Submitted:
05 January 2024
Posted:
08 January 2024
You are already at the latest version
Abstract
Keywords:
1. Introduction
2. The Analytical Representation of the Top-of-Atmosphere Reflectance over Snow
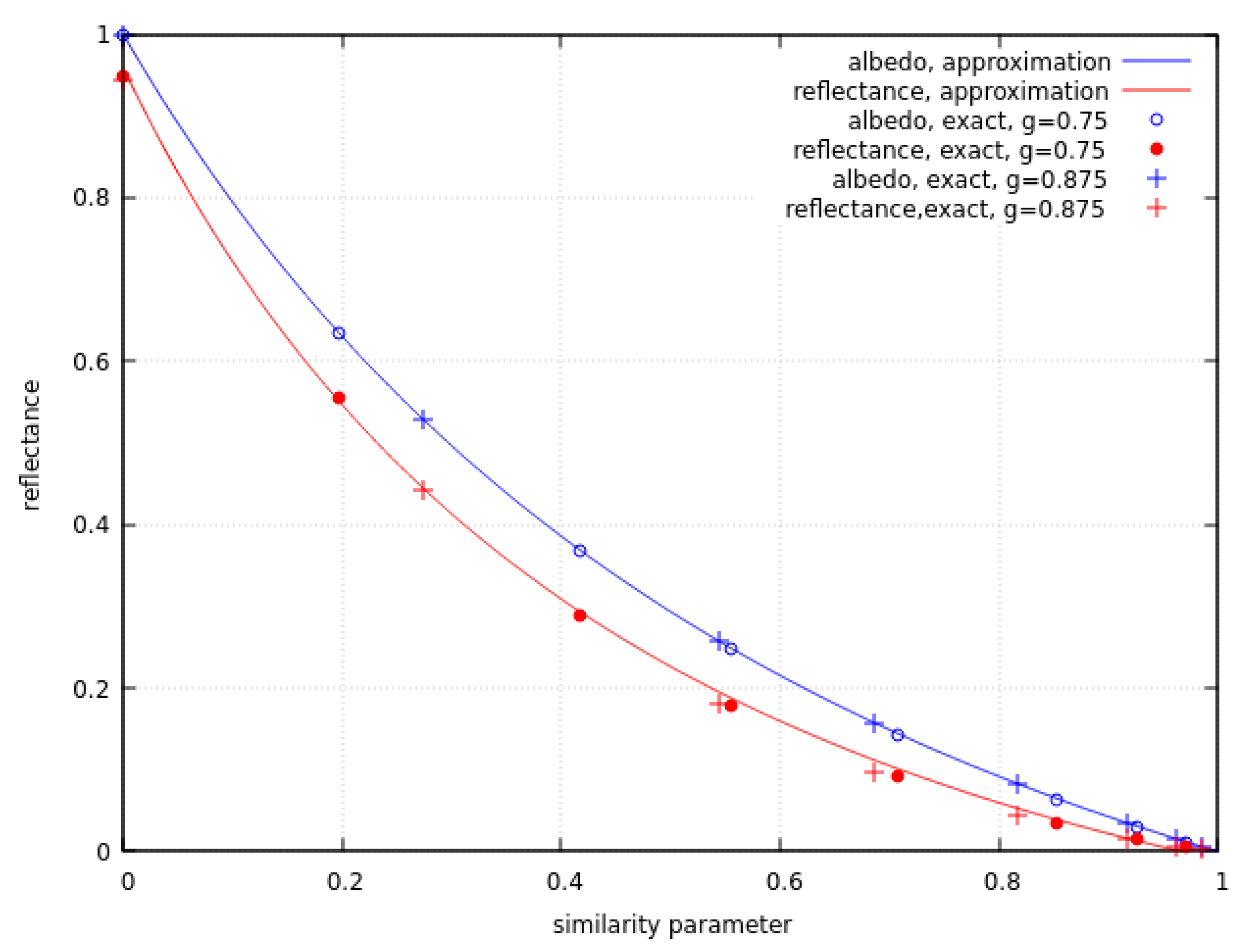
2.1. The Radiative Transfer in a Snow Layer



2.2. The Atmospheric Radiative Transfer
3. The Comparison of Theoretical Calculations with Satellite Measurements






| Parameter | EnMAP 15.02.2023 |
PRISMA 21.12.2022 |
|---|---|---|
| , mm | 0.11 | 0.2 |
| TOC, DU | 250 | 289 (269) |
| PWV, cm | 0.175 | 0.055 (0.045) |
| TOX | 0.45 | 0.13 |
| 0.14 | 0.05 | |
| B | 1.0 | 1.35 |
| 68.0 | 57.6 | |
| Latitude, degrees | 75.119S | 76.140S |
| Longitude, degrees | 123.902E | 129.930E |
| Date/time (UTC) | 15.02.2023/ 00:36UTC |
21.12.2022/ 00:14UTC |
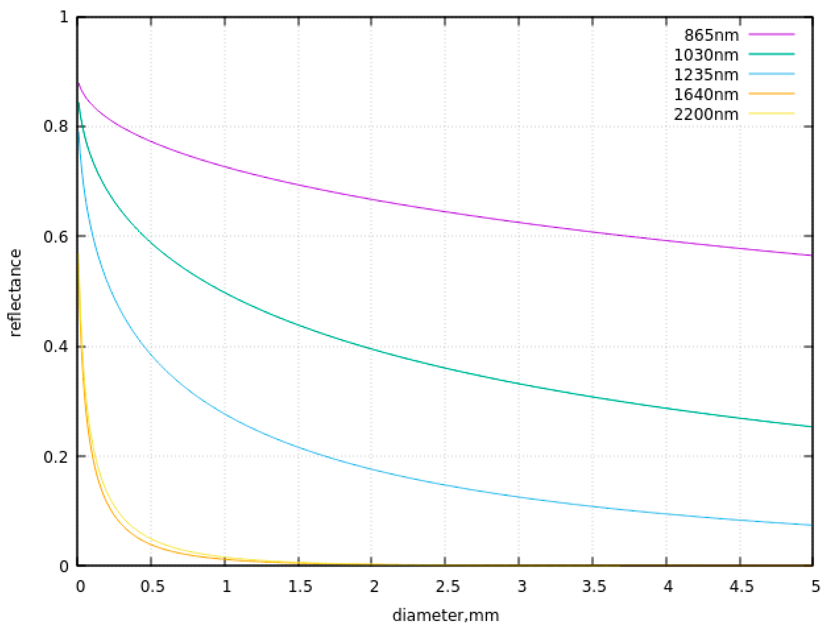
4. The Determination of the Snow Grain Size
5. Conclusions
Acknowledgments
Appendix A
| j/n | 0 | 1 | 2 |
| 0 | 0.01388 | 0.45760 | -0.02527 |
| 1 | -0.07413 | 1.65240 | 0.16899 |
| 2 | 0.05855 | -2.78192 | 0.89927 |
| 3 | -0.01099 | 1.18977 | -0.41984 |
References
- Stamnes, K.; Hamre, B.; Stamnes, S.; Chen, N.; Fan, Y.; Li, W.; Lin, Z.; Stamnes, J. Progress in forward-inverse modeling based on radiative transfer tools for coupled atmosphere-snow/ice-ocean systems: a review and description of the AccuRT model. Applied Sciences 2018, 8, 2682. [Google Scholar] [CrossRef]
- Mei, L.; Rozanov, V.; Rozanov, A.; Burrows, J.P. SCIATRAN software package (V4.6): update and further development of aerosol, clouds, surface reflectance databases and models. Geosci. Model Dev. 2023, 16, 1511–1536. [Google Scholar] [CrossRef]
- Nakajima, T.Y.; Murakami, H.; Hori, M.; Nakajima, T.; Aoki, T.; Oishi, T.; Tanaka, A. Efficient use of an improved radiative transfer code to simulate near-global distributions of satellite-measured radiances. Appl. Opt. 2003, 42, 3460–3471. [Google Scholar] [CrossRef]
- Mayer, B.; Kylling, A. Technical note: The libRadtran software package for radiative transfer calculations - description and examples of use. Atmospheric Chemistry and Physics 2005, 5, 1855–1877. [Google Scholar] [CrossRef]
- Berk, A.; Bernstein, L.S.; Anderson, G.P.; Acharya, P.K.; Robertson, D.C.; Chetwynd, J.H.; Adler-Golden, S.M. MODTRAN cloud and multiple scattering upgrades with application to AVIRIS. Remote Sensing of Environment 1998, 65, 367–375. [Google Scholar] [CrossRef]
- Spurr, R.; Christi, M. The LIDORT and VLIDORT linearized scalar and vector discrete ordinate radiative transfer models. Springer Series in Light Scattering (ed. by A. Kokhanovsky) 2019, 1–62.
- Ricchiazzi, P.; Yang, S.; Gautier, C.; Sowle, D. SBDART: A research and teaching software tool for plane-parallel radiative transfer in the Earth's atmosphere. Bull. Am. Meteorol. Soc. 1998, 79, 2101–2114. [Google Scholar] [CrossRef]
- Cachorro, V.E.; Antuña-Sanchez, J.C.; de Frutos, A.M. SSolar-GOA v1.0: A simple, fast, and accurate Spectral solar radiative transfer for clear skies. Geosci. Model Dev. 2022, 15, 1689–1712. [Google Scholar] [CrossRef]
- Cogliati, S.; Sarti, F.; Chiarantini, L.; Cosi, M.; Lorusso, R.; Lopinto, E.; Miglietta, F.; Genesio, L.; Guanter, L.; Damm, A.; et al. The PRISMA imaging spectroscopy mission: Overview and first performance analysis. Remote Sens. Environ. 2021, 262, 112499. [Google Scholar] [CrossRef]
- Storch, T.; Honold, H.-P.; Chabrillat, S.; et al. The EnMAP imaging spectroscopy mission towards operations, Rem. Sens. Env., 2023, 294, 113632.
- Rast, M.; J. Nieke; J. Adams; C. Isola; F. Gascon. Copernicus Hyperspectral Imaging Mission for the Environment (Chime). 2021 IEEE International Geoscience and Remote Sensing Symposium IGARSS, Brussels, Belgium, 2021, 108-111. [CrossRef]
- National Academies of Sciences, Engineering, and Medicine. Thriving on Our Changing Planet: A Decadal Strategy for Earth Observation from Space; The National Academies Press: Washington, DC, 2018. [Google Scholar] [CrossRef]
- Rast, M.; J. Nieke; J. Adams; C. Isola; F. Gascon. Copernicus Hyperspectral Imaging Mission for the Environment (Chime). 2021 IEEE International Geoscience and Remote Sensing Symposium IGARSS, Brussels, Belgium, 2021, 108-111. [CrossRef]
- Sobolev, V.V. Light Scattering in Planetary Atmospheres; Nauka: Moscow, 1975. [Google Scholar]
- van de Hulst, H.C. The spherical albedo of a planet covered with a homogeneous cloud layer. Astron. and Astrophysics 1974, 35, 209–214. [Google Scholar]
- van de Hulst, H.C. Multiple Light Scattering, v.1, 2; Academic Press: New York, NY, USA, 1980. [Google Scholar]
- Kokhanovsky, A. The approximate analytical solution for the top-of-atmosphere spectral reflectance of atmosphere—underlying snow system over Antarctica. Remote Sens. 2022, 14, 4778. [Google Scholar] [CrossRef]
- Kokhanovsky, A.A. Snow Optics; Springer Nature: Cham, Switzerland, 2021. [Google Scholar]
- Kokhanovsky, A.; Macke, A. Integral light-scattering and absorption characteristics of large nonspherical particles. Appl. Opt. 1997, 36, 8785–8790. [Google Scholar] [CrossRef] [PubMed]
- Macke, A.; Müller, J.; Raschke, E. Single scattering properties of atmospheric ice crystals. Journal of Atmospheric Sciences 1996, 53, 2813–2825. [Google Scholar] [CrossRef]
- Shifrin, K.S. Light scattering in a turbid medium; Nauka: Gostekhteorizdat, Leningrad, 1951. [Google Scholar]
- van de Hulst, H.C. Light scattering by small particles; Wiley: NY, 1958. [Google Scholar]
- Warren, S.; Brand, R.E. Optical constants of ice from the ultraviolet to the microwave: A revised compilation. J. Geophysical Research 2008, 113, D14. [Google Scholar] [CrossRef]
- Green, A.E.; Wagner, J.C.; Mann, A. Analytic spectral functions for atmospheric transmittance calculations. Appl. Opt. 1988, 27, 2266–2272. [Google Scholar] [CrossRef] [PubMed]
- Guanter, L.; Kaufmann, H.; Segl, K.; et al. The EnMAP spaceborne imaging spectroscopy mission for Earth Observation. Remote Sensing 2015, 7, 8830–8857. [Google Scholar] [CrossRef]
- Fontenla, J.N.; Harder, J.; Livingston, W.; Snow, M.; Woods, T. High-resolution solar spectral irradiance from extreme ultraviolet to far infrared. J. Geophys. Res. Atmos. 2011, 116, D20. [Google Scholar] [CrossRef]
- Kurucz, R.L. New atlases for solar flux, irradiance, central intensity, and limb intensity. Memorie della Società Astronomica Italiana Supplement 2005, 8, 189. [Google Scholar]
- Kokhanovsky, A.A.; Brell, M.; Segl, K.; Bianchini, G.; Lanconelli, C.; Lupi, A.; Petkov, B.; Picard, G.; Arnaud, L.; Stone, R.S.; et al. First retrievals of surface and atmospheric properties using EnMAP measurements over Antarctica. Remote Sens. 2023, 15, 3042. [Google Scholar] [CrossRef]
- Zhou, X.; Li, S.; Stamnes, K. Effects of vertical inhomogeneity on snow spectral albedo and its implication for optical remote sensing of snow. J. Geophys. Res. 2003, 108, 4738. [Google Scholar] [CrossRef]
- Saito, M.; Yang, P.; Loeb, N.G.; Kato, S. A novel parameterization of snow albedo based on a two-layer snow model with a mixture of grain habits. J. Atmos. Sci. 2019, 76, 1419–1436. [Google Scholar] [CrossRef]
- Gay, M.; Fily, M.; Genthon, C.; Frezzotti, M.; Oerter, H.; Winther, J.-G. Snow grain size measurements in Antarctica. J. Glaciol. 2002, 48, 527–535. [Google Scholar] [CrossRef]
- Bianchini, G.; C. Belotti; G. Di Natale, L. Palchetti. Exploiting a decadal time-series of spectrally resolved downwelling infrared radiances at Dome C, Antarctica to assess the occurrence of advective warming events. In Proceedings of the EGU General Assembly 2023, Vienna, Austria, 24–28 April 2023. [CrossRef]
- Six, D.; Fily, M.; Blarel, L.; Goloub, P. First aerosol optical thickness measurements at Dome C (East Antarctica), summer season 2003–2004. Atmos. Environ. 2005, 39, 5041–5050. [Google Scholar] [CrossRef]
- Dombrovsky, L.A.; Kokhanovsky, A.A. Deep heating of a snowpack by solar radiation. Frontiers in Thermal Engineering 2022, 2. [Google Scholar] [CrossRef]
- Zhang, Z.; Ping Yang, P.; George Kattawar, G.; et al. A fast infrared radiative transfer model based on the adding–doubling method for hyperspectral remote-sensing applications. Journal of Quantitative Spectroscopy and Radiative Transfer 2007, 105, 243–263. [Google Scholar] [CrossRef]






| Parameter | Physical meaning | Value |
|---|---|---|
| , mm | Effective grain diameter | 0.2 |
| TOC, DU | Total ozone column (TOC) | 289 |
| PWV, cm | Precipitable Water Vapor (PWV) | 0.055 |
| Normalized effective OXygen column (NOX) | 0.9 | |
| Aerosol optical thickness (AOT) at 550nm | 0.02 | |
| B | Aerosol Angström parameter | 1.8 |
| c, ppm | Relative impurity concentration | 50.0 |
| ,1/μm | Volumetric impurity absorption coefficient | 0.04 |
| m | Impurity absorption Angström parameter | 4.0 |
| H, m | Surface height | 3233 |
| , hPa | Surface pressure | 651 |
| T, K | Average temperature along vertical | 229 |
| P,hPa | Average pressure along vertical | 491 |
Disclaimer/Publisher’s Note: The statements, opinions and data contained in all publications are solely those of the individual author(s) and contributor(s) and not of MDPI and/or the editor(s). MDPI and/or the editor(s) disclaim responsibility for any injury to people or property resulting from any ideas, methods, instructions or products referred to in the content. |
© 2024 by the authors. Licensee MDPI, Basel, Switzerland. This article is an open access article distributed under the terms and conditions of the Creative Commons Attribution (CC BY) license (http://creativecommons.org/licenses/by/4.0/).
