Submitted:
11 January 2024
Posted:
11 January 2024
You are already at the latest version
Abstract
Keywords:
MSC: Primary 42A38; Secondary 42A16; 44A10
1. Introduction
- -
- uses the L-C transform in the complex domain, thereby significantly simplifying the calculation of the original function, and
- -
- uses the Fourier transform for transient states of the whole systems especially in electrotechnical applications.
- -
- introduction,
- -
-
Fourier analysis in the time and complex domain including method of complexconjugated amplitude, and transient analysis under non- harmonic excitation,
- -
-
transient analysis of PES system using Fourier integral transform including twoapplication examples from EE field,
- -
- verification of chosen system states using the Matlab/Simulink environment,
- -
- discussion and conclusion.
2. Fourier Analysis in the Time and Complex Domain

- # Analytical solutions of transient using Fourier series using the Laplace-(Carson) transform and complex time vectors inside one period
- Then, since the operator impedance , and using Equation the complex time vector of the operator current gives
- Respecting Equation (10b) and (10c) we can graphically image in the complex Gauss plane in Figure 5.
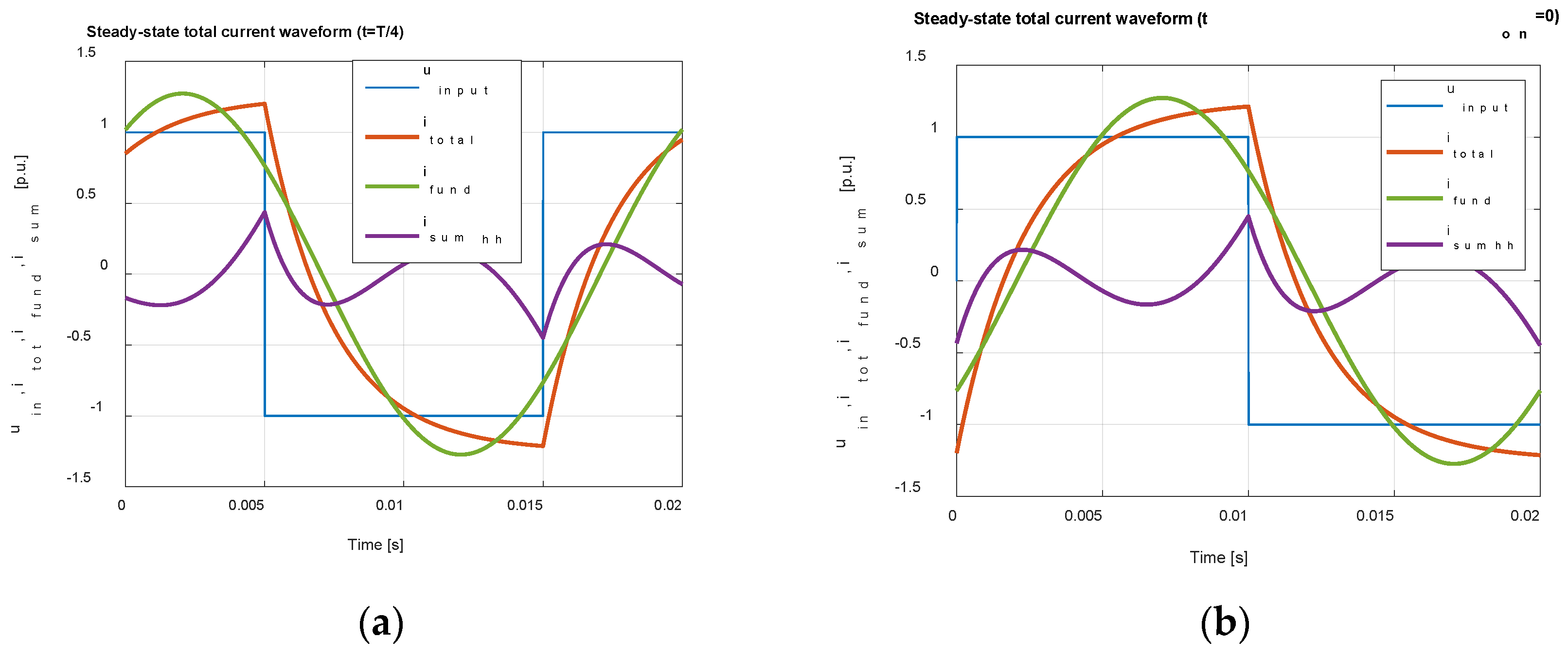
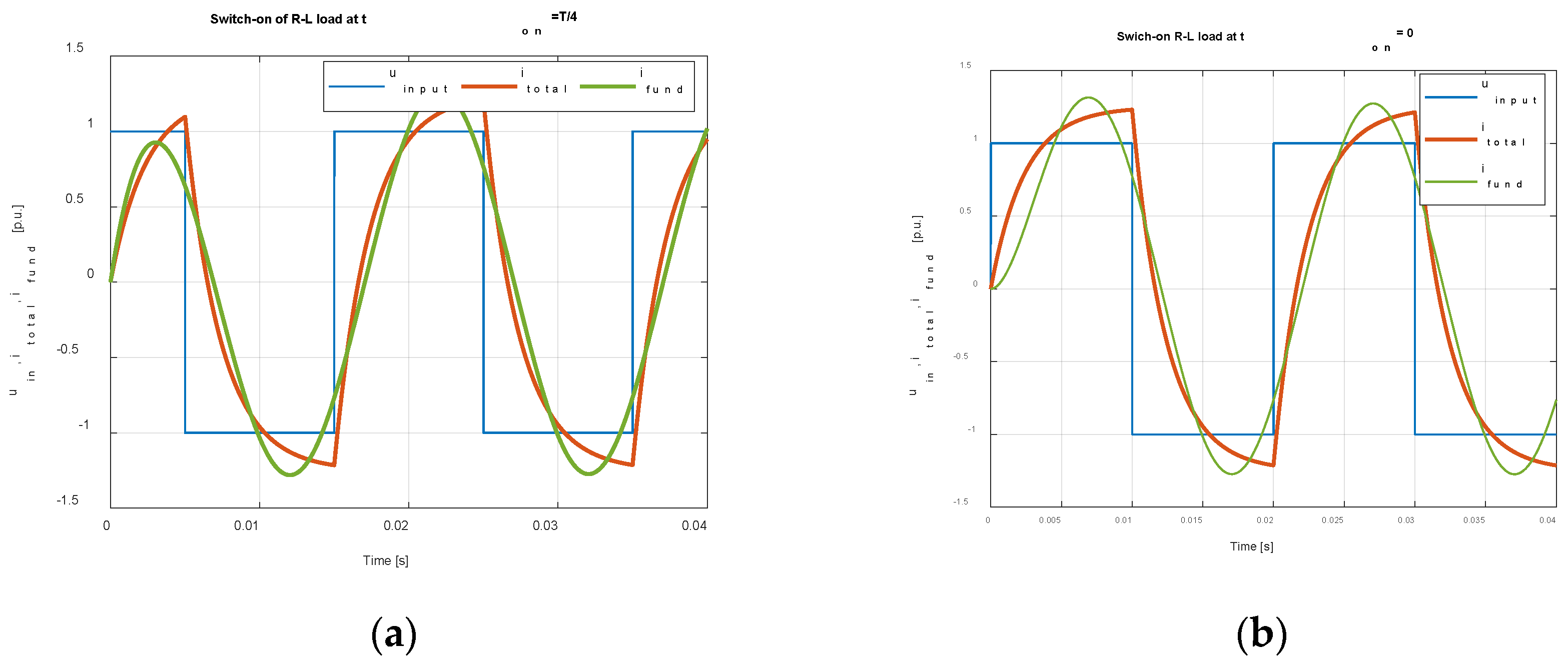
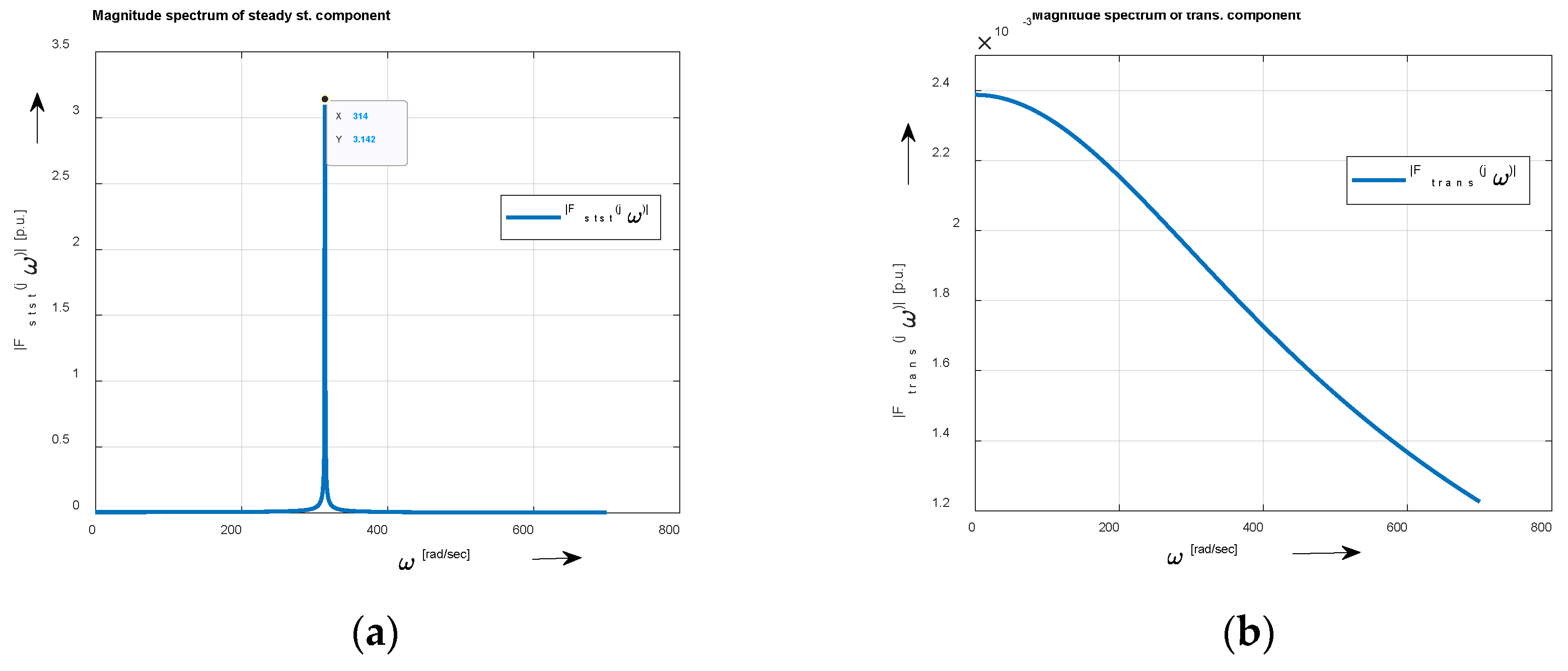
3. Transient Analysis of PES System using Fourier Integral Transform
- # Case of passive resistive-inductive load (without e.m.f.)
4. Discussion and Conclusions
- -
- knowledge of the content of harmonics in the investigated course,
- -
- resulting easy calculation of the harmonic distortion of the signal [10],
- -
- the investigated function does not necessarily have to be analytical in the scope of the period, and can be specified e.g., as a look-up table.
- -
- -
Author Contributions
Funding
Data Availability Statement
Acknowledgments
Conflicts of Interest
Appendix A
Appendix B
References
- Shenkman, A.L. Transient analysis using the Fourier transform. Transient Analysis of Electric Power Circuits Handbook. Springer, Dordrecht, The Netherlands (NL), 2005, Chap. 4, pp. 213-263, ISBN-10 0-387-28799-X (e-book). [CrossRef]
- Bai, H.; Mi C. Transients of Modern Power Electronics. 2011, John Wiley & Sons, Ltd., Print ISBN: 978-0-470-68664-5, Chichester, UK.
- Beerends, R.J.; Morsche, H.G.; Berg, J.C.; Vrie, E.M. Fourier and Laplace transforms, Publisher: Cambridge University Press, 2003, Part 4, pp. 267-330.
- Kreyszig, E. Kreyszig; Kreyszig, H;.Norminton, E.J. Advanced Engineering Mathematics. John Wiley & Sons, Inc., New York, USA, 2011, Chap. 6, pp. 203-255, ISBN 978-0-470-45836-5.
- Takeuchi, T.J. Theory of SCR circuit and application to motor control (in Russian). Energy (Энергия) Publisher, Moscow–Leningrad (St. Petersburg) division, 1973, 248 pgs., IDC- international decimal classification: 621.313.13-53. 621.314.632.
- Mohan, N.; Undeland, T.M.; Robbins, W.P. Power Electronics: Converters, Applications, and Design. Third Edition. John Wiley & Sons, Inc., New York, USA, 2003.
- Aramovich, J.G.; Lunts, G.L.; Elsgolts, L.C. Complex variable functions, Operator calculus, Theory of stability (in Slovak). ALFA Publisher, Bratislava, SK, 1973, Chap. 7, pp. 157-228.
- Oršanský, P. Complex variable theory (in Slovak). Textbook UNIZA, Žilina, SK, 2020, ISBN 978-80-554-1764-6.
- Smith, S.W.: The Complex Fourier Transform. Chapter 31 in: The Scientist and Engineer’s Guide to Digital Signal Processing. California Technical Publishing, 1997-2007, pp. 567-580, ISBN 0-9660176-3-3.
- Blagouchine, I.V.; Moreau, E. Analytic method for the computation of the total harmonic distortion by the Cauchy method of residues. IEEE Trans. on Comm., 2011, Vol. 59, pp. 2478–2491.
- Choi, M.-J.; Park, I.-H. Transient analysis of magneto-dynamic systems using Fourier transform and frequency sensitivity. IEEE Transactions on Magnetics, vol. 35, no. 3, pp. 1155-1158, May 1999. [CrossRef]


















| Um [V] |
[Hz] |
R [Ω] |
L [mH] |
Z [Ω] |
[ms] |
[deg] |
|---|---|---|---|---|---|---|
| 325 | 50 | 18.4 | 43.93 | 23 | 2.3875 | 36.76 |
| Um [V] |
[Hz] |
R [Ω] |
L [mH] |
Z [Ω] |
[ms] |
[deg] |
|---|---|---|---|---|---|---|
| 325 | 50 | 18.4 | 43.93 | 23 | 10 | 90 |
Disclaimer/Publisher’s Note: The statements, opinions and data contained in all publications are solely those of the individual author(s) and contributor(s) and not of MDPI and/or the editor(s). MDPI and/or the editor(s) disclaim responsibility for any injury to people or property resulting from any ideas, methods, instructions or products referred to in the content. |
© 2024 by the authors. Licensee MDPI, Basel, Switzerland. This article is an open access article distributed under the terms and conditions of the Creative Commons Attribution (CC BY) license (http://creativecommons.org/licenses/by/4.0/).