Submitted:
31 December 2023
Posted:
02 January 2024
You are already at the latest version
Abstract
Keywords:
MSC: 30E20; 30C15; 33B20; 33B99
1. Introduction
2. The generalized Littlewood theorem
3. Sums over inverse powers of zeroes for the Hurwitz zeta-function
3.1. General formulae
3.2. Behavior of the s-zeroes when z tends to infinity
3.3. Behavior of the s-zeroes when z tends to zero
- i)
- there are no zeroes of the function on (i.e. on the circle ; trivial), and
- ii)
- on - because the module of is
3.4. Behavior of the s-zeroes when z tends to -n
4. The sums over inverse zeroes of the Hurwitz zeta-function

5. Some exact values for the sums considered
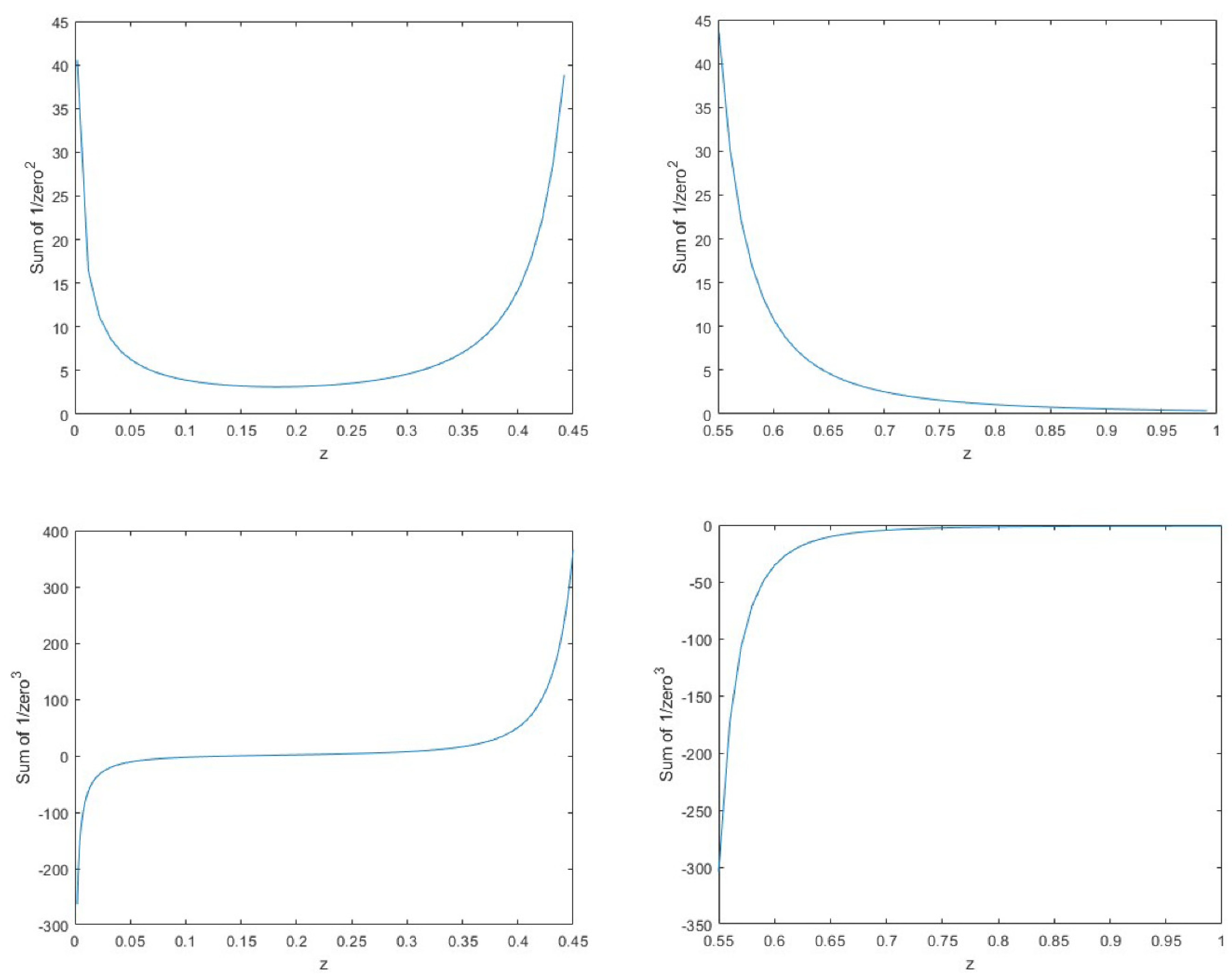
6. Numerical illustration
7. Discussion and conclusions
Funding
Data Availability Statement
Conflict of interest
Appendix A
References
- Apostol, T. M. Hurwitz zeta function; Olver, Frank W. J., Lozier, Daniel M., Boisvert, Ronald F., Clark, Charles W., Eds.; NIST Handbook of Mathematical Functions; Cambridge University Press: Cambridge, 2010. [Google Scholar]
- NIST Digital Library of Mathematical Functions, DLMF: NIST Digital Library of Mathematical Functions, Chapter 25.
- Erdélyi, A; Magnus, W; Oberhettinger, F; Tricomi, F.G. Higher Transcendental Functions. Vol. I; McGraw-Hill Book Company Inc.: New York-Toronto-London, 1953. [Google Scholar]
- Abramowitz, M; Stegun, I.A. (Eds.) Handbook of Mathematical Functions with Formulas, Graphs, and Mathematical Tables; National Bureau of Standards Applied Mathematics Series; U.S. Government Printing Office: Washington, D.C., 1964. [Google Scholar]
- Whittaker, E.T.; Watson, G.N. A Course of Modern Analysis, 4th edition; Cambridge University Press: Cambridge, 1927. [Google Scholar]
- Elizade, E. Ten Physical Applications of Spectral Zeta Functions, 2nd edition, Lecture Notes in Phys., vol. 855. Springer: Heidelberg, 2012.
- Davenport, H.; Heilbronn, H. On the zeroes of certain Dirichlet series. J. London Math. Soc. 1936, 11, 181–185. [Google Scholar] [CrossRef]
- Cassels, J.W.S. Footnote to a note of Davenport and Heilbronn. J. London Math. Soc. 1961, 36, 177–184. [Google Scholar] [CrossRef]
- Spira, R. Zeroes of Hurwitz Zeta functions. Math. Comp. 1976, 30, 863–866. [Google Scholar] [CrossRef]
- Endo, K.; Suzuki, Y. Real zeros of Hurwitz zeta-functions and their asymptotic behavior in the interval (0, 1). J. Math. Anal. Appl. 2019, 473, 624–635. [Google Scholar] [CrossRef]
- Nakamura, T. Real zeros of Hurwitz-Lerch zeta functions in the interval (−1, 0). J. Math. Anal. Appl. 2016, 438, 42–52. [Google Scholar] [CrossRef]
- Matsusaka, T. Real zeroes of the Hurwitz zeta-function. Acta Arith 2018, 183, 53–62. [Google Scholar] [CrossRef]
- Nakamura, T. Real zeros of Hurwitz–Lerch zeta and Hurwitz–Lerch type of Euler–Zagier double zeta functions. Math. Proc. Camb. Phil. Soc. 2016, 160, 39–50. [Google Scholar] [CrossRef]
- Frisk, H.; de Gosson, S. On the motion of zeroes of zeta functions. arXiv:math-ph/0102007v1.
- B. C. Berndt, B.C. The number of zeroes for . J. London Math. Soc. 1970, 2, 577–580. [Google Scholar] [CrossRef]
- Sekatskii, SK. On the Use of the Generalized Littlewood Theorem Concerning Integrals of the Logarithm of Analytical Functions for Calculation of Infinite Sums and Analysis of Zeroes of Analytical Functions. Axioms, 2023; 12, 68. [Google Scholar]
- Sekatskii, SK. On the Use of the Generalized Littlewood Theorem Concerning Integrals of the Logarithm of Analytical Functions to Elliptic Functions. Axioms, 2023; 15, 595. [Google Scholar]
- Sekatskii, S.K.; Beltraminelli, S.; Merlini, D. On equalities involving integrals of the logarithm of the Riemann -function and equivalent to the Riemann hypothesis. Ukrainian Math. J. 2012, 64, 218–228. [Google Scholar] [CrossRef]
- Sekatskii, S.K.; Beltraminelli, S.; Merlini, D. On Equalities Involving Integrals of the Logarithm of the Riemann -function with Exponential Weight which are Equivalent to the Riemann Hypothesis. Int. J. Analysis 2015. art. ID 980728. [Google Scholar] [CrossRef]
- Sekatskii, SK; Beltraminelli, S. Some simplest integral equalities equivalent to the Riemann hypothesis. Ukrainian Math. J. 2022, 74, 1256–1263. [Google Scholar] [CrossRef]
- Broughan, K.A. Equivalents of the Riemann Hypothesis, vol. 2 Encyclopedia of Mathematics and its Applications; Cambridge Univ. Press: Cambridge, 2017; p. 165. [Google Scholar]
- Mezö, I.; Hoffman, M.E. Zeroes of digamma function and its Barnes G-function analogue. Int. Transform. Spec. Funct. 2017, 28, 846–858. [Google Scholar] [CrossRef]
- Elizalde, E. An asymptotic expansion for the first derivative of the generalized Riemann zeta function. Math. Comput. 1986, 47, 347–350. [Google Scholar] [CrossRef]
- Elizalde, E. A simple recurrence for the higher derivatives of the Hurwitz zeta function. J. Math. Phys. 1993, 34, 3222–3226. [Google Scholar] [CrossRef]
- Seri, R. A non-recursive formula for the higher derivatives of the Hurwitz zeta function. J. Math. Anal. Appl. 2015, 424, 826–834. [Google Scholar] [CrossRef]
- Coffey, M.W. The Stieltjes constants, their relation to the ηj coefficients, and representation of the Hurwitz zeta function. Analysis 2010, 30, 383–409. [Google Scholar] [CrossRef]
- Deninger, C. On the analogue of the formula of Chowla and Selberg for the real quadratic fields. J. reine angew. Math. 1984, 351, 171–191. [Google Scholar]
- Beardon, A.F. Complex Analysis. The argument principle in analysis and topology; John Wiles & Sons: Chichester, 1979. [Google Scholar]
- Titchmarsh, E.C.; Heath-Brown, E. R. The theory of the Riemann Zeta-function; Clarendon Press: Oxford; UK, 1988. [Google Scholar]
- Blagouchine, I.V. A theorem for the closed-form evaluation of the first generalized Stieltjes constant at rational arguments and some related summations. J. Numb. Theory. 2015, 148, 537–592. [Google Scholar] [CrossRef]
- Blagouchine, I.V. Rediscovery of Malmsten’s integrals, their evaluation by contour integration methods with some related results. Ramanujan J. 2014, 35, 21–110. [Google Scholar] [CrossRef]
- Musser, J. Higher derivatives of the Hurwitz Zeta function, 2011. Master Thesis & Specialists Projects, Paper 1093. http://digitalcommons.wku/theses/1093.
- Kölbig, K.S. Complex zeros of an incomplete Riemann zeta function and of the incomplete gamma function. Math. Comp. 1970, 24, 679–696. [Google Scholar] [CrossRef]
- Kölbig, K.S. On the zeros of the incomplete gamma function. Math. Comp. 1972, 26, 751–755. [Google Scholar] [CrossRef]
- Lewittes, J. Analytic continuation of Eisenstein Series. Trans. Amer. Math. Soc. 1972, 171, 469–490. [Google Scholar] [CrossRef]
Disclaimer/Publisher’s Note: The statements, opinions and data contained in all publications are solely those of the individual author(s) and contributor(s) and not of MDPI and/or the editor(s). MDPI and/or the editor(s) disclaim responsibility for any injury to people or property resulting from any ideas, methods, instructions or products referred to in the content. |
© 2024 by the authors. Licensee MDPI, Basel, Switzerland. This article is an open access article distributed under the terms and conditions of the Creative Commons Attribution (CC BY) license (http://creativecommons.org/licenses/by/4.0/).