Submitted:
04 January 2024
Posted:
04 January 2024
You are already at the latest version
Abstract
Keywords:
1. Introduction
2. Lateral convergence deformation prediction of subway shield tunnel
2.1. Prediction model based on Kalman filtering theory
2.2. Parameter setting
2.3. Evaluation criteria
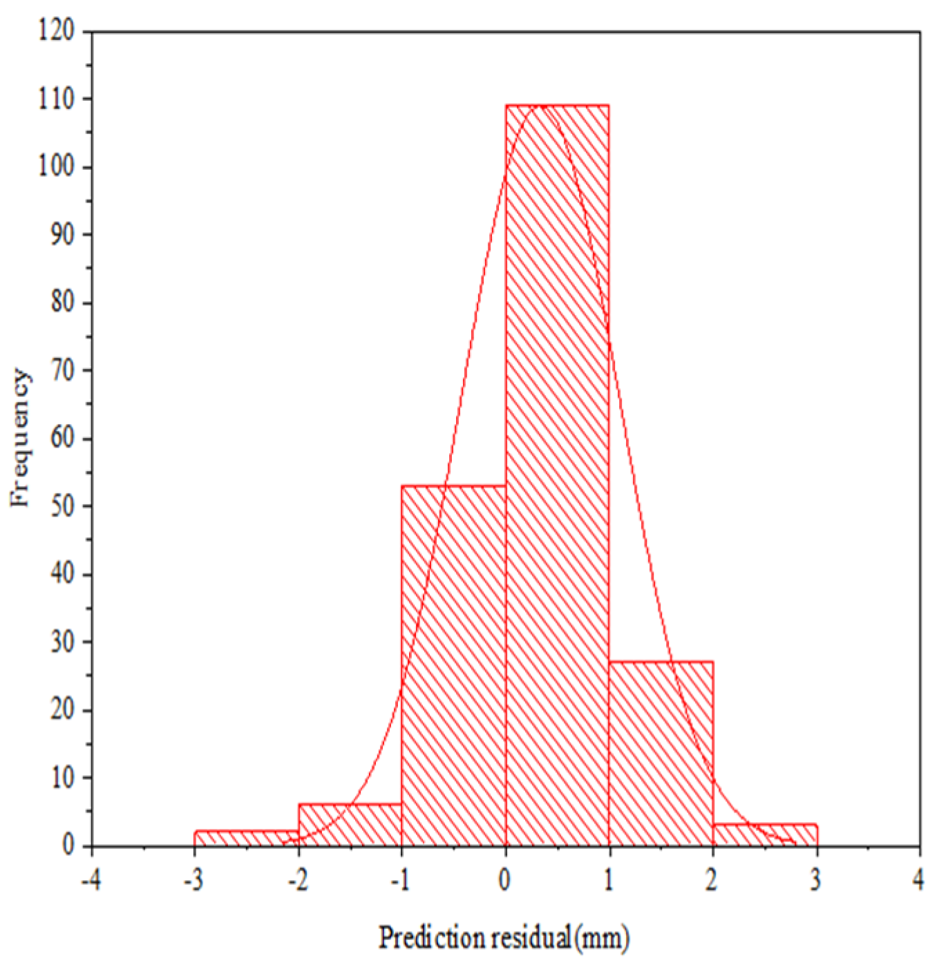
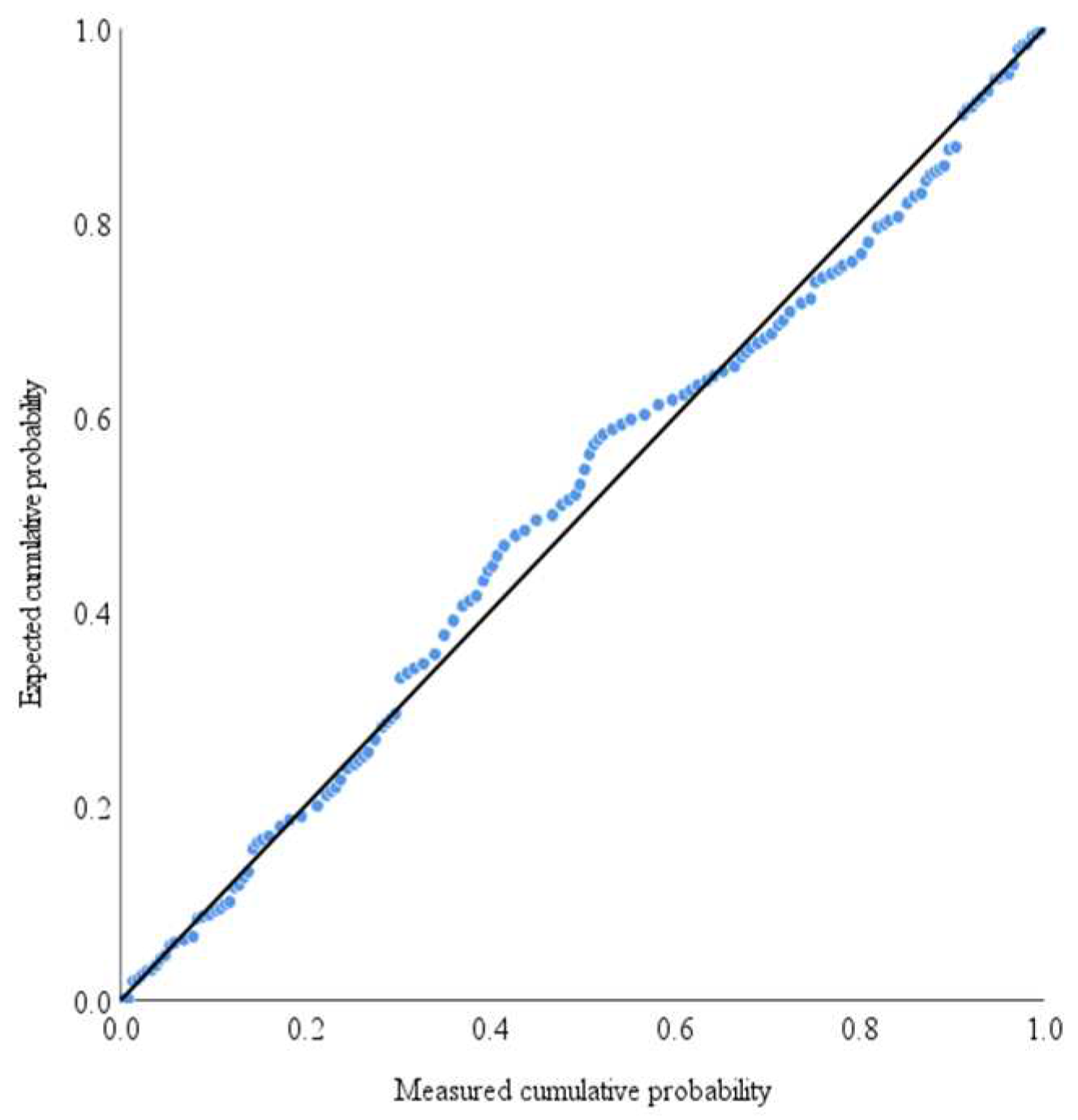
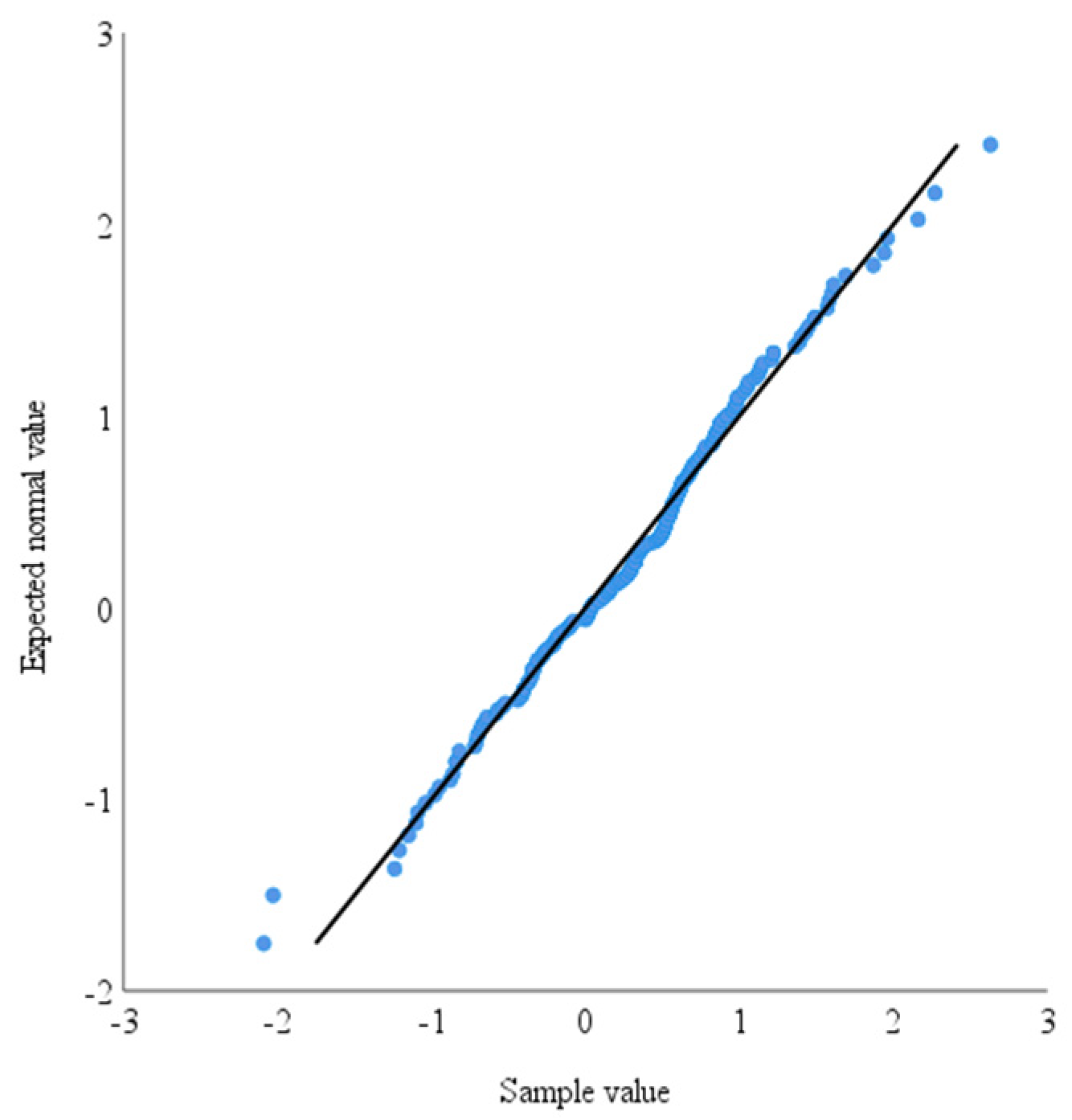
2.3.1. Prediction residual tests
2.3.2. Comparison of prediction accuracy
3. Case analysis
3.1. Project overview and testing data
3.2. Lateral convergence model of subway shield tunnel based on Kalman algorithm
4. Discussion
4.1. Comparison of prediction accuracy of multiple models
4.2. Prediction performance of Kalman model in different scale data sets
5. Conclusions
- The lateral convergence model of subway shield tunnel based on Kalman algorithm performs well in the prediction of non-stationary data with small sample size. This model is efficient, adaptive and robust, and can accurately predict the lateral convergence deformation of subway shield tunnel;
- For the prediction of horizontal diameter data of subway shield tunnel, comparing the Kalman model with the GM(1,1) model and the GM-Markov model, it is found that the lateral convergence model of subway shield tunnel based on Kalman algorithm has a high degree of fit with the horizontal diameter measured value, and the prediction residual is small, and the model effect is better. The RMSE and MAPE are introduced as evaluation indicators to verify the lateral convergence deformation prediction accuracy of subway shield tunnel based on Kalman model;
- By observing the lateral convergence deformation prediction performance of subway shield tunnel based on Kalman model on data sets of different scales, it is found that the at least 5 periods of horizontal diameter sample data of subway shield tunnels are required for predicting the lateral convergence deformation of subway shield tunnel, and the prediction accuracy of the model improves with the increase of the number of sample data periods. As the number of horizontal diameter sample data periods of subway shield tunnels increases, the lateral convergence deformation prediction accuracy of subway shield tunnel based on Kalman model is improved.
Author Contributions
Funding
Institutional Review Board Statement
Informed Consent Statement
Data Availability Statement
Conflicts of Interest
References
- Huang, H.; Xue, Y.; Shao, H.; Du, J. , Rapid Detection and Engineering Practice of Urban Subway Shield Tunnel Disease. Shanghai Scientific & Technical Publishers, 2018. [Google Scholar]
- Debernardi, D.; Barla, G. , New Viscoplastic Model for Design Analysis of Tunnels in Squeezing Conditions. Rock Mechanics and Rock Engineering 2009. 42, (2), 259-288. [Google Scholar] [CrossRef]
- Sharifzadeh, M.; Tarifard, A.; Moridi, M. A. , Time-dependent behavior of tunnel lining in weak rock mass based on displacement back analysis method. Tunnelling and Underground Space Technology 2013, 38, 348–356. [Google Scholar] [CrossRef]
- Kontogianni, V.; Psimoulis, P.; Stiros, S. , What is the contribution of time-dependent deformation in tunnel convergence? Engineering Geology 2006. 82, (4), 264-267. [Google Scholar] [CrossRef]
- Sakurai, S. , Approximate time-dependent analysis of tunnel support structure considering progress of tunnel face. International Journal for Numerical and Analytical Methods in Geomechanics 1978. 2, (2), 159-175. [Google Scholar] [CrossRef]
- Huang, H.-w.; Zhang, Y.-j.; Zhang, D.-m.; Ayyub, B. M. , Field data-based probabilistic assessment on degradation of deformational performance for shield tunnel in soft clay. Tunnelling and Underground Space Technology 2017, 67, 107–119. [Google Scholar] [CrossRef]
- Ai, Q.; Peng, Z.; Lang, Q.; Su, D. ; Peng, C; Chi, Y.; Zhu, J.; Jiang, Z.; Tang, H.; Luo, R., A Dynamic Early Warning Method for Abnormal Data in Tunnel Health Monitoring Based on ARIMA Model. CN116163807A, 2022-12-15.
- Yi, Z. Research on Operation Resilience Assessment of Subway Tunnel System Based on Dynamic Bayesian Network (DBN). Master, Huazhong University of Science and Technology, 2020.
- Fei, J.; Wu, Z.; Sun, X.; Su, D.; Bao, X. , Research on tunnel engineering monitoring technology based on BPNN neural network and MARS machine learning regression algorithm. Neural Computing and Applications 2020. 33, (1), 239-255. [Google Scholar] [CrossRef]
- Torabi-Kaveh, M.; Sarshari, B. , Predicting Convergence Rate of Namaklan Twin Tunnels Using Machine Learning Methods. Arabian Journal for Science and Engineering 2019. 45, (5), 3761-3780. [Google Scholar] [CrossRef]
- Gao, C.; Gao, N. , Various Types of Landslide Displacement Prediction based on the Improved Extreme Learning Machine. Journal of Xi'an University of Science and Technology, 2018, 38, (04), 683-689.
- Liu, S. ; Xu, J; Ju, B., Dam deformation prediction based on EMD and RBF neural network. Bulletion of Surveying and Mapping, 2019, (08), 88-91+95.
- Bi, W.; Tian, G; Zhang, Y. ; Yang, S.; Kong, X., Discussion on Using Grey Theory to Predict Tunnel Deformation. Modern Tunnelling Technology 2011. 48, (06), 53-57. [Google Scholar]
- Li, Q.; Jiang, W.; Tang, C.; Xu, H. , Analysis and prediction on the structure deformation of cross river shield tunnel. Bulletion of Surveying and Mapping 2022, (09), 34–38. [Google Scholar]
- Lu, B.; Pin, X.; Lu, R. , Prediction of Convergent Deformation of Tunnel Surrounding Rocks Based on Grey Combination Model. Journal of University of Jinan ( Science and Technology), 2022, 36, (06), 689-695.
- Ning, W.; Zhou, L.; Ning, Y.; Yang, B. , Construction and correction of prediction model in tunnel deformation monitoring. Journal of Southeast University ( Natural Science Edition), 2013, 43, (S2), 279-282.
- 17. Xia, C; Bian, Y.; Jin, L., A Comparison between Grey and Regression Model for Tunnel Deformation Prediction. Western China Communications Science & Technology, 2010, (01), 5-8+13.
- Kalman, R. E. , A New Approach to Linear Filtering and Prediction Problems. Transactions of the ASME–Journal of Basic Engineering, 1960, 82, (1), 34-45.
- Zhang, P. Aeroengine Fault Diagnostics Based on Kalman Filter. Doctor, Nanjing University of Aeronautics and Astronautics, 2009.
- Yong, E.; Qian, W.; He, K. , Penetration Ability Analysis for Glide Reentry. Trajectory Based on Radar Tracking Journal of Astronautics 2012. 33, (10), 1370-1376. [Google Scholar]
- Wang, E.; Zhu, F.; Xiao, Y.; Tong, X.; Zhu, D. , Generating Method of Adaptive Linear Signal Based on Kalman Prediction. Modern Defence Technology 2012. 40, (02), 138-142. [Google Scholar]
- Xie, H.; Zhang, T. , Application of Kalman Filter in Predicting High Frequency Financial Time Series Models. Statistics & Decision, 2017, (13), 82-84.
- Cu, X. , Yu, Z., Tao, B., Generalized Measurement Adjustment. Wuhan University Press, Wuhan. 2005. [Google Scholar]
- Kline, R.; Kline, R. B.; Kline, R. , Principles and Practice of Structural Equation Modeling. Journal of the American Statistical Association, 2011, 101, (12).
- Hyndman, R. J.; Koehler, A. B. , Another look at measures of forecast accuracy. International Journal of Forecasting 2006. 22, (4), 679-688. [Google Scholar] [CrossRef]












| Variable name | Sample size | Med ian |
Mean value | Standard deviation | skewness | kurtosis | S-W test | K-S test |
|---|---|---|---|---|---|---|---|---|
| Prediction residual | 200 | 0.405 | 0.332 | 0.762 | -0.128 | 0.498 | 0.991 (0.249) |
0.062 (0.057) |
| The GM(1,1) model | The GM-Markov model | The Kalman model | |
| RMSE | 0.0011 | 7.8675×10-4 | 4.0828×10-4 |
| MAPE | 0.0205 | 0.0145 | 0.0075 |
| number | Measured value(m) | The GM(1,1) model | The GM-Markov model | The Kalman model | |||
|---|---|---|---|---|---|---|---|
| Predicted value (m) | Residual (mm) | Predicted value (m) | Residual (mm) | Predicted value (m) | Residual (mm) | ||
| 1 | 5.422 | 5.4194 | -2.6 | 5.4198 | -2.2 | 5.4216 | -0.4 |
| 2 | 5.4281 | 5.4231 | -5.0 | 5.4235 | -4.6 | 5.4260 | -2.1 |
| 3 | 5.4255 | 5.4231 | -2.4 | 5.4235 | -2.0 | 5.4257 | 0.2 |
| 4 | 5.4289 | 5.4273 | -1.6 | 5.4278 | -1.1 | 5.4297 | 0.8 |
| 5 | 5.4208 | 5.4192 | -1.6 | 5.4196 | -1.2 | 5.4218 | 1.0 |
| 6 | 5.4289 | 5.4283 | -0.6 | 5.4285 | -0.4 | 5.4298 | 0.9 |
| 7 | 5.4299 | 5.4293 | -0.6 | 5.4296 | -0.3 | 5.4310 | 1.1 |
| 8 | 5.4256 | 5.4254 | -0.2 | 5.4256 | 0.0 | 5.4268 | 1.2 |
| 9 | 5.4302 | 5.4269 | -3.3 | 5.4274 | -2.8 | 5.4296 | -0.6 |
| 10 | 5.4291 | 5.4277 | -1.4 | 5.4281 | -1.0 | 5.4288 | -0.3 |
| 11 | 5.4285 | 5.4274 | -1.1 | 5.4277 | -0.8 | 5.4291 | 0.6 |
| 12 | 5.4306 | 5.4293 | -1.3 | 5.4295 | -1.1 | 5.4309 | 0.3 |
| 13 | 5.4264 | 5.4238 | -2.6 | 5.4239 | -2.5 | 5.4253 | -1.1 |
| 14 | 5.4233 | 5.4211 | -2.2 | 5.4211 | -2.2 | 5.4221 | -1.2 |
| 15 | 5.412 | 5.4114 | -0.6 | 5.4117 | -0.3 | 5.4128 | 0.8 |
| 16 | 5.4194 | 5.4174 | -2.0 | 5.4177 | -1.7 | 5.4187 | -0.7 |
| 17 | 5.4242 | 5.4219 | -2.3 | 5.4223 | -1.9 | 5.4239 | -0.3 |
| 18 | 5.4274 | 5.4267 | -0.7 | 5.4268 | -0.6 | 5.4279 | 0.5 |
| 19 | 5.4263 | 5.4243 | -2.0 | 5.4247 | -1.6 | 5.4255 | -0.8 |
| 20 | 5.4266 | 5.4263 | -0.3 | 5.4266 | 0.0 | 5.4276 | 1.0 |
| 21 | 5.4236 | 5.4232 | -0.4 | 5.4232 | -0.4 | 5.4242 | 0.6 |
| 22 | 5.4259 | 5.4231 | -2.8 | 5.4236 | -2.3 | 5.4255 | -0.4 |
| 23 | 5.4204 | 5.4201 | -0.3 | 5.4201 | -0.3 | 5.4210 | 0.6 |
| 24 | 5.4192 | 5.4189 | -0.3 | 5.4192 | 0.0 | 5.4207 | 1.5 |
| 25 | 5.4193 | 5.4173 | -2.0 | 5.4178 | -1.5 | 5.4196 | 0.3 |
| 26 | 5.4196 | 5.4180 | -1.6 | 5.4183 | -1.3 | 5.4202 | 0.6 |
| 27 | 5.4243 | 5.4214 | -2.9 | 5.4222 | -2.1 | 5.4241 | -0.2 |
| 28 | 5.4285 | 5.4258 | -2.7 | 5.4263 | -2.2 | 5.4283 | -0.2 |
| 29 | 5.4243 | 5.4199 | -4.4 | 5.4209 | -3.4 | 5.4243 | 0.0 |
| 30 | 5.4214 | 5.4199 | -1.5 | 5.4204 | -1.0 | 5.4223 | 0.9 |
| 31 | 5.418 | 5.4178 | -0.2 | 5.4182 | 0.2 | 5.4199 | 1.9 |
| 32 | 5.4184 | 5.4166 | -1.8 | 5.4170 | -1.4 | 5.4191 | 0.7 |
| 33 | 5.4224 | 5.4205 | -1.9 | 5.4209 | -1.5 | 5.4229 | 0.5 |
| 34 | 5.4192 | 5.4161 | -3.1 | 5.4169 | -2.3 | 5.4193 | 0.1 |
| 35 | 5.416 | 5.4144 | -1.6 | 5.4147 | -1.3 | 5.4164 | 0.4 |
| 36 | 5.4186 | 5.4191 | 0.5 | 5.4194 | 0.8 | 5.4202 | 1.6 |
| 37 | 5.4183 | 5.4172 | -1.1 | 5.4173 | -1.0 | 5.4182 | -0.1 |
| 38 | 5.4193 | 5.4168 | -2.5 | 5.4175 | -1.8 | 5.4199 | 0.6 |
| 39 | 5.4197 | 5.4183 | -1.4 | 5.4187 | -1.0 | 5.4202 | 0.5 |
| 40 | 5.4234 | 5.4197 | -3.7 | 5.4204 | -3.0 | 5.4230 | -0.4 |
| The GM(1,1) model | The GM-Markov model | The Kalman model | |
| RMSE | 0.0018 | 0.0015 | 8.2990×10-4 |
| MAPE | 0.0284 | 0.0222 | 0.0124 |
Disclaimer/Publisher’s Note: The statements, opinions and data contained in all publications are solely those of the individual author(s) and contributor(s) and not of MDPI and/or the editor(s). MDPI and/or the editor(s) disclaim responsibility for any injury to people or property resulting from any ideas, methods, instructions or products referred to in the content. |
© 2024 by the authors. Licensee MDPI, Basel, Switzerland. This article is an open access article distributed under the terms and conditions of the Creative Commons Attribution (CC BY) license (http://creativecommons.org/licenses/by/4.0/).
