Submitted:
08 January 2024
Posted:
09 January 2024
You are already at the latest version
Abstract
Keywords:
1. Introduction
1.1. Discrete Nonlinear Schrödinger (DNLS) Equations
1.1.1. The Basic Equation
1.1.2. Extended Equations
The Gross-Pitaevskii (GP) Equations Amended by Effects of Quantum Fluctuations
The Ablowitz-Ladik (AL) and Salerno-Model (SM) Equations
Self-Trapping in Lattices with the Self-Repulsion Strength Growing from the Center to Periphery
DNLS Equations with Long-Range Dipole-Dipole and Quadrupole-Quadrupole Intersite Interactions
The 2D Discrete Second-Harmonic-Generating () system
1.2. One-Dimensional DNLS Solitons
1.2.1. Fundamental Solitons
1.2.2. Higher-Order One-Dimensional Modes: Twisted Discrete Solitons and Bound States
1.2.3. 1D Solitons in the Salerno Model (SM)
1.3. The Subject and Structure of the Present Article
2. Two-Dimensional (2D) Nonlinear-Schrödinger Lattices: Fundamental and Vortex Solitons, and Their Bound States
2.1. Vortex Solitons: Theoretical and Experimental Results
2.2. Bound States of 2D Discrete Solitons and Solitary Vortices
2.3. 2D Discrete Solitons in Mini-Gaps of a Spatially Modulated Lattice
2.4. 2D Discrete Solitons in a Rotating Lattice
2.5. Spontaneous Symmetry Breaking of the 2D Discrete Solitons in Linearly-Coupled Lattices
3. 2D Discrete Solitons in the Salerno Model (SM)
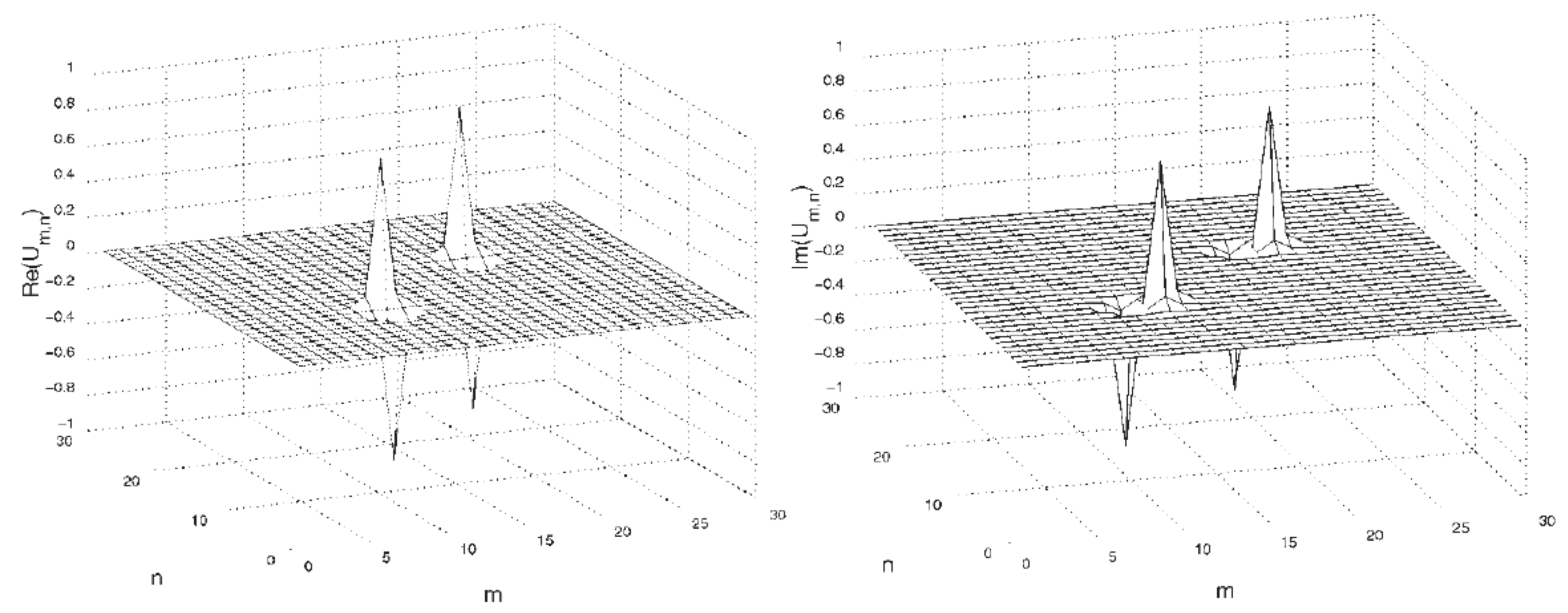
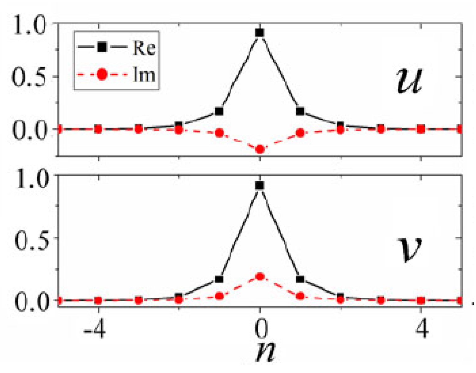
4. Solitons of the Semi-Vortex (SV) and Mixed-Mode (MM) Types in the Discrete 2D Spin-Orbit-Coupling (SOC) System
5. Stable Soliton Species in the 3D DNLS Equation
5.1. The 3D Setting
5.2. Results
5.2.1. Single-Component 3D Solitons
Two-Component 3D Solitons (Including Skyrmions)
6. 2D solitons and Solitary Vortices in Semi-Discrete Systems
6.1. Spatiotemporal Optical Solitons in Arrayed Waveguides
6.2. Semi-Discrete Quantum and Photonic Droplets
7. 2D Fundamental and Vortical Discrete Solitons in a Two-Component (parity-time) symmetric lattice
8. Conclusion
Funding
Acknowledgments
Conflicts of Interest
References
- L. P. Pitaevskii and S. Stringari, Bose-Einstein Condensation (Oxford University Press, Oxford, 2003).
- Yu. S. Kivshar, G. P. Agrawal, Optical Solitons: From Fibers to Photonic Crystals (Academic Press, San Diego, 2003).
- G. Fibich, The Nonlinear Schrödinger Equation: Singular Solutions and Optical Collapse (Springer, Heidelberg, 2015).
- O. Morsch and M. Oberthaler, Dynamics of Bose-Einstein condensates in optical lattice, Rev. Mod. Phys. 78, 179-215 (2006). [CrossRef]
- M. A. Porter, R. Carretero-González, P. G. Kevrekidis, and B.A. Malomed, Nonlinear lattice dynamics of Bose-Einstein condensates, Chaos 15, 015115 (2005). [CrossRef]
- M. Skorobogatiy, J. Yang, Fundamentals of Photonic Crystal Guiding (Cambridge University Press, Cambridge, 2008).
- D. N. Christodoulides and R. I. Joseph, Discrete self-focusing in nonlinear arrays of coupled waveguides, Opt. Lett. 13, 794-796 (1988). [CrossRef]
- H. S. Eisenberg, Y. Silberberg, R. Morandotti, A. R. Boyd, and J. S. Aitchison, Discrete spatial optical solitons in waveguide arrays, Phys. Rev. Lett. 81, 3383-3386 (1998). [CrossRef]
- D. N. Christodoulides, F. Lederer, and Y. Silberberg, Discretizing light behaviour in linear and nonlinear waveguide lattices, Nature 424, 817-823 (2003). [CrossRef]
- F. Lederer, G. I. Stegeman, D. N. Christodoulides, G. Assanto, M. Segev, and Y. Silberberg, Discrete solitons in optics, Phys. Rep. 463, 1-126 (2008). [CrossRef]
- F. Ye, D. Mihalache, B. Hu, N. C. Panoiu, Subwavelength plasmonic lattice solitons in arrays of metallic nanowires, Phys. Rev. Lett. 104, 106802 (2010). [CrossRef]
- A. Smerzi and A. Trombettoni, Nonlinear tight-binding approximation for Bose-Einstein condensates in a lattice, Phys. Rev. A 68, 023613 (2003). [CrossRef]
- A. Szameit, R. Keil, F. Dreisow, M. Heinrich, T. Pertsch, S. Nolte, and A. Tünnermann, Observation of discrete solitons in lattices with second-order interaction, Opt. Lett. 34, 2838-2840 (2009). [CrossRef]
- C. Chong, R. Carretero-González, B. A. Malomed, and P. G. Kevrekidis, Variational approximations in discrete nonlinear Schrödinger equations with next-nearest-neighbor couplings, Physica D 240, 1205-1212 (2011). [CrossRef]
- A. Szameit, T. Pertsch, S. Nolte, A. Tünnermann, F. Lederer, Long-range interaction in waveguide lattices, Phys. Rev. A 77, 043804 (2008). [CrossRef]
- A. Locatelli, D. Modotto, D. Paloschi, and C. De Angelis, All optical switching in ultrashort photonic crystal couplers, Opt. Commun. 237, 97-102 (2004). [CrossRef]
- G. Herring, P. G. Kevrekidis, B. A. Malomed, R. Carretero-González, D. J. Frantzeskakis, Symmetry breaking in linearly coupled dynamical lattices, Phys. Rev. E 76, 066606 (2007). [CrossRef]
- S. Aubry, Breathers in nonlinear lattices: Existence, linear stability and quantization, Physica D 103, 201-250 (1997). [CrossRef]
- Y. V. Kartashov, V. A. Vysloukh, and L. Torner, Soliton shape and mobility control in optical lattices, Prog. in Optics 52, 63-148 (2009). [CrossRef]
- V. M. Rothos, Nonlinear wave propagation in discrete and continuous systems, Eur. Phys. J. Special Topics 225, 943–958 (2016). [CrossRef]
- E. N. Tsoy and B. A. Umarov, Introduction to nonlinear discrete systems: theory and modelling, Eur. J. Phys. 39, 055803 (2018). [CrossRef]
- B. A. Malomed, Nonlinearity and discreteness: Solitons in lattices, in Emerging Frontiers in Nonlinear Science, pp. 81-110, ed. by P. G. Kevrekidis, J. Cuevas-Maraver, and A. Saxena (Springer Nature Switzerland AG: Cham, 2020).
- P. G. Kevrekidis, The Discrete Nonlinear Schrödinger Equation: Mathematical Analysis, Numerical Computations, and Physical Perspectives (Springer, Berlin Heidelberg, 2009).
- E. W. Laedke, K. H. Spatschek, and S. K. Turitsyn, Stability of discrete solitons and quasicollapse to intrinsically localized modes, Phys. Rev. Lett. 73, 1055-1059 (1994). [CrossRef]
- Y. Kartashov, G. Astrakharchik, B. Malomed, and L. Torner, Frontiers in multidimensional self-trapping of nonlinear fields and matter, Nature Reviews Physics 1, 185-197 (2019). [CrossRef]
- B. A. Malomed, Multidimensional Solitons (AIP Publishing, Melville, NY, 2022).
- B. A. Malomed, Multidimensional Soliton Systems, Advances in Physics: X, in press.
- T. D. Lee, K. Huang, and C. N. Yang, Eigenvalues and eigenfunctions of a Bose system of hard spheres and its low temperature properties, Phys. Rev. 106, 1135-1145 (1957). [CrossRef]
- D. S. Petrov, Quantum mechanical stabilization of a collapsing Bose-Bose mixture, Phys. Rev. Lett. 115, 155302 (2015). [CrossRef]
- C. Cabrera, L. Tanzi, J. Sanz, B. Naylor, P. Thomas, P. Cheiney, and L. Tarruell, Quantum liquid droplets in a mixture of Bose-Einstein condensates, Science 359, 301-304 (2018). [CrossRef]
- P. Cheiney, C. R. Cabrera, J. Sanz, B. Naylor, L. Tanzi, and L. Tarruell, Bright soliton to quantum droplet transition in a mixture of Bose-Einstein condensates, Phys. Rev. Lett. 120, 135301 (2018). [CrossRef]
- G. Semeghini, G. Ferioli, L. Masi, C. Mazzinghi, L. Wolswijk, F. Minardi, M. Modugno, G. Modugno, M. Inguscio, and M. Fattori, Self-bound quantum droplets of atomic mixtures in free space?, Phys. Rev. Lett. 120, 235301 (2018). [CrossRef]
- D. S. Petrov and G. E. Astrakharchik, Ultradilute low-dimensional liquids, Phys. Rev. Lett. 117, 100401 (2016). [CrossRef]
- G. E. Astrakharchik and B. A. Malomed, Dynamics of one-dimensional quantum droplets, Phys. Rev. A 98, 01363 (2018). [CrossRef]
- V. E. Zakharov, S. V. Manakov, S. P. Novikov, and L. P. Pitaevskii, Solitons: The Inverse Scattering Method (Nauka Publishers, Moscow, 1980) [English translation: Consultants Bureau, New York, 1984].
- M. J. Ablowitz and H. Segur, Solitons and Inverse Scattering Method (SIAM, Philadelphia, 1981).
- F. Calogero and A. Degasperis, Spectral Transform and Solitons: Tools to Solve and Investigate Nonlinear Evolution Equations (North-Holland, New York, 1982).
- A. C. Newell, Solitons in Mathematics and Physics (SIAM: Philadelphia, 1985).
- M. J. Ablowitz and B. M. Herbst, On homoclinic structure and numerically induced chaos for the nonlinear Schrödinger equation, SIAM J. Appl. Math. 50, 339-351 (1990). [CrossRef]
- D. Levi, M. Petrera, and C. Scimiterna, On the integrability of the discrete nonlinear Schrödinger equation, Europhys. Lett. 84, 10003 (2008). [CrossRef]
- M. J. Ablowitz and J. F. Ladik, Nonlinear differential–difference equations and Fourier analysis, J. Math. Phys. 17, 1011-1018 (1976). [CrossRef]
- Yu. B. Suris, The problem of integrable discretization: Hamiltonian approach (Birkhauser, Basel, 2003).
- M. Salerno, A new method to solve the quantum Ablowitz-Ladik system, Phys. Lett. A 162, 381-384 (1992). [CrossRef]
- O. Dutta, M. Gajda, P. Hauke, M. Lewenstein, D.-S. Luhmann, B.A. Malomed, T. Sowinski, J. Zakrzewski, Non-standard Hubbard models in optical lattices: a review, Rep. Prog. Phys. 78, 066001 (2015). [CrossRef]
- O. V. Borovkova, Y. V. Kartashov, L. Torner, and B. A. Malomed, Bright solitons from defocusing nonlinearities, Phys. Rev. E 84, 035602 (R) (2011). [CrossRef]
- G. Gligorić, A. Maluckov, L. Hadzievski, and B. A. Malomed, Discrete localized modes supported by an inhomogeneous defocusing nonlinearity, Phys. Rev. E 88, 032905 (2013). [CrossRef]
- P. G. Kevrekidis, B. A. Malomed, A. Saxena, A. R. Bishop, and D. J. Frantzeskakis, Solitons and vortices in two-dimensional discrete nonlinear Schrödinger systems with spatially modulated nonlinearity, Phys. Rev. E 91, 043201 (2015). [CrossRef]
- T. Lahaye, C. Menotti, L. Santos, M. Lewenstein, and T. Pfau, The physics of dipolar bosonic quantum gases, Rep. Prog. Phys. 72, 126401 (2009). [CrossRef]
- G. Gligorić, A. Maluckov, M. Stepić, L. Hadžievski, and B. A. Malomed, Discrete vortex solitons in dipolar Bose-Einstein condensates, J. Phys. B: At. Mol. Opt. Phys. 43, 055303 (2010). [CrossRef]
- P. Pedri and L. Santos, Two-dimensional bright solitons in dipolar Bose-Einstein condensates, Phys. Rev. Lett. 95, 200404 (2005). [CrossRef]
- I. Tikhonenkov, B. A. Malomed, and A. Vardi, Anisotropic solitons in dipolar Bose-Einstein condensates,. Phys. Rev. Lett. 100, 090406 (2008). [CrossRef]
- Y. Li, J. Liu, W. Pang, and B. A. Malomed, Lattice solitons with quadrupolar intersite interactions, Phys. Rev. A 88, 063635 (2013). [CrossRef]
- V. Buryak, P. Di Trapani, D. V. Skryabin, and S. Trillo, Optical solitons due to quadratic nonlinearities: from basic physics to futuristic applications, Phys. Rep. 370, 63-235 (2002).
- H. Susanto, P. G. Kevrekidis, R. Carretero-González, B. A. Malomed, and D. J. Frantzeskakis, Mobility of discrete solitons in quadratically nonlinear media, Phys. Rev. Lett. 99, 214103 (2007). [CrossRef]
- J. Gómez-Gardeñes, B. A. Malomed, L. M. Floría, A. R. Bishop, Solitons in the Salerno model with competing nonlinearities, Phys. Rev. E 73, 036608 (2006). [CrossRef]
- D. Chen, S. Aubry, G. P. Tsironis, Breather mobility in discrete φ4 nonlinear lattices, Phys. Rev. Lett. 77, 4776-4779 (1996). [CrossRef]
- Yu. S. Kivshar and M. Peyrard, Modulational instabilities in discrete lattices, Phys. Rev. A 46, 3198-3205 (1992). [CrossRef]
- B. A. Malomed, Variational methods in nonlinear fiber optics and related fields, Prog. Optics 43, 71-193 (2002). [CrossRef]
- B.A. Malomed and M. I. Weinstein, Soliton dynamics in the discrete nonlinear Schrödinger equation, Phys. Lett. A 220, 91-96 (1996). [CrossRef]
- I. E. Papacharalampous, P. G. Kevrekidis, B. A. Malomed, D. J. Frantzeskakis, Soliton collisions in the discrete nonlinear Schrödinger equation, Phys. Rev. E 68, 046604 (2003). [CrossRef]
- D. J. Kaup, Variational solutions for the discrete nonlinear Schrödinger equation, Math. Comput. Simulat. 69, 322-333 (2005). [CrossRef]
- B. A. Malomed, D. J. Kaup, and R. A. Van Gorder, Unstaggered-staggered solitons in two-component discrete nonlinear Schrödinger lattices, Phys. Rev. E 85, 026604 (2012). [CrossRef]
- J. Cuevas, G. James, P. G. Kevrekidis, B. A. Malomed, B. Sánchez-Rey, Approximation of solitons in the discrete NLS equation, J. Nonlinear Math. Phys. 15 (Suppl. 3), 124-136 (2008). [CrossRef]
- C. Chong, D. E. Pelinovsky, and G. Schneider, On the validity of the variational approximation in discrete nonlinear Schrödinger equations, Physica D 241, 115-124 (2012). [CrossRef]
- D. B. Duncan, J. C. Eilbeck, H. Feddersen, and A. D. Wattis, Solitons on lattices, Physica D 68, 1-11 (1993). [CrossRef]
- M. Toda, Vibration of a chain with a non-linear interaction, J. Phys. Soc. Jpn. 22, 431-436 (1967). [CrossRef]
- S. Darmanyan, A. Kobyakov, and F. Lederer, Stability of strongly localized excitations in discrete media with cubic nonlinearity, J. Exp. Theor. Phys. 86, 682-686 (1998). [CrossRef]
- T. Kapitula, P. G. Kevrekidis, and B. A. Malomed, Stability of multiple pulses in discrete systems, Phys. Rev. E 63, 036604 (2001). [CrossRef]
- D. E. Pelinovsky, P. G. Kevrekidis, and D. J. Frantzeskakis, Stability of discrete solitons in nonlinear Schrödinger lattices, Physica D 212, 1-19 (2005). [CrossRef]
- P. G. Kevrekidis, B. A. Malomed, and A. R. Bishop, Bound states of two-dimensional solitons in the discrete nonlinear Schrödinger equation, J. Phys. A: Math. Gen. 34, 9615-9629 (2001). [CrossRef]
- R. Blit and B. A. Malomed, Propagation and collisions of semi-discrete solitons in arrayed and stacked waveguides, Phys. Rev. A 86, 043841 (2012). [CrossRef]
- R. Driben, V. V. Konotop, B. A. Malomed, T. Meier, and A. V. Yulin, Nonlinearity-induced localization in a periodically driven semidiscrete system, Phys. Rev. E 97, 062210 (2018). [CrossRef]
- X. Zhang, X. Xu, Y. Zheng, Z. Chen, B. Liu, C. Huang, B. A. Malomed, and Y. Li, Semidiscrete quantum droplets and vortices, Phys. Rev. Lett. 123, 133901 (2019). [CrossRef]
- X. Xu, G. Ou, Z. Chen, B. Liu, B. A. Malomed, and Y. Li, Semidiscrete vortex solitons, Advanced Photonics Research 2, 2000082 (2021). [CrossRef]
- X. Xu, F. Zhao, J. Huang, H. Xiang, L. Zhang, Z. Chen, Z. Nie, B. A Malomed, and Y. Li, Semidiscrete optical vortex droplets in quasi-phase-matched photonic crystals, Opt. Exp. 31, 38343-38354 (2023). [CrossRef]
- N. C. Panoiu, R. M. Osgood, and B. A. Malomed, Semi-discrete composite solitons in arrays of quadratically nonlinear waveguides, Opt. Lett. 31, 1097-1099 (2006). [CrossRef]
- X. Xu, G. Ou, Z. Chen, B. Liu, B. A. Malomed, and Y. Li, Semidiscrete vortex solitons, Advanced Photonics Research 2, 2000082 (2021). [CrossRef]
- X. Xu, F. Zhao, J. Huang, H. Xiang, L. Zhang, Z. Chen, Z. Nie, B. A Malomed, and Y. Li, Semidiscrete optical vortex droplets in quasi-phase-matched photonic crystals, Opt. Exp. 31, 38343-38354 (2023). [CrossRef]
- D. N. Neshev, T. J. Alexander, E. A. Ostrovskaya, Yu. S. Kivshar, H. Martin, I. Makasyuk, and Z. G. Chen, Observation of discrete vortex solitons in optically induced photonic lattices, Phys. Rev. Lett. 92, 123903 (2004). [CrossRef]
- J. W. Fleischer, G. Bartal, O. Cohen, O. Manela, M. Segev, J. Hudock, and D. N. Christodoulides, Observation of vortex-ring “discrete” solitons in 2D photonic lattices, Phys. Rev. Lett. 92, 123904 (2004). [CrossRef]
- J. Ford, The Fermi-Pasta-Ulam problem – paradox turns discovery, Phys. Rep. 213, 271-310 (1992). [CrossRef]
- O. M. Braun and Yu. S. Kivshar, The Frenkel-Kontorova Model: Concepts, Methods, and Applications (Springer, Berlin, 2004).
- Z. Chen, J. Liu, S. Fu, Y. Li, and B. A. Malomed, Discrete solitons and vortices on two-dimensional lattices of PT-symmetric couplers, Opt. Exp. 22, 29679-29692 (2014). [CrossRef]
- M. I. Weinstein, Excitation thresholds for nonlinear localized modes on lattices, Nonlinearity 12, 673-621 (1999). [CrossRef]
- C. Chong, R. Carretero-González, B. A. Malomed, and P. G. Kevrekidis, Multistable solitons in higher-dimensional cubic-quintic nonlinear Schrödinger lattices, Physica D 238, 126-136 (2009). [CrossRef]
- B. A. Malomed and P. G. Kevrekidis, Discrete vortex solitons, Phys. Rev. E 64, 026601 (2001). [CrossRef]
- J. Cuevas, G. James, P. G. Kevrekidis, and K. J. H. Law, Vortex solutions of the discrete Gross-Pitaevskii equation starting from the anti-continuum limit, Physica D 238, 1422-1431 (2009). [CrossRef]
- R. Y. Chiao, E. Garmire, and C. H. Townes, Self-Trapping of Optical Beams, Phys. Rev. Lett. 13, 479-482 (1964). [CrossRef]
- V. I. Kruglov, Yu. A. Logvin, and V. M. Volkov, The theory of spiral laser beams in nonlinear media, J. Mod. Opt. 39, 2277-2291 (1992). [CrossRef]
- B. A. Malomed, (INVITED) Vortex solitons: Old results and new perspectives, Physica D 399, 108-137 (2019). [CrossRef]
- P. G. Kevrekidis, B. A. Malomed, Z. Chen, and D. J. Frantzeskakis, Stable higher-order vortices and quasivortices in the discrete nonlinear Schrödinger equation, Phys. Rev. E 70, 056612 (2004). [CrossRef]
- Z. Chen, M. Segev, D. W. Wilson, R. E. Muller, P. D. Maker, Self-trapping of an optical vortex by use of the bulk photovoltaic effect, Phys. Rev. Lett. 78, 2948-2951 (1997). [CrossRef]
- Z. Chen, M.-F. Shih, M. Segev, D. W. Wilson, R. E. Muller, and P. D. Maker, Steady-state vortex-screening solitons formed in biased photorefractive media, Opt. Lett. 22, 1751-1753 (1997). [CrossRef]
- A. Bezryadina, E. Eugenieva, and Z. Chen, Self-trapping and flipping of double-charged vortices in optically induced photonic lattices, Opt. Lett. 31, 2456-2458 (2006). [CrossRef]
- B. Terhalle, T. Richter, K. J. H. Law, D. Göries, P. Rose, T. J. Alexander, P. G. Kevrekidis, Anton S. Desyatnikov, W. Krolikowski, F. Kaiser, C. Denz, and Y. S. Kivshar, Observation of double-charge discrete vortex solitons in hexagonal photonic lattices, Phys. Rev. A 79, 043821 (2009). [CrossRef]
- C. M. de Sterke and J. E. Sipe, Gap solitons, Prog. Opt., vol. XXXIII, pp. 203-260 (1994).
- V. A. Brazhnyi and V. V. Konotop, Theory of nonlinear matter waves in optical lattices, Mod. Phys. Lett. B 18, 627-651 (2004). [CrossRef]
- O. Morsch and M. Oberthaler, Dynamics of Bose-Einstein condensates in optical lattices, Rev. Mod. Phys. 78, 179-212 (2006). [CrossRef]
- B. Eiermann., Th. Anker, M. Albiez, M. Taglieber, P. Treutlein, K.-P. Marzlin, and M. K. Oberthaler, Bright Bose-Einstein gap solitons of atoms with repulsive interaction, Phys. Rev. Lett. 92, 230401 (2004). [CrossRef]
- J. T. Mok, C. M. de Sterke, I. C. M. Litte, and B. J. Eggleton, Dispersionless slow light using gap solitons, Nature Phys. 2, 775-780 (2006).
- G. Gligorić, A. Maluckov, L. Hadzievski, and B. A. Malomed, Localized modes in mini-gaps opened by periodically modulated intersite coupling in two-dimensional nonlinear lattices, Chaos 24, 023124 (2014). [CrossRef]
- P. G. Kevrekidis, D. J. Frantzeskakis, R. Carretero-González, B. A. Malomed, and A. R. Bishop. Discrete solitons and vortices on anisotropic lattices, Phys. Rev. E 72, 046613 (2005). [CrossRef]
- J. Cuevas, B. A. Malomed, and P. G. Kevrekidis, Two-dimensional discrete solitons in rotating lattices, Phys. Rev. E 76, 046608 (2007). [CrossRef]
- B. A. Malomed, Potential of interaction between two- and three-dimensional solitons, Phys. Rev. E 58, 7928-7933 (1998). [CrossRef]
- B. A. Malomed, Spontaneous symmetry breaking in nonlinear systems: An overview and a simple model, in: Nonlinear Dynamics: Materials, Theory and Experiments, ed. by M. Tlidi, M. Clerc, Springer Proceedings in Physics, vol. 173 (Springer, Cham, 2016), p. 97.
- G. Iooss, D. D. Joseph, Elementary Stability Bifurcation Theory (Springer, New York, 1980).
- D. Cai, A. R. Bishop, and N. Grønbech-Jensen, Perturbation theories of a discrete, integrable nonlinear Schrödinger equation, Phys. Rev. E 53, 4131-4136 (1996). [CrossRef]
- D. Cai, A. R. Bishop, and N. Grønbech-Jensen, Resonance in the collision of two discrete intrinsic localized excitations, Phys. Rev. E 56, 7246-7252 (1997). [CrossRef]
- S. V. Dmitriev, P. G. Kevrekidis, B. A. Malomed, and D. J. Frantzeskakis, Two-soliton collisions in a near-integrable lattice system, Phys. Rev. E 68, 056603 (2003). [CrossRef]
- N. G. Vakhitov and A. A. Kolokolov, Stationary solutions of the wave equation in a medium with nonlinearity saturation, Radiophys. Quantum Electron. 16, 783-789 (1973). [CrossRef]
- J. Gómez-Gardeñes, B. A. Malomed, L. M. Floría, and A. R. Bishop, Discrete solitons and vortices in the two-dimensional Salerno model with competing nonlinearities, Phys. Rev. E 74, 036607 (2006). [CrossRef]
- Y.-J. Lin, K. Jiménez-García, and I. B. Spielman, Spin-orbit-coupled Bose–Einstein condensates, Nature 471, 83–86 (2011).
- V. Galitski and I. B. Spielman, Spin-orbit coupling in quantum gases, Nature 494, 49-54 (2013).
- N. Goldman, G. Juzeliunas, P. Öhberg, and I. B. Spielman, Light-induced gauge fields for ultracold atoms, Rep. Prog. Phys. 77, 126401 (2014). [CrossRef]
- H. Zhai, Degenerate quantum gases with spin-orbit coupling, Rep. Prog. Phys. 78, 026001 (2015). [CrossRef]
- B. A. Malomed, Creating solitons by means of spin-orbit coupling, EPL 122, 36001 (2018). [CrossRef]
- H. Sakaguchi, B. Li, and B. A. Malomed, Creation of two-dimensional composite solitons in spin-orbit-coupled self-attractive Bose-Einstein condensates in free space, Phys. Rev. E 89, 032920 (2014). [CrossRef]
- H. Sakaguchi and B. A. Malomed, Discrete and continuum composite solitons in Bose-Einstein condensates with the Rashba spin-orbit coupling in one and two dimensions, Phys. Rev. E 90, 062922 (2014). [CrossRef]
- P. G. Kevrekidis, B. A. Malomed, D. J. Frantzeskakis and R. Carretero-González, Three-dimensional solitary waves and vortices in a discrete nonlinear Schrödinger lattice, Phys. Rev. Lett. 93, 080403 (2004). [CrossRef]
- R. Carretero-González, P. G. Kevrekidis, B. A. Malomed and D. J. Frantzeskakis, Three-dimensional nonlinear lattices: From oblique vortices and octupoles to discrete diamonds and vortex cubes, Phys. Rev. Lett. 94, 203901 (2005). [CrossRef]
- J. Ruostekoski and J. R. Anglin, Creating vortex rings and three-dimensional skyrmions in Bose-Einstein condensates, Phys. Rev. Lett. 86, 3934-3937 (2001). [CrossRef]
- U. Al Khawaja and H. Stoof, Skyrmions in a ferromagnetic Bose-Einstein condensate, Nature 411, 918–920 (2001). [CrossRef]
- R. A. Battye, N. R. Cooper, and P. M. Sutcliffe, Stable skyrmions in two-component Bose-Einstein condensates, Phys. Rev. Lett. 88, 080401 (2002). [CrossRef]
- P. G. Kevrekidis, R. Carretero-González, D. J. Frantzeskakis, B. A. Malomed, and F. K. Diakonos. Skyrmion-like states in two- and three-dimensional dynamical lattices. Phys. Rev. E 75, 026603 (2007). [CrossRef]
- A. Kudryavtsevy, B. Piette, and W. J. Zakrzewski, Skyrmions and domain walls in (2+1) dimensions, Nonlinearity 11, 783-795 (1998). [CrossRef]
- T. Weidig, The baby Skyrme models and their multi-skyrmions, Nonlinearity 12, 1489-1503 (1999). [CrossRef]
- A. B. Aceves, C. De Angelis, A. M. Rubenchik, and S. K. Turitsyn, Multidimensional solitons in fiber arrays, Opt. Lett. 19, 329 (1994). [CrossRef]
- S. Minardi, F. Eilenberger, Y. V. Kartashov, A. Szameit, U. Röpke, J. Kobelke, K. Schuster, H. Bartelt, S. Nolte, L. Torner, F. Lederer, A. Tünnermann, and T. Pertsch, Three-dimensional light bullets in arrays of waveguides, Phys. Rev. Lett. 105, 263901 (2010). [CrossRef]
- F. Eilenberger, K. Prater, S. Minardi, R. Geiss, U. Röpke, J. Kobelke, K. Schuster, H. Bartelt, S. Nolte, A. Tünnermann, and T. Pertsch, Observation of discrete, vortex light bullets, Phys. Rev. X 3, 041031 (2013). [CrossRef]
- P. Beličev, G. Gligorić, J. Petrović, A. Maluckov, L. Hadžievski, B.A. Malomed, Composite localized modes in discretized spin-orbit-coupled Bose-Einstein condensates, J. Phys. B At. Mol. Opt. Phys. 48, 065301 (2015). [CrossRef]
- Yu. S. Kivshar, Nonlinear Tamm states and surface effects in periodic photonic structures, Laser Phys. Lett. 5, 703-713 (2008). [CrossRef]
- D. R. Gulevich, D. Yudin, D. V. Skryabin, I. V. Iorsh, and I. A. Shelykh, Edge solitons in kagome lattice, Sci. Rep. 7, 1780 (2017). [CrossRef]
- Y. V. Kartashov and D. V. Skryabin, Modulational instability and solitary waves in polariton topological insulators, Optica 3, 1228 (2016). [CrossRef]
- V. Hakim and W. J. Rappel, Dynamics of the globally coupled complex Ginzburg-Landau equation, Phys. Rev. A 46, 7347-7350(R) (1992). [CrossRef]
- N. K. Efremidis and D. N. Christodoulides, Discrete Ginzburg-Landau solitons, Phys. Rev. E 67, 026606 (2003). [CrossRef]
- K. Maruno, A. Ankiewicz, and N. Akhmediev, Exact localized and periodic solutions of the discrete complex Ginzburg-Landau equation, Opt. Commun. 221, 199-209 (2003). [CrossRef]
- N. K. Efremidis, D. N. Christodoulides, and K. Hizanidis, Two-dimensional discrete Ginzburg-Landau solitons, Phys. Rev. A 76, 043839 (2007). [CrossRef]
- C. M. Bender, Making sense of non-Hermitian Hamiltonians, Rep. Prog. Phys. 70, 947-1018 (2007). [CrossRef]
- K. G. Makris, R. El-Ganainy, D. N. Christodoulides, and Z. H, Musslimani, Beam dynamics in PT symmetric optical lattices, Phys. Rev. Lett. 100, 103904 (2008). [CrossRef]
- C. E. Rüter, K. G. Makris, R. El-Ganainy, D. N. Christodoulides, M. Segev, and D. Kip, Observation of parity–time symmetry in optics, Nature Phys. 6, 192-195 (2010).
- V. V. Konotop, J. Yang, and D. Zezyulin, Nonlinear waves in PT -symmetric systems, Rev. Mod. Phys. 88, 035002 (2016).
- S. V. Suchkov, A. A. Sukhorukov, J. Huang, S. V. Dmitriev, C. Lee, and Yu. S. Kivshar, Nonlinear switching and solitons in PT-symmetric photonic systems, Laser Phot. Rev. 10, 177-213 (2016). [CrossRef]
- R. Driben and B. A. Malomed, Stability of solitons in parity-time-symmetric couplers, Opt. Lett. 36, 4323-4325 (2011). [CrossRef]
- N. V. Alexeeva, I. V. Barashenkov, A. A. Sukhorukov, and Y. S. Kivshar, Optical solitons in PT -symmetric nonlinear couplers with gain and loss, Phys. Rev. A 85, 063837 (2012). [CrossRef]
- G. Burlak and B. A. Malomed, Stability boundary and collisions of two-dimensional solitons in PT-symmetric couplers with the cubic-quintic nonlinearity, Phys. Rev. E 88, 062904 (2013). [CrossRef]
- V. V. Konotop, D. E. Pelinovsky, and D. A. Zezyulin, Discrete solitons in PT-symmetric lattices, Europhys. Lett. 100, 56006 (2012).
- C. Huang, C. Li, and L. Dong, Stabilization of multipole-mode solitons in mixed linear-nonlinear lattices with a PT symmetry, Opt. Exp. 21, 3917-3925 (2013). [CrossRef]
- D. Leykam, V. V. Konotop, and A. S. Desyatnikov, Discrete vortex solitons and parity time symmetry, Opt. Lett. 38, 371-373 (2013). [CrossRef]
- D. E. Pelinovsky, D. A. Zezyulin, and V. V. Konotop, Nonlinear modes in a generalized PT-symmetric discrete nonlinear Schrödinger equation, J. Phys. A: Math. Gen. 47, 085204 (2014). [CrossRef]
- J. D’Ambroise, P. G. Kevrekidis, and B. A. Malomed, Staggered parity-time-symmetric ladders with cubic nonlinearity, Phys. Rev. E 91, 033207 (2015). [CrossRef]
- M. Wimmer, A. Regensburger, M. A. Miri, C. Bersch, D. N. Christodoulides, U. Peschel, Observation of optical solitons in PT-symmetric lattices, Nature Commun. 6, 7782 (2015).
























Disclaimer/Publisher’s Note: The statements, opinions and data contained in all publications are solely those of the individual author(s) and contributor(s) and not of MDPI and/or the editor(s). MDPI and/or the editor(s) disclaim responsibility for any injury to people or property resulting from any ideas, methods, instructions or products referred to in the content. |
© 2024 by the authors. Licensee MDPI, Basel, Switzerland. This article is an open access article distributed under the terms and conditions of the Creative Commons Attribution (CC BY) license (http://creativecommons.org/licenses/by/4.0/).
