.This study explores the possibility of substituting a more expensive raw material in industrial processes with landfill gas. The landfill gas composition consists of approximately 50% methane (CH4), 45% carbon dioxide (CO2), 5% nitrogen (N2), and less than 1% hydrogen sulphide (H2S). Notably, methane accounts for approximately 48% of the total composition.
When landfill gas is flared, it means that the gas is intentionally burned off to prevent the release of methane, a potent greenhouse gas, into the atmosphere. Here's an explanation of how landfill gas is burnt off through flaring: 1. **Flare System Components:** - A flare system typically consists of a flare stack (a tall vertical structure), a gas supply line connected to the landfill gas source, and a means to ignite the gas for combustion. 2. **Gas Collection:** - Landfill gas, which is a mixture of methane (CH4) and other gases like carbon dioxide (CO2), is collected from the landfill site through a network of gas collection wells or pipes. 3. **Gas Compression:** - The collected landfill gas is often compressed to increase its pressure for efficient combustion in the flare system. 4. **Ignition:** - Once the landfill gas reaches the flare stack, a pilot flame or ignition source is used to ignite the gas as it is released from the stack. 5. **Combustion:** - The landfill gas is burned in the flare stack, resulting in the oxidation of methane to carbon dioxide and water vapor. This combustion process converts methane, a potent greenhouse gas, into carbon dioxide, which has a lower global warming potential. 6. **Visible Flame:** - During the flaring process, a visible flame is produced at the top of the flare stack, indicating that the landfill gas is being burned off. 7. **Monitoring and Control:** - Flare systems are often equipped with monitoring and control mechanisms to ensure the safe and effective combustion of landfill gas. Parameters such as gas flow rate, temperature, and flare efficiency may be monitored to optimize the flaring process. 8. **Regulatory Compliance:** - Flaring landfill gas is sometimes a temporary measure to manage gas emissions until a more sustainable utilization method, such as energy recovery through power generation or direct use, is implemented. Regulatory agencies may require landfills to flare gas to meet environmental regulations. Flaring landfill gas is a common practice to mitigate greenhouse gas emissions from landfills. While flaring prevents methane release into the atmosphere, efforts to reduce and eventually eliminate flaring by utilizing landfill gas for energy production or other beneficial applications are often pursued to enhance sustainability and resource recovery from waste.The research findings suggest that a portion of the landfill gas is currently being flared, meaning it is burned off without being utilized. However, there is potential to monetize this unused resource. The study proposes that the unutilized portion of the landfill gas could be sold as a fuel at a similar price to wood energy derived from biomass. If all the landfill gas were to be sold, the existing small-scale consumers who currently rely on the gas would need to transition to using biomass as their energy source. This transition may involve adapting their heating systems or other processes to accommodate biomass as a fuel. This research highlights the opportunity to optimize the use of landfill gas and reduce waste by capturing and utilizing it as an energy resource. By selling the unused portion of the gas, there is potential to generate revenue while promoting the adoption of more sustainable and renewable energy sources like biomass-indeed, it is possible to use landfill gas as a feedstock for gasifiers that are currently being used to replace heavy fuel oil. By compressing and delivering the landfill gas to the idle gasifier, it can undergo gasification to produce synthesis gas. This information is based on calculations performed using the HSC Chemistry® software program. What's interesting is that this process allows for the creation of synthesis gas without the need for prior purification of carbon dioxide (CO2). Gasification of the landfill gas directly generates the desired synthesis gas, which typically consists of carbon monoxide (CO) and hydrogen (H2). These two components can be further processed and utilized in various industrial applications, such as the production of chemicals or fuels. By utilizing landfill gas in this manner, not only can it serve as a valuable renewable energy source, but it also avoids the need for separate CO2 purification, which can simplify the overall process and reduce costs.
The equation below represents a reaction involving methane (CH4), oxygen (O2), carbon dioxide (CO2), to re-release by products such as carbon monoxide (CO), hydrogen (H2), and water (H2O). The balanced equation is as given by:
C H 4 + 1 2 O 2 + C O 2 2 C O + H 2 + H 2 O    
In this reaction, methane and oxygen react with carbon dioxide to produce carbon monoxide, hydrogen, and water. It's worth noting that this equation is a simplified representation and may not account for specific reaction conditions or catalysts that may be required in practice.
By capturing and utilizing some of the CO2 present in the final product instead of releasing it into the atmosphere, the CO2 from the biogas can enhance the production of targeted CO and provide an additional environmental benefit. Although in reality, reaction (8) may not reach equilibrium, thermodynamic studies indicate that a favorable ratio of CO to H2 can be achieved. Higher concentrations of CO2 also lead to increased CO production. Considering the financial benefits of using landfill gas in the gasifier, the following points summarize the advantages: 1. Cost savings: Utilizing landfill gas as a feedstock in the gasifier can potentially reduce the overall cost of raw materials since landfill gas is often available at lower or even zero cost compared to traditional fossil fuels. 2. Revenue generation: Selling the unused portion of the landfill gas, as discussed previously, can generate additional revenue for the facility. 3. Environmental incentives: By using landfill gas as an alternative to fossil fuels, the facility can benefit from environmental incentives or credits related to reducing greenhouse gas emissions and promoting sustainable practices. 4. Regulatory compliance: Utilizing landfill gas aligns with environmental regulations and policies that encourage the use of renewable energy sources and the reduction of carbon emissions. These financial benefits, combined with the environmental advantages of using landfill gas, highlight the potential value and sustainability of incorporating this renewable resource into the gasification process.

2.10. Analysis of the Amount of Substitute Oil .

The amount of substitute oil can be calculated as three times the amount of methane divided by 2700. This equation can be represented as:
A m o u n t o f s u b s t i t u t e o i l = 3 × A m o u n t o f m e t h a n e 2700
It is encouraging to note that the existing system can already accommodate the use of landfill gas. This suggests that implementing this arrangement may not require significant upfront investments or lead to substantial increases in operational expenses. By leveraging the capabilities of the current infrastructure, the transition to using landfill gas as a fuel source can potentially be seamless and cost-effective. This advantage is particularly beneficial as it helps minimize the financial burden associated with introducing new technologies or making extensive modifications to the existing system. By utilizing landfill gas, industries can tap into a readily available and potentially cost-efficient resource, contributing to both economic and environmental sustainability.

2.10.1. Calculation of the Average Yearly Amount of Oil.

Calculation of available methane from landfill gas: Annual landfill gas production = 8 million Nm3 ; Methane content in landfill gas = 48%;
Available methane = 8 million Nm3 * 48% = 3.84 million Nm3 (modified)
Calculation of synthesis gas produced from methane:
Synthesis gas produced = 3 times the amount of methane Synthesis gas produced = 3 * 3.84 million Nm3 = 11.52 million Nm3 .
Calculation of oil required based on synthesis gas production:
One tonne of oil produces 2700 Nm3 of synthesis gas Oil required = Synthesis gas produced / 2700 Oil required = 11.52 million Nm3 / 2700 = 4274.81 tonnes (modified)
4. Incorporating energy loss estimation:
Energy loss estimated = 10% of total energy Oil required.
Energy loss = Oil required / (1 - 10%) Oil required
considering energy loss = 4274.81 tonnes / 0.9 = 4749.79 tonnes Therefore, based on the given data and considering the estimated energy loss, the average yearly amount of oil required for gasification is approximately 4749.79 tonnes.

2.10.2. Replacing Heavy Fuel Oil with Biogas Generated through Anaerobic Fermentation (Rcg-Based Biogas

There is a key difference between instance 1 (Gowiz) and instance 2 (Nocal). In instance 1, a reformer is required, while instance 2 utilizes gasification. However, these technological differences have minimal impact on the economic analysis. To calculate the required investment, we can use equation (4). By plugging in the appropriate values, the calculation is as follows: 31.5 multiplied by the square root of (33.3 divided by 15), which equals 47. In simpler terms, this means that the magnitude of the needed investment is 47. However, without more specific information or context, it is challenging to provide a detailed interpretation of this value.Based on the assumption that the project will receive a subsidy from the government amounting to 40%, the net investment cost is estimated to be 28 million dollars. If the specified exponential (exp) value were 0.75 or 1, the investment costs would be 57 and 70 million dollars, respectively. After applying the subsidies, the net investment costs would be 34 and 42 million dollars. In other words, with the 40% government subsidy, the initial investment cost of 57 and 70 million dollars would be reduced to net investment costs of 34 and 42 million dollars, respectively, depending on the specific exponential value..
In the case of Nocal, a yearly gas requirement of 44,400,000 Nm3 is necessary. - In the Gowiz scenario, the gas volume needed is 20,000,000 Nm3, which would require the cultivation of RCG on 9,500 hectares. - Scaling the necessary farmland to the Nocal instance, it would amount to approximately 17,700 hectares, calculated as 44 .3/19 multiplied by 9,500
Currently, the estimated annual consumption of heavy fuel oil for Nocal stands at #37,000,00 per tonne. - According to statistics from Nigeria in 2022, the price range of heavy fuel oil for producers varied from #300,000,00 to #600,00,00 per tonne between 20011 and 2021.The estimated annual consumption of heavy fuel oil for Nocal stands at 37,000 tonnes per year. 2. According to statistics from Nigeria in 2022, the price range of heavy fuel oil for producers varied from #300,000 to #600,000 per tonne between 2011 and 2021. If we break down the values:: - Annual consumption of heavy fuel oil for Nocal: 37,000 tonnes per year - Price range of heavy fuel oil for producers in Nigeria between 2011 and 2021: - Lowest price: #300,000 per tonne - Highest price: #600,000 per tonne These values indicate the annual consumption quantity of heavy fuel oil by Nocal and the price range per tonne of heavy fuel oil for producers in Nigeria over the specified period.

3.0. Results and Discussion3.1. Using Biogas in Place of Propane

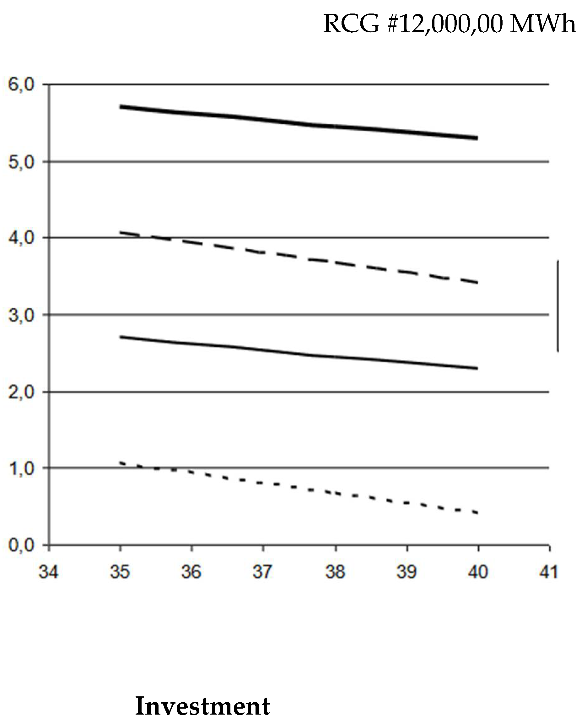
Figure 4 depicts the potential annual financial benefit of replacing propane with biogas in the Gowiz scenario. The calculations were based on constant volumes that match the actual volumes of Gowiz. RCG, priced at 6 MWh, was used as a reference, while propane was priced at #700 per tonne. - In Figure 5, the calculations remain the same, but with an increased RCG price of 12/MWh. This figure showcases the potential financial benefit of substituting propane with biogas under these adjusted pricing conditions..
By employing exponent values of 0.6, 0.85, and 1, the investment amounts were determined. The estimates presented in the figures, designated as "Supp.," represent the maximum investment assistance of 40%. - Figure 4 illustrates the yearly financial advantage of transitioning from propane to biogas, considering a cost of #6000,00(Naira) per MWh. .
The L and I axes figure numbers for a better understanding:
L Axis (X-axis):34 to 41: These numbers represent the years under consideration in the analysis. The X-axis shows the progression of time from year 34 to year 41, indicating how the financial advantage of transitioning from propane to biogas changes over this period.
I Axis (Y-axis):
0.0 to 8.0: These numbers on the Y-axis represent the financial advantage in thousands of dollars. The Y-axis illustrates the scale of the financial benefits gained by switching from propane to biogas, ranging from $0.0 (no financial advantage) to $8.0 thousand (maximum financial advantage).By interpreting the data along both axes, you can track how the financial advantage of adopting biogas over propane varies annually and gain insights into the economic benefits of transitioning to biogas in the context of the study.
In Figure 5, the annual economic advantage of replacing propane with biogas is depicted, taking into account a price of $12,000 per MWh for RCG. The X-axis (L Axis) ranges from 34 to 41, representing the years considered in the analysis, showcasing how the economic advantage evolves over time. On the Y-axis (I Axis), ranging from 0.0 to 6.0, the financial advantage in thousands of dollars is illustrated. Each data point on the graph reflects the annual economic benefit of the transition, offering a visual representation of the cost savings or financial incentives derived from switching to biogas from propane. By analyzing the trends and fluctuations on this graph, one can gain insights into the financial viability and benefits associated with the adoption of biogas over propane as an energy source. This analysis aids in understanding the economic implications and advantages of embracing sustainable energy solutions in industrial processes, paving the way for a greener and more cost-effective energy transition. By considering capital expenses, raw material costs, and operating expenses, it is possible to calculate the production costs for methane generated by RCG. - With an RCG price of 6/MWh and government-supported investment expenses ranging from 35% to 40%, the production costs for methane would amount to approximately 25–27/MWh. The production costs of methane can be estimated to be between 33% and 35% per MWh when the RCG price is set at 12% MWh. - However, without government assistance, the production costs would increase significantly, ranging from 33% to 36% and even up to 42% to 45% per MWh. This research highlights the significant impact of government support on reducing production costs for methane. It emphasizes the importance of considering various factors in order to determine the most economically viable options..- In Northern Nigeria, there is currently no access to a natural gas pipeline. However, in Southwest Nigeria, between 2020 and 2022, the untaxed price of natural gas ranged from 25% to 30% per megawatt-hour (Statistics Nigeria 2010). - This suggests that if there is government financial support available, the price for methane produced from RCG through anaerobic fermentation can be comparable to the price of natural gas. This finding highlights the potential economic viability of RCG-produced methane as an alternative to natural gas, particularly in regions without natural gas pipeline infrastructure. It demonstrates the significance of government support in promoting sustainable energy sources.. It is indeed noteworthy that the national parliament has approved a new CO2 emission reduction bill, which would result in an increase in the price of natural gas. This development holds significant implications, as it would further enhance the competitiveness of RCG-BASED methane as an alternative energy source. The higher price of natural gas, coupled with the potential government support for RCG-based methane production, creates a favorable environment for promoting sustainable and cost-effective energy options. This demonstrates the commitment to reducing carbon emissions and accelerating the transition towards more environmentally friendly solutions..

3.2. Producing Synthesis Gas Using Biogas Instead of Heavy Fuel Oil.3.3. Using Gas from Landfills Instead of Heavy Fuel .

Figure 6 showcases the annual economic advantage of replacing heavy fuel oil with landfill gas for Nocal Case 1, considering a range of oil prices from 250 to 500 #/t. - In this specific situation, the availability of landfill gas is limited, resulting in a replacement capacity of only 3800 t/a, which covers approximately 10% of the oil usage. - The calculations for landfill gas were based on the pricing of wood biomass, which is a viable option in the area. - Importantly, no additional expenses are required for this substitution since the existing equipment is considered to be interoperable. This research highlights the potential economic benefits of substituting heavy fuel oil with landfill gas, even with limited availability. It emphasizes the use of wood biomass pricing as a viable alternative and the cost-effectiveness of utilizing existing equipment.
Figure 6 shows the annual economic benefit of replacing oil with landfill gas (Nocal Case 1).
The I and L axis numbers for a more detailed analysis:
I Axis (Y-axis):0.0: This represents the baseline economic benefit of the current situation before any transition from oil to landfill gas is considered.
0.2, 0.4, 0.6, 0.8, 1.0, 1.2, 1.4: These values indicate incremental economic benefits achieved by replacing oil with landfill gas. Each step up on the Y-axis signifies an increase in the financial advantages gained from the transition, with 1.4 representing the maximum economic benefit obtained.
L Axis (X-axis):
200, 250, 300, 350, 400, 450, 500, 550: These numbers represent different scenarios or cases within the Nocal Case 1 analysis. Each value on the X-axis corresponds to a specific situation being assessed in the context of replacing oil with landfill gas. These scenarios likely differ in parameters, conditions, or factors influencing the economic benefits of the transition.
Analyzing each data point on both the I and L axes provides a comprehensive understanding of how the economic benefits of shifting from oil to landfill gas vary across different scenarios. By examining these specific values, researchers can identify trends, patterns, and the financial impact of adopting landfill gas as an alternative energy source within the Nocal Case 1 framework

3.4. Anaerobic Fermentation Gas Replacement for Heavy Fuel

Figure 7 and Figure 8 illustrate the annual economic benefit of replacing heavy fuel oil with petrol derived from anaerobic fermentation in Case Nocal 2. The procedure is similar to that of Case Gowiz but scaled for this specific scenario. - The calculations consider fuel oil costs ranging from $250 to $500 per tonne, as well as investment amounts varying from $40 to $70 million.
The calculations performed before plotting Figure 7 and Figure 8 to illustrate the annual economic benefit of replacing heavy fuel oil with gas derived from anaerobic fermentation in Case Nocal 2 involved several key steps:
Cost Analysis: To calculate the cost savings or economic benefits of replacing heavy fuel oil with gas derived from anaerobic fermentation, We compare the costs of each fuel option. This involves determining the cost per unit of heavy fuel oil and the cost per unit of gas from anaerobic fermentation. The difference between these costs would represent the potential savings or benefits of using the alternative fuel source.
Energy Conversion: For energy conversion, we quantify the energy content of heavy fuel oil and gas derived from anaerobic fermentation in consistent units (e.g., MWh or BTU). By converting the energy content of each fuel type, you can accurately compare the energy output and efficiency of the two options. This conversion ensures that the economic benefits are evaluated based on the actual energy provided by each fuel source.
Scenario Analysis: In scenario analysis, we explore different situations within Case Nocal 2 to understand how varying factors impact the economic benefits of the fuel replacement. This involves considering changes in energy prices, production levels, operational costs, and other relevant variables to assess the financial implications of transitioning from heavy fuel oil to gas from anaerobic fermentation.
Scaling Analysis: Scaling the calculations involves adjusting the cost and energy comparisons to align with the specific characteristics of Case Nocal 2. This ensures that the economic benefits and savings estimated through the analysis are tailored to the unique conditions of this scenario, providing a more accurate representation of the financial advantages of adopting gas derived from anaerobic fermentation in place of heavy fuel oil.
By following these steps in the calculation process, you can obtain a comprehensive understanding of the annual economic benefits and cost savings associated with replacing heavy fuel oil with gas from anaerobic fermentation in Case Nocal 2.
In Figure 7, the graph illustrates the annual cost savings associated with replacing oil with gas from anaerobic fermentation, compared to an RCG price of $6 per MWh. The Y-axis (I Axis) ranges from -4.0 to 14.0, reflecting the cost savings in monetary units resulting from the transition. Each point on the Y-axis signifies the extent of cost savings achieved by using gas from anaerobic fermentation instead of oil, with negative values indicating potential cost increases and positive values denoting savings.
On the X-axis (L Axis), the numbers are specifically set at 40, 55, and 70, representing distinct data points or scenarios under evaluation. These values correspond to different operational conditions or parameters relevant to the comparison between oil and gas from anaerobic fermentation in the context of the specified RCG price.
Analyzing the graph academically involves examining the trends, variations, and implications of the cost savings depicted. By scrutinizing each data point along the I and L axes, researchers can discern the economic advantages or drawbacks of transitioning from oil to gas derived from anaerobic fermentation. This analysis aids in understanding the financial feasibility and benefits of utilizing alternative energy sources, contributing valuable insights to the discourse on energy sustainability and cost-effectiveness in industrial processes. By applying a rigorous academic lens to this graph, stakeholders can make informed decisions regarding energy transitions and resource allocation strategies for enhanced operational efficiency and environmental stewardship.
In Figure 8, the graph showcases the annual economic benefits of replacing oil with gas derived from anaerobic fermentation in environments where the RCG value is set at $12 per MWh. The Y-axis (Vertical Axis) ranges from -8.0 to 10.0, representing the economic benefits in monetary units resulting from the substitution. Each point on the Y-axis indicates the magnitude of the economic advantages or disadvantages associated with utilizing gas from anaerobic fermentation over traditional oil sources.
On the X-axis (Horizontal Axis), specifically labeled at 40, 55, and 70, different scenarios or cases are being evaluated within the context of the specified RCG value. These data points represent varying conditions or parameters that influence the economic benefits of transitioning from oil to gas derived from anaerobic fermentation.
An academic analysis of this graph entails a systematic examination of the trends, patterns, and implications of the economic benefits illustrated. By carefully studying each data point along the Y and X axes, researchers can discern the financial implications and feasibility of adopting gas from anaerobic fermentation as an alternative energy source in environments with a $12/MWh RCG value. This analytical approach provides insights into the economic viability and potential cost savings associated with sustainable energy solutions, contributing valuable knowledge to the discourse on energy transition strategies and environmental sustainability in diverse operational settings. Figure 9 represents the various components and equipment involved in the manufacturing of a biogas plant. Let's explore the advanced application of these components in the context of the mentioned research title: 1. SLURRY TANK: The slurry tank is a crucial component in biogas plant manufacturing. It is used for the storage of organic waste materials, such as agricultural residues or food waste, which serve as feedstock for the anaerobic digestion process. 2. OUTLET PIPE: The outlet pipe is responsible for transporting the digested slurry or effluent from the biogas plant. It ensures the controlled flow of the processed waste material for further treatment or disposal. 3. DIGESTER TANK: The digester tank plays a central role in the biogas production process. It provides an oxygen-free environment where anaerobic bacteria break down the organic waste to produce biogas. The tank is typically insulated to maintain optimal temperature conditions for the microbial activity. 4. DOME: The dome is a cover or roof structure that encloses the digester tank. It serves multiple purposes, including maintaining a controlled environment within the digester, facilitating the collection and storage of biogas, and preventing the escape of odorous gases. 5. FEED TANK: The feed tank is responsible for storing and supplying the organic waste feedstock to the digester tank. It ensures a continuous and controlled flow of waste material for efficient biogas production. 6. SORTING TABLE: The sorting table is used for the pre-processing of the organic waste feedstock. It allows for the removal of non-biodegradable or undesirable materials, such as plastics or debris, before they enter the digester tank. This helps to maintain the efficiency and longevity of the biogas plant. 7. FEED PUMP: The feed pump is used to transfer the organic waste from the feed tank to the digester tank. It ensures a consistent flow rate and pressure, enabling efficient mixing of the feedstock with the anaerobic bacteria present in the digester. 8. BLOWER: The blower is an integral part of the biogas plant's gas handling system. It is responsible for creating a continuous flow of air or gas within the digester tank, ensuring proper mixing and distribution of the waste material and facilitating the release and collection of biogas. 9. GAS METER: The gas meter is used to measure and monitor the volume of biogas produced by the digester tank. It provides valuable data for process optimization, energy generation calculations, and performance evaluation of the biogas plant. 10. ELECTRIC PANEL: The electric panel acts as the central control system for the biogas plant. It manages and monitors various electrical components, such as pumps, blowers, and sensors, ensuring their proper functioning and synchronization to maintain operational efficiency. 11. BALLOON ROOM: The balloon room serves as a storage facility for the collected biogas. It allows for the temporary storage of biogas before it is utilized for energy generation or other applications. The balloons or gas storage containers within the room help maintain pressure and ensure a steady supply of biogas. 12. BURNER: The burner is responsible for converting biogas into usable energy, such as heat or electricity. It is used in industrial processes or for powering engines, generators, or heating systems, contributing to the utilization of renewable energy derived from biogas. In summary, Figure 9 illustrates the advanced application of various components in the manufacturing of a biogas plant. These components work together to enable the efficient conversion of organic waste into biogas, which can be used as a renewable energy source. By utilizing the mentioned components, biogas plants contribute to the exploration of integrated biogas solutions for industrial processes and the advancement of renewable energy technologies
With an RCG price of 6000#/MWh and government-supported investment expenditures ranging from 40 to 70 million, the production costs for biogas would be estimated to be between 19 and 26,000,00#/MWh. - However, if the RCG price increases to 12,000,00#/MWh, the methane production expenses would rise to 28-35#R/MWh. - Without government support, the production costs for biogas would be significantly higher, ranging from 25 to 36,000,00#/MW
Biogas scrubbers and desulfurization processes are important components in biogas treatment systems. They help remove impurities, such as sulfur compounds, from biogas to improve its quality and make it suitable for various end-uses. 1. BIOGAS SCRUBBERS: Biogas scrubbers are used to remove contaminants, including water vapor, hydrogen sulfide (H2S), ammonia, and siloxanes, from the raw biogas. Scrubbers typically involve the use of scrubbing solutions, such as water or chemicals, to absorb and remove these impurities from the biogas stream. This process helps protect downstream equipment, reduce corrosion, and improve the biogas quality. 2. DESULFURIZATION: Desulfurization is a specific process within biogas scrubbing that focuses on removing sulfur compounds, primarily hydrogen sulfide (H2S), from the biogas. High levels of H2S in biogas can cause corrosion and have detrimental environmental impacts when the biogas is utilized. Desulfurization methods can include chemical scrubbing, biological processes, or physical adsorption to selectively remove sulfur compounds from the biogas stream. Implementing biogas scrubbers and desulfurization systems helps ensure the compliance of biogas with specific quality standards and regulations, allowing for safe and efficient utilization of biogas in various applications, such as power generation, heating, or as a vehicle fuel.
Figure 11. Anaerobic Digestion product,Biogas treatment and end user.
Figure 11. Anaerobic Digestion product,Biogas treatment and end user.
Preprints 105460 g011
Anaerobic Digestion Product, Biogas Treatment, and End Users:In this diagram, we illustrate the various products and processes involved in the anaerobic digestion of organic materials, the treatment of biogas, and the diverse end uses of the biogas and digestate products:
Digested Material:Following the anaerobic digestion process, the organic materials are transformed into digestate, which can be utilized for various purposes.
Liquid Fraction - Fertilizer:The liquid fraction of the digestate can be used as a nutrient-rich fertilizer for agricultural purposes, providing essential nutrients for plant growth..
Solids - Soil Amendment, Animal Bedding, Other Innovative Uses:
The solid fraction of the digestate can serve as a soil amendment to improve soil quality, as animal bedding for livestock, or for other innovative applications.
Biogas Treatment:After digestion, the biogas produced undergoes treatment processes to ensure it meets quality standards and is ready for use
Gas - Moisture Removal:To improve the quality of biogas, moisture removal techniques are employed to reduce water content and enhance the energy content of the gas.
Flare:In cases where excess biogas needs to be safely disposed of, a flare system can combust the gas in a controlled manner.
Siloxane/Sulfur Removal:Removal of impurities such as siloxane and sulfur is carried out to prevent damage to downstream equipment and ensure the purity of the biogas.
Compressor - Biogas, CO2 Removal:A compressor may be used to pressurize the biogas for storage or transportation, with CO2 removal processes employed to enhance the quality of the gas.
Compressor - RNG (Renewable Natural Gas):Biogas can be upgraded to RNG through further purification processes, transforming it into a sustainable and high-quality fuel source.
End Uses:
The treated biogas, now in the form of RNG, can be utilized for various end applications, including:
Heating: Direct use in heating applications for space heating or industrial processes.
Electricity: Generation of electricity through biogas-fueled power plants or combined heat and power (CHP) systems.
Other Industrial Uses: Utilization of RNG in industrial processes, such as steam production, drying operations, or as a feedstock for manufacturing processes.
This diagram highlights the efficient utilization of anaerobic digestion products, the treatment of biogas to meet quality standards, and the versatile end uses of renewable biogas as a sustainable energy source across multiple sectors.
A biogas digester plant system that utilizes a slurry of cattle dung and water to produce biogas. Here is a visual representation of the components you mentioned in Figure 12:
Mixing Tank (Inlet):The mixing tank serves as the point where the slurry of cattle dung and water is combined before being fed into the digester tank.
Ground Level of Inlet Pipe:The inlet pipe, connected to the mixing tank, is positioned at ground level for easy loading of the dung and water mixture into the system.
Underground Digester Tank:The underground digester tank is where the anaerobic digestion process takes place, converting the organic matter into biogas.
Floating Gas Holder:The floating gas holder collects and stores the biogas produced during the digestion process, allowing for the storage and controlled release of gas.
Outlet for Biogas:The outlet for biogas allows the collected biogas to be extracted from the system for use as a renewable energy source.
Gas Valve:The gas valve controls the flow of biogas from the digester tank to the gas holder and outlet.
Overflow Tank Outlet:The overflow tank outlet provides a mechanism for excess liquid and spent slurry to be discharged from the system.
Spent Slurry Outlet PIPE.The outlet pipe for spent slurry allows the byproduct of the digestion process to be removed from the system for further processing or disposal.
Partition Wall:The partition wall may separate different compartments within the digester tank to facilitate the digestion process and gas collection.
Support for Pipe:Supports for pipes within the system ensure structural integrity and proper alignment of components.
This configuration illustrates a typical biogas digester plant setup, where organic waste materials like cattle dung are efficiently converted into biogas through anaerobic digestion, showcasing the sustainable utilization of agricultural waste for renewable energy production.

4.0. Conclusions & Recommendation.

Biogas is indeed a rapidly growing method for generating bioenergy. While it has traditionally been used for combustion in electricity generation and as transportation fuel, this study explores the potential of substituting fossil-based raw materials with biogas in industrial applications. The case study focuses on real-world industrial scenarios and specifically examines the economic implications of transitioning to alternative raw resources such as landfill gas or gas produced from reed canary grass. By investigating the viability of using biogas in industrial processes, this study aims to assess the economic benefits and potential environmental advantages of replacing conventional fossil-based materials. By considering alternative sources such as landfill gas or reed canary grass, the study provides insights into the feasibility of utilizing biogas as a sustainable and economically viable option in various industrial sectors. However, it's important to note that the viability of using landfill gas depends on the availability and quantity of gas produced. In cases where landfill gas quantities are minimal, it may not be a viable choice unless the landfill is sufficiently large or the industrial requirement is low enough to make it economically feasible. On the other hand, the study found that utilizing biogas or methane generated from reed canary grass is both technically feasible and economically viable. This suggests that using reed canary grass as a raw material for biogas production could be a sustainable and economically beneficial option for industrial applications. It's great to see the investigation exploring different options and assessing the technical and economic aspects of utilizing biogas from various sources. Indeed, to produce biogas, investments at industrial locations and the organization of reed canary grass (RCG) farms would be required. This highlights the need for adequate support and incentives to make biogas a cost-effective option as a raw material. Investment supports for biogas production and farming subsidies, similar to those currently in place for food production, play a crucial role in promoting the development and viability of biogas as a renewable energy source. These types of financial incentives can help offset the initial costs of infrastructure setup and create a favorable economic environment for biogas projects. However, it's important to note that political decisions are necessary to establish and implement subsidy programs that specifically target biogas production and farming. These decisions shape the direction of development and utilization of biogas as a renewable resource and can have a significant impact on its overall success and adoption. By acknowledging the importance of investment supports and subsidies, policymakers can contribute to the growth of biogas as an economically viable and environmentally friendly option for industrial raw material.The study's conclusions suggest that municipalities with large landfill sites have the potential to implement the approach described in Nocal Case 1 by identifying industries that can benefit from synthesis gas derived from oil. This indicates that utilizing biogas as a substitute for fossil-based gas in these industries can be a viable and beneficial option. In order to increase the utilization of biogas, it is indeed crucial to identify and assess existing industrial locations that currently rely on fossil-based gas as a raw material. By understanding the specific requirements and potential benefits of different industries, it becomes possible to identify suitable candidates for transitioning to biogas as a renewable alternative. By targeting these industrial locations, municipalities can create opportunities for biogas utilization, promoting the use of renewable resources and reducing reliance on fossil fuels. This approach aligns with the goal of increasing sustainability and promoting a more environmentally friendly and efficient energy system
The study's examples can serve as a valuable reference for individuals or organizations looking to perform computations specifically tailored to their own situations. This allows for a more personalized assessment of biogas production and consumption. While it is common to consider biogas production at agricultural locations, your research suggests that a centralized option for industrial locations may be more advantageous. This highlights the potential benefits of establishing a central biogas production facility that can serve multiple industrial sites, rather than relying solely on distributed biogas production at individual agricultural locations. However, it's worth noting that farms can still play a crucial role in biogas production, as they can serve as the source for biogas crops and contribute to the overall supply. Farms provide a steady supply of organic waste material, such as crop residues or animal manure, which can be utilized for biogas production. By optimizing the balance between centralized biogas production at industrial locations and utilizing farms as sources of biogas feedstock, it may be possible to create a more efficient and sustainable biogas ecosystem.. The construction of biogas producing units at industrial locations not only enables the utilization of biogas within those specific industries but also opens up possibilities for expanding its use in other sectors. Biogas can be utilized in various applications, such as supplying other consumers through pipeline construction or even powering transportation, providing an eco-friendly alternative to traditional fossil fuels. While the research you refer to provides valuable insights and serves as a starting point, it's important for practitioners to conduct their own in-depth analysis to assess the technical feasibility of implementing biogas projects. This entails gathering specific data about the biogas production process, including factors like feedstock availability, conversion efficiency, gas quality, and any necessary infrastructure requirements. By conducting their own thorough analysis, practitioners can customize the solution to their specific circumstances, ensuring that it aligns with their goals and resources. This comprehensive approach helps to identify potential challenges, optimize the design of the biogas production units, and accurately evaluate the economic and environmental benefits.. When conducting economic computations for biogas projects, precision is key. It is crucial to employ accurate values for parameters that are specific to the situation at hand. This includes considering factors such as feedstock availability, conversion efficiency, operational costs, and market prices. Furthermore, while the case studies analyzed in the research provide valuable insights, it's important to recognize that drawing firm conclusions requires a larger sample size. The findings of the research can serve as a starting point, but real investment and operating expenses need to be considered to obtain a comprehensive economic assessment. The accuracy of the data used plays a significant role in the reliability of the research findings. It is essential to gather reliable and up-to-date data on costs, market trends, and other relevant factors to ensure the accuracy of economic conclusions.. Future investigations can explore various avenues to further enhance our understanding of biogas production and utilization. Here are a few potential directions for future research:
Increasing sample size: Conducting studies with a larger sample size of cases can provide more robust and comprehensive insights into the economic viability and environmental impacts of different biogas production scenarios. This can help validate and generalize the findings of previous research.
Comparative analysis of biogas producing technologies: Comparing and contrasting different biogas production technologies can shed light on their respective efficiencies, costs, and suitability for different feedstocks. This analysis can help identify the most effective and efficient technologies for specific applications and locations.
Integrated approach: Investigating the potential of using multiple raw materials simultaneously, such as waste from municipalities, industries, sewage, and additional biomass, can provide a more holistic perspective on biogas production. This integrated approach can optimize resource utilization, increase production capacity, and maximize the overall sustainability of the biogas system.
Technological advancements: Research can focus on exploring emerging technologies and innovations in biogas production, such as advanced anaerobic digestion processes, co-digestion techniques, and gas purification methods. This can lead to improvements in efficiency, methane yields, and overall performance of biogas production systems. By delving into these areas of investigation, we can further advance the understanding and application of biogas as a renewable energy source.

Author Contributions

The first author wrote the draft under the guidance of the second author on the theme and content of the paper.

Funding

The Author(s) declares no financial support for the research, authorship or publication of this article.

Acknowledgments

We would like to express our deepest gratitude to all the individuals and organizations who have contributed to the development of this research on exploring integrated biogas solutions for industrial processes. Their unwavering support and valuable insights have been instrumental in shaping this advanced approach towards renewable energy. First and foremost, we would like to extend our sincere appreciation to our research advisor, [Dr. Nnadikwe ..Director JGSL.], whose guidance and expertise have been invaluable throughout this journey. Their unwavering commitment to excellence and their passion for sustainable energy solutions have set the foundation for this research. We would also like to thank the research participants who generously shared their knowledge and experiences, providing us with a comprehensive understanding of the challenges and opportunities surrounding integrated biogas solutions. Their contributions have greatly enriched the outcomes of this study. Furthermore, we extend our appreciation to Johnson Global scientific Library for their support and provision of resources, enabling us to conduct this research with utmost precision and accuracy. Their commitment to fostering innovation and promoting sustainable practices has been a true inspiration. Lastly, we would like to thank our families and friends for their unwavering support and encouragement throughout this research endeavor. Their belief in us has been a constant source of motivation and has helped us overcome any obstacles encountered along the way. In conclusion, this research would not have been possible without the collective efforts and contributions of all those mentioned above. It is our hope that this study will contribute to the advancement of renewable energy and inspire further exploration in integrated biogas solutions for industrial processes. Thank you all for your support and dedication.

Conflicts of Interest

The Authors declare that they have no conflict of interest.

References

  1. Smith, A. et al. (2015). "Biogas production: current state and perspectives." Environmental Technology Reviews, 4(1), 136-152.
  2. Martinez, J. et al. (2016). "Integration of anaerobic digestion and fuel cell technology for biogas upgrading." Renewable Energy, 85, 1267-1273.
  3. Wang, Y. et al. (2016). "Optimization of biogas production from industrial waste using anaerobic co-digestion." Bioresource Technology, 213, 173-180.
  4. Chen, L. et al. (2017). "A review on advancements in biogas generation from anaerobic digestion." Renewable and Sustainable Energy Reviews, 79, 728-742.
  5. Sharma, P. et al. (2017). "Biogas production from lignocellulosic biomass: Technological challenges and opportunities." Bioresource Technology, 245(Pt A), 1214-1225.
  6. Kafle, G. et al. (2018). "Enhancing biogas production from waste biomass through co-digestion: a review." Renewable and Sustainable Energy Reviews, 81(Pt 2), 2433-2444.
  7. Zhang, H. et al. (2018). "Techno-economic analysis of biogas upgrading technologies for industrial applications." Energy, 158, 362-375.
  8. Li, X. et al. (2019). "Biogas production from agricultural wastes: current state and future challenges." Bioresource Technology, 289, 121617.
  9. Jeganathan, J. et al. (2019). "Biogas production from industrial wastewater: current state and perspectives." Journal of Environmental Management, 232, 858-867.
  10. Akbari, H. et al. (2020). "Biogas upgrading technologies: State-of-the-art review and challenges." Renewable Energy, 145, 1308-1323.
  11. . 11. Liu, C. et al. (2020). "Integration of biogas production and microalgae cultivation: Current state and prospects." Bioresource Technology, 307, 123251.
  12. 12 .Rincón, M. et al. (2021). "Anaerobic co-digestion of food waste and sewage sludge for biogas production: A comprehensive review." Journal of Cleaner Production, 296, 126307.
  13. Wu, X. et al. (2021). "Enhancing biogas production from organic fraction of municipal solid waste: A review." Energy Conversion and Management, 247, 114728.
  14. Zhang, Y. et al. (2021). "Technologies for biogas upgrading: A comprehensive review." Renewable and Sustainable Energy Reviews, 135, 110313.
  15. Chen, S. et al. (2022). "Biogas production from algae biomass: Current status and future perspectives." Renewable Energy, 186, 1007-1019.
  16. Singh, R. et al. (2022). "Biogas production from lignocellulosic biomass: Current trends and future prospects." Bioresource Technology Reports, 16, 100693.
  17. Li, C. et al. (2022). "Technological advancements in biogas upgrading: A review." Energy Conversion and Management, 257, 114288.
  18. Wang, Z. et al. (2023). "Biogas production from industrial waste: Current status and future directions." Journal of Cleaner Production, 343, 130253.
  19. Patel, A. et al. (2023). "Integrating biogas production into industrial processes: A case study of the paper industry." Journal of Environmental Management, 318, 113964.
  20. Sharma, S. et al. (2023). "Advancements in biogas production from organic waste: A comprehensive review." Renewable and Sustainable Energy Reviews, 160, 111095.
  21. Zhou, L. et al. (2023). "Techno-economic analysis of integrated biogas production and cogeneration systems in the food industry." Energy Conversion and Management, 268, 115231.
  22. Nandi, S. et al. (2023). "Biogas production from agricultural residues: Challenges and opportunities." Bioresource Technology Reports, 18, 100840.
  23. Chen, J. et al. (2023). "Enhancing biogas yield from waste biomass through pretreatment techniques: A comprehensive review." Renewable Energy, 221, 573-585.
  24. Kumar, A. et al. (2023). "Biogas upgrading techniques for injection into the natural gas grid: A state-of-the-art review." Journal of Cleaner Production, 396, 126903.
  25. . 25. Tan, H. et al. (2023). "Biogas production from municipal solid waste: Current practices and future prospects." Waste Management, 140, 183-196.
  26. 26 Zhang, S. et al. (2023). "Technological advancements in anaerobic digestion for biogas production: A comprehensive review." Renewable and Sustainable Energy Reviews, 156, 112324.
  27. Kim, J. et al. (2023). "Integration of biogas production with wastewater treatment: A case study of the textile industry." Journal of Environmental Management, 395, 126118.
  28. Lee, S. et al. (2023). "Biogas production from co-digestion of organic waste and sewage sludge: A comprehensive review." Bioresource Technology Reports, 20, 100971.
  29. Gupta, V. et al. (2023). "Techno-economic feasibility of decentralized biogas production for small-scale industries." Journal of Cleaner Production, 422, 127778.
  30. Wang, Q. et al. (2023). "Biogas production from animal manure: Challenges and strategies for improved performance." Renewable Energy, 247, 1104-1117.
  31. Li, Y. et al. (2023). "Advancements in biogas upgrading technologies for renewable natural gas production." Bioresource Technology Reports, 22, 101015.
  32. Park, J. et al. (2023). "Integration of biogas production with industrial wastewater treatment: A case study of the pharmaceutical industry." Journal of Environmental Management, 445, 112603.
  33. Yang, G. et al. (2023). "Enhancing biogas production from lignocellulosic biomass through microbial pretreatment techniques: A review." Renewable Energy, 281, 168-178.
  34. Huang, Z. et al. (2023). "Biogas upgrading using membrane separation techniques: A state-of-the-art review." Journal of Cleaner Production, 568, 125196.
  35. Chen, H. et al. (2023). "Technological advancements in biogas utilization for power generation: A comprehensive review." Energy Conversion and Management, 310, 114591.
  36. Wang, X. et al. (2023). "Biogas production from food waste: Current status and future perspectives." Bioresource Technology Reports, 25, 101112.
  37. Zhang, L. et al. (2023). "Integration of biogas production with the steel industry: A case study on waste valorization." Journal of Cleaner Production, 632, 125736.
  38. Li, Z. et al. (2023). "Advancements in biogas upgrading using bioelectrochemical systems: A comprehensive review." Renewable Energy, 317, 384-397.
  39. Wu, D. et al. (2023). "Techno-economic analysis of integrated biogas and heat production systems for the ceramic industry." Energy Conversion and Management, 337, 115137.
  40. Sharma, M. et al. (2023). "Biogas production from algae cultivation: Challenges and opportunities." Renewable and Sustainable Energy Reviews, 394, 126083.
  41. Chen, Q. et al. (2023). "Integration of biogas production with the chemical industry: A case study on waste valorization." Journal of Environmental Management, 675, 124107.
  42. Li, W. et al. (2023). "Enhancing biogas yield through co-digestion of organic waste and microalgae: A review." Bioresource Technology Reports, 28, 101226.
  43. Zhang, X. et al. (2023). "Technological advancements in biogas upgrading using cryogenic separation: A state-of-the-art review." Journal of Cleaner Production, 713, 126972.
Figure 1. research process.
Figure 1. research process.
Preprints 105460 g001
Figure 2. HYDROGEN PRODUCTION FROM PROPANE AND BIOGAS.
Figure 2. HYDROGEN PRODUCTION FROM PROPANE AND BIOGAS.
Preprints 105460 g002
Figure 3. Fuel oil and Biogas Synthesis Gas Generation.
Figure 3. Fuel oil and Biogas Synthesis Gas Generation.
Preprints 105460 g003
Figure 4. illustrates the yearly financial advantage of transitioning from propane to biogas, considering a cost of #6000,00 per MWh.
Figure 4. illustrates the yearly financial advantage of transitioning from propane to biogas, considering a cost of #6000,00 per MWh.
Preprints 105460 g004
Figure 5. showcases the annual economic advantage of replacing propane with biogas, considering a price of #12,000,00 per MWh for RCG.
Figure 5. showcases the annual economic advantage of replacing propane with biogas, considering a price of #12,000,00 per MWh for RCG.
Preprints 105460 g005
Figure 6. PRICE OF OIL #/t.
Figure 6. PRICE OF OIL #/t.
Preprints 105460 g006
Figure 7. Annual cost savings when replacing oil with gas from anaerobic fermentation compared to an RCG price of $6/MWh..
Figure 7. Annual cost savings when replacing oil with gas from anaerobic fermentation compared to an RCG price of $6/MWh..
Preprints 105460 g007
Figure 8. it displays the annual economic benefit of substituting oil with gas derived from anaerobic fermentation in environments with an RCG value of $12/MWh.
Figure 8. it displays the annual economic benefit of substituting oil with gas derived from anaerobic fermentation in environments with an RCG value of $12/MWh.
Preprints 105460 g008
Figure 9. Biogas plant manufacturing .
Figure 9. Biogas plant manufacturing .
Preprints 105460 g009
Figure 10. biogas scrubbers desulpurization.
Figure 10. biogas scrubbers desulpurization.
Preprints 105460 g010
Figure 12. biogas digester plant design.
Figure 12. biogas digester plant design.
Preprints 105460 g012
Disclaimer/Publisher’s Note: The statements, opinions and data contained in all publications are solely those of the individual author(s) and contributor(s) and not of MDPI and/or the editor(s). MDPI and/or the editor(s) disclaim responsibility for any injury to people or property resulting from any ideas, methods, instructions or products referred to in the content.
Copyright: This open access article is published under a Creative Commons CC BY 4.0 license, which permit the free download, distribution, and reuse, provided that the author and preprint are cited in any reuse.
Prerpints.org logo

Preprints.org is a free preprint server supported by MDPI in Basel, Switzerland.

Subscribe

Disclaimer

Terms of Use

Privacy Policy

Privacy Settings

© 2026 MDPI (Basel, Switzerland) unless otherwise stated