Submitted:
09 January 2024
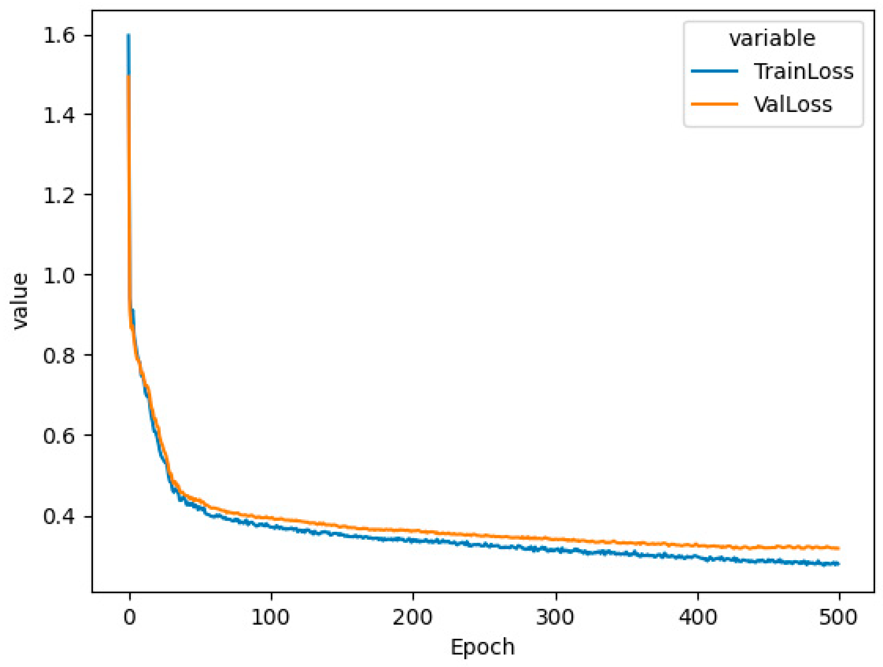
Posted:
10 January 2024
You are already at the latest version
Abstract
Keywords:
1. Introduction
2. Materials and Methods
2.1. Light spectrum replicator (LSR)
2.2. Simulating light curves in LSR
2.3. Solar radiation, temperature, and depth measurements
2.4. LSR setup
2.5. Sampling and incubations
2.6. Primary productivity measurements
2.7. Traditional in situ primary productivity method (IZOR)
2.8. Computational Requirements
3. Results
3.1. LSR temperature setup
3.2. Comparison of LSR (simulated in situ) and in situ incubated productivity measurements
4. Discussion
Supplementary Materials
Author Contributions
Funding
Institutional Review Board Statement
Data Availability Statement
Acknowledgments
Conflicts of Interest
References
- Burd, A.B.; Hansell, D.A.; Steinberg, D.K.; Anderson, T.R.; Arístegui, J.; Baltar, F.; Beaupré, S.R.; Buesseler, K.O.; DeHaris, F.; Jackson, G.A.; Kadko, D.C.; Koppelmann, R.; Lampitt, R.S.; Nagata, T.; Reinthaler, T.; Robinson, C.; Robison, B.H.; Tamburini, C.; Tanaka, T. Assessing the apparent imbalance between geochemical and biochemical indicators of meso- and bathypelagic biological activity: What the @$♯! is wrong with present calculations of carbon budgets? Deep Sea Res Part 2 Top Stud Oceanogr. 2010, 57, 1557–1571. [Google Scholar] [CrossRef]
- Lewin, J.C.; Lewin, R.A. Auxotrophy and heterotrophy in marine littoral diatoms. Can J Microbiol. 1960, 6, 127–134. [Google Scholar] [CrossRef] [PubMed]
- White, A.W. Growth of 2 facultatively heterotrophic marine centric diatoms. J Phycol. 1974, 10, 292–300. [Google Scholar] [CrossRef]
- Zubkov, M.V.; Tarran, G.A.; Fuchs, B.M. Depth related amino acid uptake by Prochlorococcus cyanobacteria in the Southern Atlantic tropical gyre. FEMS Microbiol Ecol. 2004, 50, 153–161. [Google Scholar] [CrossRef] [PubMed]
- Puškarić, S.; Mortain-Bertrand, A. Physiology of diatom Skeletonema costatum (Grev.) Cleve photosynthetic extracellular release: evidence for a novel coupling between marine bacteria and phytoplankton. J Plankton Res. 2003, 25, 1227–1235. [Google Scholar] [CrossRef]
- Robinson, C. Heterotrophic bacterial respiration. In Microbial Ecology of the Oceans Kirchman, D.I., Ed.; John Wiley & Sons: Hoboken, New Jersey, USA, 2008. [Google Scholar]
- Nagata, T.; Tamburini, C.; Arístegui, J.; Baltar, F.; Bochdansky, A.B.; Fonda-Umani S, et al. Emerging concepts on microbial processes in the bathipelagic ocean - ecology, biogeochemistry and genomics. Deep-Sea Res II. 2010;57: 1519–1536.
- Moran, M.A.; Kujawinski, E.B.; Stubbins, A.; Fatland, R.; Aluwihare, L.I.; Buchan, A.; Crump, B.C.; Dorresteein, P.C.; Dyhrman, S.T.; Hess, N.J.; Howe, B.; Longnecker, K.; Medeiros, P.M.; Niggeemann, J.; Obernosterer, I.; Repeta, D.J.; Waldbauer, J.R. Deciphering ocean carbon in a changing world. Proc Natl Acad Sci USA. 2016, 113, 3143–3151. [Google Scholar] [CrossRef]
- Steeman-Nielsen, E. The use of radioactive carbon (C14) for measuring organic production in the sea. ICES J Mar Sci. 1952, 18, 117–140. [Google Scholar] [CrossRef]
- Slawyk, G.; Collos, Y.; Auclair, J-C. The use of the 13 C and 15 N isotopes for the simultaneous measurement of carbon and nitrogen turnover rates in marine phytoplankton. Limnol Oceanogr. 1977, 22, 925–932. [Google Scholar] [CrossRef]
- Bender, M.; Grande, K.; Johnson, K.; Marra, J.; Williams, P.J.L.; Sieburth, J.; Pilson, M.; Langdon, C.; Hitchcock, J.; Orchardo, J.; Hunt, C.; Donaghay, P. A comparison of four methods for determining planktonic community production. Limnol Oceanogr. 1987, 32, 1085–1098. [Google Scholar] [CrossRef]
- Kolber, Z.; Falkowski, P.G. Use of active fluorescence to estimate phytoplankton photosynthesis in situ. Limnol Oceanogr. 1993, 38, 1646–1665. [Google Scholar] [CrossRef]
- Marra, J. Comment on “Measuring primary production rates in the ocean: Enigmatic results between incubation and non-incubation methods at Station ALOHA” by P. D. Quay et al. Global Biogeochem Cycles. 2012, 26. [Google Scholar] [CrossRef]
- Puskaric, S.; Smodlaka, N. Production of particulate and dissolved organic carbon by marine phytoplankton in the light and in the dark. Period Biol. 1997, 99, 193–203. [Google Scholar]
- González, N.; Gattuso, J.P.; Middelburg, J.J. Oxygen production and carbon fixation in oligotrophic coastal bays and the relationship with gross and net primary production. Aquat Microb Ecol. 2008, 52, 119–130. [Google Scholar] [CrossRef]
- Bender, M.; Grande, K.; Johnson, K.; Marra, J.; Williams, P.J.L.; Sieburth, J.; Pilson, M.; Langdon, C.; Hitchcock, J.; Orchardo, J.; Hunt, C.; Donaghay, P. A comparison of four methods for determining planktonic community production. Limnol Oceanogr. 1987, 32, 1085–1098. [Google Scholar] [CrossRef]
- Lohrenz, S.E.; Dagg, M.J.; Wbitledge, T.E. Enhanced primary production at the plume/ oceanic interface of the Mississippi River. Cont Shelf Res. 1990, 10, 639–664. [Google Scholar] [CrossRef]
- Lohrenz, S.E.; Dagg, M.J.; Wbitledge, T.E. Enhanced primary production at the plume/ oceanic interface of the Mississippi River. Cont Shelf Res. 1990, 10, 639–664. [Google Scholar] [CrossRef]
- Paszke, A.; Gross, S.; Massa, F.; Lerer, A.; Bradbury, J.; Chanan, G.; Killeen, T.; Lin, Z.; Gimelshein, N.; Antiga, L.; Desmaison, A.; Kopf, A.; Yang, E.; DeVito, Z.; Raison, M.; Tejani, A.; Chilamkurthy, S.; Steiner, B.; Fang, L.; Bai, J.; Chintala, S. PyTorch: An imperative style, high-performance deep learning library. In Advances in Neural Information Processing Systems 32 (NeurIPS 2019); Wallach, H.; Larochelle, H.; Beygelzimer, A., d’Alché-Buc, F., Eds.; NeurIPS Proceedings, 2019. [CrossRef]
- Steeman-Nielsen, E. The use of radioactive carbon (C14) for measuring organic production in the sea. ICES J Mar Sci. 1952, 18, 117–140. [Google Scholar] [CrossRef]








Disclaimer/Publisher’s Note: The statements, opinions and data contained in all publications are solely those of the individual author(s) and contributor(s) and not of MDPI and/or the editor(s). MDPI and/or the editor(s) disclaim responsibility for any injury to people or property resulting from any ideas, methods, instructions or products referred to in the content. |
© 2024 by the authors. Licensee MDPI, Basel, Switzerland. This article is an open access article distributed under the terms and conditions of the Creative Commons Attribution (CC BY) license (http://creativecommons.org/licenses/by/4.0/).