Submitted:
23 January 2024
Posted:
24 January 2024
You are already at the latest version
Abstract
Keywords:
1. Introduction
2. Material and Equipment
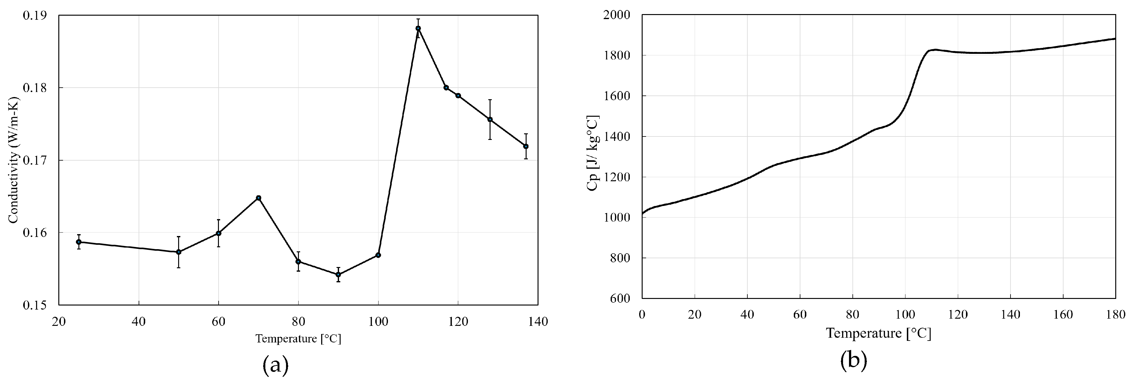
2.1. Material
2.2. Thermoforming Equipment
3. Experimental setup
3.1. DIC setup and thermal camera synchronization
3.2. Wall thickness calculation via DIC and validation technique
4. Results and Discussion
4.1. Temperature nonuniformity
4.2. Forming of the heated sheet
5. Conclusions
Author Contributions
Funding
Data Availability Statement
Conflicts of Interest
References
- A. Ayadi, M. F. Lacrampe, and P. Krawczak, “A comprehensive study of bubble inflation in vacuum-assisted thermoforming based on whole-field strain measurements,” AIP Conf. Proc., vol. 1960, no. December, 2018. [CrossRef]
- A. Ayadi, M. F. Lacrampe, and P. Krawczak, “Bubble assisted vacuum thermoforming: considerations to extend the use of in-situ stereo-DIC measurements to stretching of sagged thermoplastic sheets,” Int. J. Mater. Form., vol. 13, no. 1, pp. 59–76, 2020. [CrossRef]
- F. M. Duarte and J. A. Covas, “IR sheet heating in roll fed thermoforming: Part 1 - Solving direct and inverse heating problems,” Plast. Rubber Compos., vol. 31, no. 7, pp. 307–317, 2002. [CrossRef]
- Y. Li and J. A. Nemes, “Membrane Inflation of Polymeric Materials: Experiments and Finite Element Simulations,” Polym. Eng. Sci., vol. 41, no. 8, pp. 1399–1412, 2001. [CrossRef]
- J. L. Throne, “The effect of sheet sag on radiant energy transmission in thermoforming,” Thermoforming Q., vol. 25, no. 4, pp. 19–24, 2006.
- A. M. Jordan, L. Meyer, K. Kim, B. Lee, F. S. Bates, and C. W. Macosko, “Improved Polypropylene Thermoformability through Polyethylene Layering,” ACS Appl. Mater. Interfaces, 2021. [CrossRef]
- A. J. Giacomin, A. W. Mix, and O. Mahmood, “Sag in thermoforming,” Polym. Eng. Sci., vol. 50, no. 10, pp. 2060–2068, 2010. [CrossRef]
- E. Verron, G. Marckmann, and B. Peseux, “Dynamic inflation of non-linear elastic and viscoelastic rubber-like membranes,” Int. J. Numer. Methods Eng., vol. 50, no. 5, pp. 1233–1251, 2001.
- J. K. Lee, T. L. Virkler, and C. E. Scott, “Effects of rheological properties and processing parameters on ABS thermoforming,” Polym. Eng. Sci., vol. 41, no. 2 SPEC. ISS, pp. 240–261, 2001. [CrossRef]
- M. K. Warby, J. R. Whiteman, W. G. Jiang, P. Warwick, and T. Wright, “Finite element simulation of thermoforming processes for polymer sheets,” Math. Comput. Simul., vol. 61, no. 3–6, pp. 209–218, 2003. [CrossRef]
- R. A. Morales, M. V. Candal, O. O. Santana, A. Gordillo, and R. Salazar, “Effect of the thermoforming process variables on the sheet friction coefficient,” Mater. Des., vol. 53, pp. 1097–1103, 2014. [CrossRef]
- M. Takaffoli, G. Hangalur, R. Bakker, and N. Chandrashekar, “Thermo-visco-hyperelastic behavior of polycarbonate in forming of a complex geometry,” J. Manuf. Process., vol. 57, no. June, pp. 105–113, 2020. [CrossRef]
- W. de O. Leite, J. C. C. Rubio, F. M. Cabrera, A. Carrasco, and I. Hanafi, “Vacuum thermoforming process: An approach to modeling and optimization using artificial neural networks,” Polymers (Basel)., vol. 10, no. 2, 2018. [CrossRef]
- J. Throne, 16 Thermoforming. 2017.
- B. Van Mieghem, F. Desplentere, A. Van Bael, and J. Ivens, “Improvements in thermoforming simulation by use of 3D digital image correlation,” Express Polym. Lett., vol. 9, no. 2, pp. 119–128, 2015. [CrossRef]
- M. A. Sutton, J. H. Yan, V. Tiwari, H. W. Schreier, and J. J. Orteu, “The effect of out-of-plane motion on 2D and 3D digital image correlation measurements,” Opt. Lasers Eng., vol. 46, no. 10, pp. 746–757, 2008. [CrossRef]
- X. Shao, X. Dai, Z. Chen, Y. Dai, S. Dong, and X. He, “Calibration of stereo-digital image correlation for deformation measurement of large engineering components,” Meas. Sci. Technol., vol. 27, no. 12, 2016. [CrossRef]
- F. Hild and S. Roux, “Digital image correlation: From displacement measurement to identification of elastic properties - A review,” Strain, vol. 42, no. 2, pp. 69–80, 2006. [CrossRef]
- X. D. Ke, H. W. Schreier, M. A. Sutton, and Y. Q. Wang, “Error Assessment in Stereo-based Deformation Measurements,” Exp. Mech., vol. 51, no. 4, pp. 423–441, 2011. [CrossRef]
- M. Jerabek, Z. Major, and R. W. Lang, “Strain determination of polymeric materials using digital image correlation,” Polym. Test., vol. 29, no. 3, pp. 407–416, 2010. [CrossRef]
- A. Seefried and D. Drummer, “The effects of radiation cross-linking and process parameters on the behavior of polyamide 12 in vacuum thermoforming,” Polym. Eng. Sci., vol. 52, no. 4, pp. 884–892, 2012. [CrossRef]
- B. Van Mieghem, J. Ivens, and A. Van Bael, “Consistency of Strain Fields and Thickness Distributions in Thermoforming Experiments Through Stereo DIC,” Exp. Tech., vol. 40, no. 5, pp. 1409–1420, 2016. [CrossRef]
- B. Van Mieghem, P. Lava, D. Debruyne, A. Van Bael, and J. Ivens, “Digital image correlation for on-line wall thickness measurements in thick gauge thermoforming,” Key Eng. Mater., vol. 554–557, pp. 1583–1591, 2013. [CrossRef]
- A. Ayadi, M. F. Lacrampe, and P. Krawczak, “Assessment of principal strain uncertainties in stereo-DIC due to uncontrollable change of initial boundary conditions during vacuum-assisted thermoforming,” AIP Conf. Proc., vol. 2113, no. July, 2019. [CrossRef]
- R. Varedi, B. Buffel, and F. Desplentere, “Characterization of the biaxial response of a thermoplastic ABS Sheet using DIC-instrumented bubble inflation technique,” Mater. Res. Proc., vol. 28, pp. 1887–1896, 2023. [CrossRef]
- “epsotech Holding GmbH, Technical datasheet for epsotech AB AN2 V0,” 2019. [Online]. Available: https://epsotech.com/files/uploads/epsotech/2020/AB_AN2_V0.pdf.
- M. Mokarizadehhaghighishirazi, B. Buffel, S. V. Lomov, and F. Desplentere, “Homogenisation of the Local Thermal Conductivity in Injection-Moulded Short Fibre Reinforced Composites,” Polymers (Basel)., vol. 14, no. 16, 2022. [CrossRef]
- “MatchID.” http://www.matchid.eu/ (accessed May 22, 2019).
- P. Lava, S. Cooreman, S. Coppieters, M. De Strycker, and D. Debruyne, “Assessment of measuring errors in DIC using deformation fields generated by plastic FEA,” Opt. Lasers Eng., vol. 47, no. 7–8, pp. 747–753, 2009. [CrossRef]
- E. Fauster, P. Schalk, and P. L. O’Leary, “Evaluation and calibration methods for the application of a video-extensometer to tensile testing of polymer materials,” Mach. Vis. Appl. Ind. Insp. XIII, vol. 5679, no. 0, p. 187, 2005. [CrossRef]
- Z. Wang, H. Kieu, H. Nguyen, and M. Le, “Digital image correlation in experimental mechanics and image registration in computer vision: Similarities, differences and complements,” Opt. Lasers Eng., vol. 65, pp. 18–27, 2015. [CrossRef]
- P. Lava, E. M. C. Jones, L. Wittevrongel, and F. Pierron, “Validation of finite-element models using full-field experimental data: Levelling finite-element analysis data through a digital image correlation engine,” Strain, vol. 56, no. 4, pp. 1–17, 2020. [CrossRef]
- E. Parsons, M. C. Boyce, and D. M. Parks, “An experimental investigation of the large-strain tensile behavior of neat and rubber-toughened polycarbonate,” Polymer (Guildf)., vol. 45, no. 8, pp. 2665–2684, 2004. [CrossRef]
- S. Yaofeng and J. H. L. Pang, “Study of optimal subset size in digital image correlation of speckle pattern images,” Opt. Lasers Eng., vol. 45, no. 9, pp. 967–974, 2007. [CrossRef]
- H. W. Schreier and M. A. Sutton, “Systematic errors in digital image correlation due to undermatched subset shape functions,” Exp. Mech., vol. 42, no. 3, pp. 303–310, 2002. [CrossRef]
- F. M. Schmidt, Y. Le Maoult, and S. Monteix, “Modelling of infrared heating of thermoplastic sheet used in thermoforming process,” J. Mater. Process. Technol., vol. 143–144, no. 1, pp. 225–231, 2003. [CrossRef]
- B. Buffel, B. Van Mieghem, A. Van Bael, and F. Desplentere, “Optimization of the IR-heating phase in thermoforming of thermoplastic sheets: Characterization and modelling,” AIP Conf. Proc., vol. 1914, no. December 2017, 2017. 20 December. [CrossRef]
- J. S. Bergström and M. C. Boyce, “Constitutive modeling of the large strain time-dependent behavior of elastomers,” J. Mech. Phys. Solids, vol. 46, no. 5, pp. 931–954, 1998. [CrossRef]













| Intrinsic parameters | Camera 0 | Camera 1 | Camera 2(Thermal Camera) | Extrinsic parameters | DIC white cameras | Camera 2(Thermal Camera) |
|---|---|---|---|---|---|---|
| 3745 | 3749 | 1470 | 𝜃 (°) | 0.32 | 1.48 | |
| 3743 | 3748 | 1748 | 𝜙 (°) | -15.09 | 13.15 | |
| 1221 | 1280 | 289 | Ψ (°) | 0.24 | 0.66 | |
| 1050 | 1062 | 235 | [mm] | 180.70 | -164.82 | |
| 0 | -0.95 | 0.82 | [mm] | -1.17 | 4.05 | |
| -0.07 | -0.08 | 0.01 | [mm] | 44.00 | 56.39 |
| Parameters | Method |
|---|---|
| Area of Interest [Pixels] | Polygon shape; 956 x 1560 |
| Correlation algorithm | Zero-normalized sum of squared differences |
| Interpolation | Local Bicubic Spline Interpolation |
| Stereo transformation | Affine |
| Correlation progress | Spatial + update reference |
| Subset size [Pixels] | 35x35 |
| Step size [Pixels] | 5 |
| Strain window [Pixels] | 15 |
| Strain Shape Function | Polynomial bilinear |
| Strain tensor | Biot undeformed (Engineering) |
Disclaimer/Publisher’s Note: The statements, opinions and data contained in all publications are solely those of the individual author(s) and contributor(s) and not of MDPI and/or the editor(s). MDPI and/or the editor(s) disclaim responsibility for any injury to people or property resulting from any ideas, methods, instructions or products referred to in the content. |
© 2024 by the authors. Licensee MDPI, Basel, Switzerland. This article is an open access article distributed under the terms and conditions of the Creative Commons Attribution (CC BY) license (http://creativecommons.org/licenses/by/4.0/).
