Submitted:
08 January 2024
Posted:
09 January 2024
You are already at the latest version
Abstract
Keywords:
1. Introduction
2. Results and Discussion
2.1. Optimization of Energy Levels
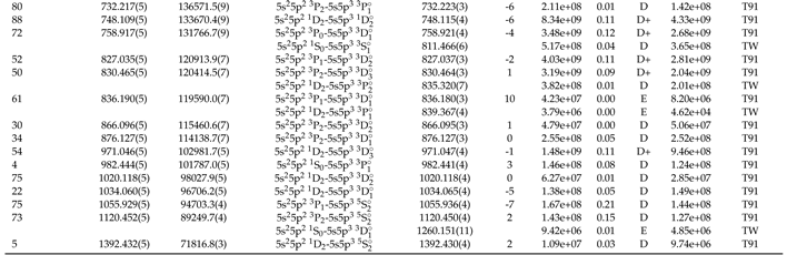
2.2. Theoretical Calculations and Transition Probabilities
2.3. Radiative parameters for transitions within the ground configuration
3. Conclusion
Author Contributions
Funding
Conflicts of Interest
Appendix A. Supplementary Data
![]() ![]() ![]() ![]() ![]() ![]() ![]() ![]() ![]() ![]() ![]()
|
References
- Vennes, S.; Chayer, P.; Dupuis, J. Discovery of Photospheric Germanium in Hot DA White Dwarfs. Astrophys. J. Lett. 2005, 622, L121–L124. [CrossRef]
- Chayer, P.; Vennes, S.; Dupuis, J.; Kruk, J.W. Abundance of Elements beyond the Iron Group in Cool DO White Dwarfs. Astrophys. J. Lett. 2005, 630, L169–L172. [CrossRef]
- Rauch, T.; Quinet, P.; Knörzer, M.; Hoyer, D.; Werner, K.; Kruk, J.W.; Demleitner, M. Stellar laboratories . IX. New Se V, Sr IV-VII, Te VI, and I VI oscillator strengths and the Se, Sr, Te, and I abundances in the hot white dwarfs G191-B2B and RE 0503-289. Astron. Astrophys. 2017, 606, A105. arXiv:astro-ph.SR/1706.09215]. [CrossRef]
- Werner, K.; Rauch, T.; Knörzer, M.; Kruk, J.W. First detection of bromine and antimony in hot stars. Astron. Astrophys. 2018, 614, A96. arXiv:astro-ph.SR/1803.04809]. [CrossRef]
- Löbling, L.; Maney, M.A.; Rauch, T.; Quinet, P.; Gamrath, S.; Kruk, J.W.; Werner, K. First discovery of trans-iron elements in a DAO-type white dwarf (BD-22∘3467). Mon. Not. R. Astron. Soc. 2020, 492, 528–548. arXiv:astro-ph.SR/1911.09573. [CrossRef]
- Chayer, P.; Mendoza, C.; Meléndez, M.; Deprince, J.; Dupuis, J. Detection of cesium in the atmosphere of the hot He-rich white dwarf HD 149499B. Mon. Not. R. Astron. Soc. 2023, 518, 368–381. arXiv:astro-ph.SR/2211.01868. [CrossRef]
- Tauheed, A.; Joshi, Y.N.; Kaufman, V. Analysis of the four lowest configurations of five times ionized cesium (Cs VI). Phys. Scr. 1991, 44, 579–581. [CrossRef]
- Sansonetti, J.E. Wavelengths, Transition Probabilities, and Energy Levels for the Spectra of Cesium (Cs I-Cs LV). J. Phys. Chem. Ref. Data 2009, 38, 761–923. [CrossRef]
- Kramida, A.; Ralchenko, Y.; Reader, J.; NIST ASD Team. NIST Atomic Spectra Database, Version 5.8 (Gaithersburg, MD: National Institute of Standards and Technology). Available online: http://physics.nist.gov/asd, 2020.
- Kramida, A.E. The program LOPT for least-squares optimization of energy levels. Comput. Phys. Commun. 2011, 182, 419–434. [CrossRef]
- Cowan, R.D. The Theory of Atomic Structure and Spectra (Berkeley, CA: University of California Press) and Cowan code package for Windows by A. Kramida, 1981. [CrossRef]
- Eissner, W.; Jones, M.; Nussbaumer, H. Techniques for the calculation of atomic structures and radiative data including relativistic corrections. Comput. Phys. Commun. 1974, 8, 270–306. [CrossRef]
- Badnell, N.R. A Breit-Pauli distorted wave implementation for AUTOSTRUCTURE. Comput. Phys. Commun. 2011, 182, 1528–1535. [CrossRef]
- Kramida, A. Critical evaluation of data on atomic energy levels, wavelengths, and transition probabilities. Fusion. Sci. Technol. 2013, 63, 313–323. [CrossRef]
- Kramida, A. Critically evaluated energy levels and spectral lines of singly ionized indium (In II). J. Res. Natl. Inst. Tech. 2013, 118, 52. [CrossRef]
- Kramida, A. A critical compilation of energy levels, spectral lines, and transition probabilities of singly ionized silver, Ag II. J. Res. Natl. Inst. Tech. 2013, 118, 168. [CrossRef]
- Haris, K.; Kramida, A.; Tauheed, A. Extended and revised analysis of singly ionized tin: Sn II. Phys. Scr. 2014, 89, 115403. arXiv:physics.atom-ph/1312.0261]. [CrossRef]
- Curtis, L.J. Branching Fractions for the 5s25p2 - 5s25p6s Supermultiplet in the Sn Isoelectronic Sequence. Phys. Scr. 2001, 63, 104–107. [CrossRef]
- Oliver, P.; Hibbert, A. Energy level classifications and Breit Pauli oscillator strengths in neutral tin. J. Phys. B-At. Mol. Opt. 2008, 41, 165003. [CrossRef]
- Biemont, E.; Hansen, J.E.; Quinet, P.; Zeippen, C.J. Forbidden transitions of astrophysical interest in the 5pk(k = 1-5) configurations. Astron. Astrophys. Suppl. 1995, 111, 333.
- Kramida, A. Assessing Uncertainties of Theoretical Atomic Transition Probabilities with Monte Carlo Random Trials. Atoms 2014, 2, 86–122. [CrossRef]
- Peck, E.R.; Reeder, K. Dispersion of Air. J. Opt. Soc. Am. 1972, 62, 958. [CrossRef]


![]() ![]()
|
![]() |
![]() |
![]() |
Disclaimer/Publisher’s Note: The statements, opinions and data contained in all publications are solely those of the individual author(s) and contributor(s) and not of MDPI and/or the editor(s). MDPI and/or the editor(s) disclaim responsibility for any injury to people or property resulting from any ideas, methods, instructions or products referred to in the content. |
© 2024 by the authors. Licensee MDPI, Basel, Switzerland. This article is an open access article distributed under the terms and conditions of the Creative Commons Attribution (CC BY) license (http://creativecommons.org/licenses/by/4.0/).

















