Submitted:
11 January 2024
Posted:
12 January 2024
You are already at the latest version
Abstract
Keywords:
1. Introduccian
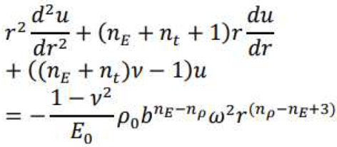
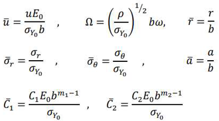
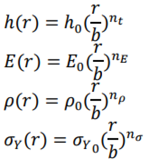
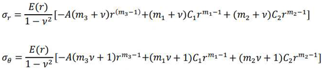
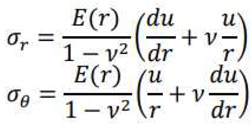
2. Equations of Motion
3. Analyze yielding state
3.1. State 1: Initiating yielding from the inner radius
3.2. State 2: Initiating yielding from the outer radius
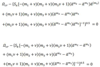
3.3. State 3: Simultaneous yielding initiation from both inner and outer radii.
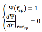
3.4. State 4: Yielding initiation from a radius between the inner and outer radii.
4. Conclusions
References
- Tajdari, F.; Roncoli, C. Online set-point estimation for feedback-based traffic control applications. IEEE Transactions on Intelligent Transportation Systems 2023. [Google Scholar] [CrossRef]
- Tajdari, F.; Ramezanian, H.; Paydarfar, S.; Lashgari, A.; Maghrebi, S. Flow metering and lane-changing optimal control with ramp-metering saturation. 2022 CPSSI 4th International Symposium on Real-Time and Embedded Systems and Technologies (RTEST). IEEE, 2022, pp. 1–6. [CrossRef]
- Rad, N.F.; Yousefi-Koma, A.; Tajdari, F.; Ayati, M. Design of a novel three degrees of freedom ankle prosthesis inspired by human anatomy. 2016 4th International Conference on Robotics and Mechatronics (ICROM). IEEE, 2016, pp. 428–432. [CrossRef]
- Rad, N.F.; Ayati, M.; Basaeri, H.; Yousefi-Koma, A.; Tajdari, F.; Jokar, M. Hysteresis modeling for a shape memory alloy actuator using adaptive neuro-fuzzy inference system. 2015 3Rd RSI international conference on robotics and mechatronics (ICROM). IEEE, 2015, pp. 320–324. [CrossRef]
- Tajdari, F.; Huysmans, T.; Song, Y. Non-rigid registration via intelligent adaptive feedback control. IEEE transactions on visualization and computer graphics 2023. [Google Scholar] [CrossRef]
- Tajdari, M.; Tajdari, F.; Pawar, A.; Zhang, J.; Liu, W.K. 2d to 3d volumetric reconstruction of human spine for diagnosis and prognosis of spinal deformities. Conference: 16th US national congress on computational mechanics, 2021.
- Tajdari, M.; Pawar, A.; Li, H.; Tajdari, F.; Maqsood, A.; Cleary, E.; Saha, S.; Zhang, Y.J.; Sarwark, J.F.; Liu, W.K. Image-based modelling for adolescent idiopathic scoliosis: mechanistic machine learning analysis and prediction. Computer methods in applied mechanics and engineering 2021, 374, 113590. [Google Scholar] [CrossRef]
- Tajdari, F.; Roncoli, C.; Papageorgiou, M. Feedback-based ramp metering and lane-changing control with connected and automated vehicles. IEEE Transactions on Intelligent Transportation Systems 2020, 23, 939–951. [Google Scholar] [CrossRef]
- Tajdari, F.; Roncoli, C.; Bekiaris-Liberis, N.; Papageorgiou, M. Integrated ramp metering and lane-changing feedback control at motorway bottlenecks. 2019 18th European Control Conference (ECC). IEEE, 2019, pp. 3179–3184. [CrossRef]
- Ghaffari, A.; Khodayari, A.; Kamali, A.; Tajdari, F.; Hosseinkhani, N. New fuzzy solution for determining anticipation and evaluation behavior during car-following maneuvers. Proceedings of the Institution of Mechanical Engineers, Part D: Journal of automobile engineering 2018, 232, 936–945. [Google Scholar] [CrossRef]
- Khodayari, A.; Ghaffari, A.; Kamali, A.; Tajdari, F. A new model of car following behavior based on lane change effects using anticipation and evaluation idea. Iranian Journal of Mechanical Engineering Transactions of the ISME 2015, 16, 26–38. [Google Scholar]
- Tajdari, F.; Roncoli, C. Adaptive traffic control at motorway bottlenecks with time-varying fundamental diagram. IFAC-PapersOnLine 2021, 54, 271–277. [Google Scholar] [CrossRef]
- Tajdari, F.; Toulkani, N.E.; Zhilakzadeh, N. Intelligent optimal feed-back torque control of a 6dof surgical rotary robot. 2020 11th Power Electronics, Drive Systems, and Technologies Conference (PEDSTC). IEEE, 2020, pp. 1–6. [CrossRef]
- Tajdari, F.; Kabganian, M.; Rad, N.F.; Khodabakhshi, E. Robust control of a 3-dof parallel cable robot using an adaptive neuro-fuzzy inference system. 2017 Artificial Intelligence and Robotics (IRANOPEN). IEEE, 2017, pp. 97–101. [CrossRef]
- Tajdari, F.; Kabganian, M.; Khodabakhshi, E.; Golgouneh, A. Design, implementation and control of a two-link fully-actuated robot capable of online identification of unknown dynamical parameters using adaptive sliding mode controller. 2017 Artificial Intelligence and Robotics (IRANOPEN). IEEE, 2017, pp. 91–96. [CrossRef]
- Saleh, B.; Jiang, J.; Fathi, R.; Al-hababi, T.; Xu, Q.; Wang, L.; Song, D.; Ma, A. 30 Years of functionally graded materials: An overview of manufacturing methods, Applications and Future Challenges. Composites Part B: Engineering 2020, 201, 108376. [Google Scholar] [CrossRef]
- Tajdari, F.; Toulkani, N.E.; Zhilakzadeh, N. Semi-real evaluation, and adaptive control of a 6dof surgical robot. 2020 11th Power Electronics, Drive Systems, and Technologies Conference (PEDSTC). IEEE, 2020, pp. 1–6. [CrossRef]
- Tajdari, F.; Tajdari, M.; Rezaei, A. Discrete time delay feedback control of stewart platform with intelligent optimizer weight tuner. 2021 IEEE International Conference on Robotics and Automation (ICRA). IEEE, 2021, pp. 12701–12707. [CrossRef]
- Tajdari, F.; Ebrahimi Toulkani, N. Implementation and intelligent gain tuning feedback–based optimal torque control of a rotary parallel robot. Journal of Vibration and Control 2022, 28, 2678–2695. [Google Scholar] [CrossRef]
- Tajdari, F. Adaptive time-delay estimation and control of optimized stewart robot. Journal of Vibration and Control 2023, 29, 5511–5531. [Google Scholar] [CrossRef]
- Tajdari, F.a. Advancing non-rigid 3D/4D human mesh registration for ultra-personalization 2023.
- Tajdari, F.; Khodabakhshi, E.; Kabganian, M.; Golgouneh, A. Switching controller design to swing-up a two-link underactuated robot. 2017 IEEE 4th International Conference on Knowledge-Based Engineering and Innovation (KBEI). IEEE, 2017, pp. 0595–0599. [CrossRef]
- Tajdari, F.; Huysmans, T.; Yang, Y.; Song, Y. Feature preserving non-rigid iterative weighted closest point and semi-curvature registration. IEEE Transactions on Image Processing 2022, 31, 1841–1856. [Google Scholar] [CrossRef] [PubMed]
- Tajdari, F.; Ghaffari, A.; Khodayari, A.; Kamali, A.; Zhilakzadeh, N.; Ebrahimi, N. Fuzzy control of anticipation and evaluation behaviour in real traffic flow. 2019 7th International Conference on Robotics and Mechatronics (ICRoM). IEEE, 2019, pp. 248–253. [CrossRef]
- Yang, Y.; Yuan, T.; Huysmans, T.; Elkhuizen, W.S.; Tajdari, F.; Song, Y. Posture-invariant three dimensional human hand statistical shape model. Journal of Computing and Information Science in Engineering 2021, 21, 031006. [Google Scholar] [CrossRef]
- Tajdari, F.; Kwa, F.; Versteegh, C.; Huysmans, T.; Song, Y. Dynamic 3d mesh reconstruction based on nonrigid iterative closest-farthest points registration. International design engineering technical conferences and computers and information in engineering conference. American Society of Mechanical Engineers, 2022, Vol. 86212, p. V002T02A051. [CrossRef]
- Tajdari, F.; Golgouneh, A.; Ghaffari, A.; Khodayari, A.; Kamali, A.; Hosseinkhani, N. Simultaneous intelligent anticipation and control of follower vehicle observing exiting lane changer. IEEE Transactions on Vehicular Technology 2021, 70, 8567–8577. [Google Scholar] [CrossRef]
- Tajdari, F.; Eijck, C.; Kwa, F.; Versteegh, C.; Huysmans, T.; Song, Y. Optimal position of cameras design in a 4d foot scanner. International design engineering technical conferences and computers and information in engineering conference. American Society of Mechanical Engineers, 2022, Vol. 86212, p. V002T02A044. [CrossRef]
- Tajdari, M.; Tajdari, F.; Shirzadian, P.; Pawar, A.; Wardak, M.; Saha, S.; Park, C.; Huysmans, T.; Song, Y.; Zhang, Y.J.; others. Next-generation prognosis framework for pediatric spinal deformities using bio-informed deep learning networks. Engineering with Computers 2022, 38, 4061–4084. [Google Scholar] [CrossRef]
- Tajdari, F.; Huysmans, T.; Yao, X.; Xu, J.; Song, Y. 4D Feet: Registering Walking Foot Shapes Using Attention Enhanced Dynamic-Synchronized Graph Convolutional LSTM Network. arXiv preprint arXiv:2307.12377, arXiv:2307.12377 2023.
- Tajdari, F. ; others. Optimal and adaptive controller design for motorway traffic with connected and automated vehicles 2023. [Google Scholar] [CrossRef]
- Tarvirdizadeh, B.; Golgouneh, A.; Khodabakhshi, E.; Tajdari, F. An assessment of a similarity between the right and left hand photoplethysmography signals, using time and frequency features of heart-rate-variability signal. 2017 IEEE 4th international conference on knowledge-based engineering and innovation (KBEI). IEEE, 2017, pp. 0588–0594. [CrossRef]
- Tarvirdizadeh, B.; Golgouneh, A.; Tajdari, F.; Khodabakhshi, E. A novel online method for identifying motion artifact and photoplethysmography signal reconstruction using artificial neural networks and adaptive neuro-fuzzy inference system. Neural Computing and Applications 2020, 32, 3549–3566. [Google Scholar] [CrossRef]
- Golgouneh, A.; Bamshad, A.; Tarvirdizadeh, B.; Tajdari, F. Design of a new, light and portable mechanism for knee CPM machine with a user-friendly interface. 2016 Artificial Intelligence and Robotics (IRANOPEN). IEEE, 2016, pp. 103–108. [CrossRef]
- Minnoye, A.L.; Tajdari, F.; Doubrovski, E.L.; Wu, J.; Kwa, F.; Elkhuizen, W.S.; Huysmans, T.; Song, Y. Personalized product design through digital fabrication. International Design Engineering Technical Conferences and Computers and Information in Engineering Conference. American Society of Mechanical Engineers, 2022, Vol. 86212, p. V002T02A054. [CrossRef]
- Timoshenko, S.; Goodier, J. Theory of Elasticity, modulus, 1969.
- Gamer, U.; Lance, R.H. Stress distribution in a rotating elastic-plastic tube. Acta Mechanica 1983, 50, 1–8. [Google Scholar] [CrossRef]
- Gamer, U.a. The elastic-plastic stress-distribution in the rotating annulus and in the annulus under external-pressure. ZAMM 1984, 64, T126–T128. [Google Scholar]
- Gamer, U. Elastic-plastic deformation of the rotating solid disk. Archive of Applied Mechanics 1984, 54, 345–354. [Google Scholar] [CrossRef]
- Gamer, U.a. Stress distribution in the rotating elastic-plastic disk. Zamm 1985, 65, 136–137. [Google Scholar]
- Güven, U. Elastic-plastic stresses in a rotating annular disk of variable thickness and variable density. International Journal of Mechanical Sciences 1992, 34, 133–138. [Google Scholar] [CrossRef]
- Guven, U. On the stresses in an elastic-plastic annular disk of variable thickness under external pressure. International Journal of Solids and Structures 1993, 30, 651–658. [Google Scholar] [CrossRef]
- Eraslan, A.N.; Argeso, H. Limit angular velocities of variable thickness rotating disks. International Journal of Solids and Structures 2002, 39, 3109–3130. [Google Scholar] [CrossRef]
- Akis, T.; Eraslan, A.N. The stress response and onset of yield of rotating FGM hollow shafts. Acta Mechanica 2006, 187, 169–187. [Google Scholar] [CrossRef]
- Argeso, H.; Eraslan, A.N. A computational study on functionally graded rotating solid shafts. International Journal for Computational Methods in Engineering Science and Mechanics 2007, 8, 391–399. [Google Scholar] [CrossRef]
- Birman, V.; Byrd, L.W. Modeling and analysis of functionally graded materials and structures 2007. [CrossRef]
- Akis, T.; Eraslan, A.N. Exact solution of rotating FGM shaft problem in the elastoplastic state of stress. Archive of Applied Mechanics 2007, 77, 745–765. [Google Scholar] [CrossRef]
- Bayat, M.; Saleem, M.; Sahari, B.; Hamouda, A.; Mahdi, E. Analysis of functionally graded rotating disks with variable thickness. Mechanics Research Communications 2008, 35, 283–309. [Google Scholar] [CrossRef]
- Madan, R.; Saha, K.; Bhowmick, S. Limit speeds and stresses in power law functionally graded rotating disks. Advances in materials Research 2020, 9, 115–131. [Google Scholar] [CrossRef]
- Dai, T.; Dai, H.L. Investigation of mechanical behavior for a rotating FGM circular disk with a variable angular speed. Journal of Mechanical Science and Technology 2015, 29, 3779–3787. [Google Scholar] [CrossRef]
- Ma, G.; Hao, H.; Miyamoto, Y. Limit angular velocity of rotating disc with unified yield criterion. International journal of mechanical sciences 2001, 43, 1137–1153. [Google Scholar] [CrossRef]
- Peng, X.L.; Li, X.F. Effects of gradient on stress distribution in rotating functionally graded solid disks. Journal of Mechanical Science and Technology 2012, 26, 1483–1492. [Google Scholar] [CrossRef]
- Lomakin, E.; Alexandrov, S.; Jeng, Y.R. Stress and strain fields in rotating elastic/plastic annular discs. Archive of Applied Mechanics 2016, 86, 235–244. [Google Scholar] [CrossRef]

Disclaimer/Publisher’s Note: The statements, opinions and data contained in all publications are solely those of the individual author(s) and contributor(s) and not of MDPI and/or the editor(s). MDPI and/or the editor(s) disclaim responsibility for any injury to people or property resulting from any ideas, methods, instructions or products referred to in the content. |
© 2024 by the authors. Licensee MDPI, Basel, Switzerland. This article is an open access article distributed under the terms and conditions of the Creative Commons Attribution (CC BY) license (http://creativecommons.org/licenses/by/4.0/).



