Preprint
Article

This version is not peer-reviewed.

Control the Coefficient of a Differential Equation as an Inverse Problem in Time

A peer-reviewed article of this preprint also exists.

Submitted:

19 January 2024

Posted:

22 January 2024

You are already at the latest version

Abstract
There are many problems based on solving non-autonomous differential equations of the form x¨(t)+ω2(t)x(t)=0, where x(t) represents the coordinate of a material point and ω is the angular frequency. The inverse problem involves finding the bounded coefficient ω. Continuity of the function ω(t) is not required. The trajectory x(t) is unknown, but the initial and final values of the phase variables are given. The variation principle of minimum time for the entire dynamic process allows for the determination of the optimal solution {x(t),ω(t)}. Thus, the inverse problem is an optimal control problem. No simplifying assumptions were made.
Keywords: 
;  ;  

1. Introduction

The investigation of the equation
x ¨ ( t ) + ω 2 ( t ) x ( t ) = 0 ,
where ω ( t ) is a given function, has a rich history and a wide range of applications. In the 19th century, Mathieu [1] studied solutions of this Equation (1) for a special class of ω ( t ) . The research in this area began with the work of Magnus and Winkler on Hill’s equation [2]. Yakubovich and Starzhinskii [3] explored linear differential equations with periodic coefficients. This equation, in particular, describes the motion of a particle in a potential field, a problem that dates back to the work of K.M. Case [4] on a singular coefficient. W.B. Case [5] examined the motion of a swing.
The inverse problem, where ω ( t ) is not given a priori and must be determined, is also a field of interest but has been much less investigated.
Such problems arise, for example, in the theory of the control of mechanical systems, when the goal is to find a control function that ensures the desired motion of a system [6].
The aim of this paper is to study the inverse problem, the function ω ( t ) that guarantees the existence of a solution x ( t ) of Equation (1) that satisfies the given final and initial conditions.
A more general problem related to Equation (1) does not require smoothness of ω ( t ) and, in general, makes no simplifying assumptions about this function other than boundedness. The most natural formulation of the problem involves applying the variational principle to minimizing the total time of the process or some other objective function. It is also possible to give the problem a physical interpretation, considering parametric resonance [7], to find solutions where x ( t ) has an increasing amplitude, as well as conditions for damping oscillations.
The motivation of this work is to solve the inverse problem of the control with the coefficient ω ( t ) as a bang-bang control for the trajectories of Equation (1). The function ω ( t ) can be applied in controllers for robotic systems [8]. Solutions to inverse control problems are generally nonclassical. The smoothness of such solutions is violated at a finite number of isolated points. Therefore, between the switching points of the control function ω ( t ) , the solution to the general problem x ( t ) (1) is smooth, allowing numerical methods to be cancelled to solve hard optimization problems. According to Pontryagin’s maximum principle [9], ω ( t ) imposes bounds, which simplifies the optimal control problem. Analytical methods are preferable to predict the ω ( t ) function, but exact solutions are rarely straightforward. It is also worth noting that not all analytically solvable ill-posed problems can be easily solved numerically due to instability [10,11,12]. When additional constraints are imposed on the phase variables (for example, | x ( t ) ˙ | < const ), singular solutions to the ω ( t ) problem are possible [13]. In such cases, it is convenient to resort to numerical methods, which are widely available online in both open and private access, such as MATLAB, Python with SciPy, or Julia. The input data are assumed to be well specified, so the main result of this work is to obtain nontrivial analytic solutions to the inverse control problem.
The complexity lies in the implicit connections between ω ( t ) , x ( t ) , and the total time T and the need to satisfy all conditions simultaneously.
In advanced computational fields, particularly those involving the development of algorithms for inverse problems in partial differential equations, targeting supercomputers is often necessary. This necessity arises due to the increased dimensionality of such problems, which demand a level of computational power and efficiency beyond the capabilities of standard computers. Supercomputers, with their superior processing abilities, are essential for managing the complexities and large-scale computations typical of these advanced mathematical and scientific challenges. This approach is especially critical in fields such as physics, meteorology, and various engineering disciplines, where precision and efficient computation are crucial [14].

2. Preliminaries and Problem Formulation

An inverse problem of time optimal control for a second-order differential equation is considered. The objective is to determine the coefficient ω ( t ) of the differential equation, which is the boundary value problem:
x ¨ ( t ) = ω 2 ( t ) x ( t ) , 0 < t < T ; x ( 0 ) = A > 0 , x ˙ ( 0 ) = 0 ; x ( T ) = B 0 , x ˙ ( T ) = 0 ; 0 ω ( t ) 1 or 0 < ω 0 ω ( t ) 1 ,
where the total process time T is determined from the condition
T i n f .
Under these constraints, the function ω ( t ) can be found. The coefficient ω ( t ) is not a smooth function. The equation in (2) describes the motion of a material point with given boundary conditions. Initial conditions determine the position and speed of the point at the moment of time t = 0 . It is required in the shortest time T to move the point from the initial position to a given one, while the speed x ˙ ( t ) at this moment should be equal to zero, and the entire trajectory should be a smooth function. The variational approach allows the controlling function ω ( t ) to be determined.
Remark 1. 
The value of the constant A can be considered non-negative. If A < 0 , then by replacing y ( t ) = x ( t ) (due to the linearity of equation for x ( t ) ), we arrive at the same equation for y ( t ) with the initial condition y ( 0 ) > 0 .
Remark 2. 
The function ω ( t ) requires boundedness, but not continuity.
Remark 3. 
In real applications, the function ω ( t ) is typically non-negative. However, our approach can also find a solution for ω ( t ) when x ¨ ( t ) ω 2 ( t ) x ( t ) = 0 , though this case is considered physically insignificant.
Remark 4. 
The condition of the initial and final velocities being zero is not a limitation. The proposed algorithm works in this scenario as well, but it leads to more cumbersome formulas
Remark 5. 
From a practical standpoint, the problem is not overdetermined, as technological processes in robotics aim for minimal time execution.
Remark 6. 
In problems (2) and (3), the stationary point x = 0 of Equation (1) is not investigated because the trajectory cannot converge to the point x ( T ) = x ˙ ( T ) = 0 .
Thus, the problem is reduced to two cases:
a.
If 0 ω 1 , then the solution contains trigonometric and linear functions.
b.
The coefficient ω ( t ) is limited and greater than zero ( 0 < ω 0 ω 1 ), and the solution may oscillate, with the amplitude of oscillations increasing or decreasing over time.
In all these cases, the solutions for x ( t ) and ω ( t ) are in an explicit form. The number of switching points is limited. The problem is considered solved if all the switching points, the trajectories, and the reachability set are found.
Remark 7. 
Consider the following boundary problem:
x ¨ + ω 2 ( t ) x = 0 , 0 < t < T ; x ( 0 ) = A , x ˙ ( 0 ) = 0 ; x ( T ) = B , x ˙ ( T ) = 0 ,
where A , B const and A · B 0 .
Denoting t = T τ leads to the same system:
y ¨ ( τ ) + ω 2 ( τ ) y ( τ ) = 0 , 0 < τ < T ; y ( 0 ) = B , y ˙ ( 0 ) = 0 ; y ( T ) = A , y ˙ ( T ) = 0 ; y ( τ ) = x ( T τ ) .
Thus, it is enough to consider the solution case (4) for all possible combinations of boundary conditions.

3. Analysis with 0 ω 1

Let us consider the simplest case of the motion under the control of an unknown bounded function ω ( t ) . Let us split the segment from 0 to T into three segments: ω 1 = 1 , ω 2 = 0 , and ω 3 = 1 . This assumption is justified in the following paragraph.

3.1. Different Sign Values at the Boundary

Let us again consider the system
x ¨ + ω ( t ) x = 0 , 0 < t < T ; x ( 0 ) = A > 0 , x ˙ ( 0 ) = 0 ; x ( T ) = B , x ˙ ( T ) = 0 ,
where B = const > 0 ,   T i n f ,   0 ω ( t ) 1 , 0 t T , and x ( t ) C 1 [ 0 , T ] .
There is a solution in the form ( ω = { 0 , 1 } ):
x ( t ) = A cos ( t ) , 0 t t 1 ; a t + b , t 1 t t 2 ; B cos ( t + Δ ) , t 2 t T .
There is a system with continuity conditions for x ( t ) and x ˙ ( t ) :
A cos t 1 = a t 1 + b ; A sin t 1 = a ; B cos ( t 2 + Δ ) = a t 2 + b ; B sin ( t 2 + Δ ) = a ; T + Δ = π ; T i n f .
Let us express the auxiliary variables a , b , t 2 , Δ through t 1 . Solution (7) is sought analytically:
B 2 = a 2 + ( a t 2 + b ) 2 a t 2 + b = B 2 a 2 ( a t 2 + b < 0 under the axis )
a = A sin t 1 ; b = A ( cos t 1 + t 1 sin t 1 ) ; t 2 = 1 A sin t 1 B 2 A 2 sin 2 t 1 + A ( cos t 1 + t 1 sin t 1 ) ; Δ = π arcsin A sin t 1 B t 2 ,
resulting in the total nonoptimal time of the process:
T = π Δ ( t 1 ) = arcsin A sin t 1 B + 1 A sin t 1 B 2 A 2 sin 2 t 1 + A ( cos t 1 + t 1 sin t 1 ) .
From the condition
T t 1 = 0 t 1 = π 2
it turns out the minimum total process time is
T o p t ( B > A ) = π 2 + B 2 A 2 A + arcsin A B
and the switching points t 1 and t 2 are
t 1 = π 2 ; t 2 = π 2 + B 2 A 2 A .
The final solution is
ω ( t ) = 1 , t 0 , π 2 π 2 + B 2 A 2 A , T o p t ; 0 , t π 2 , π 2 + B 2 A 2 A ,
x ( t ) = A cos ( t ) , 0 t π 2 ; A ( t π 2 ) , π 2 t π 2 + B 2 A 2 A ; B cos t T o p t , π 2 + B 2 A 2 A t T o p t .
It is noted that this solution is optimal. If B < A , a similar analysis of system (6) leads to the following formulas:
T o p t ( B < A ) = π 2 + A 2 B 2 B + arcsin B A .
The final solution is
ω ( t ) = 1 , t 0 , arcsin B A A 2 B 2 B + arcsin B A , T o p t ; 0 , t arcsin B A , A 2 B 2 B + arcsin B A ,
x ( t ) = A cos t , t 0 , arcsin B A ; B A 2 B 2 B + arcsin B A t , t arcsin B A , A 2 B 2 B + arcsin B A ; B cos t T o p t , t A 2 B 2 B + arcsin B A , T o p t .
All possible solutions can be found in Figure 1.

3.2. Proof of Optimality

It is easy to show that using value ω { 0 , 1 } leads to a nonoptimal solution.
The system for the general case looks like
x ( t ) = A cos ( α t ) , 0 t t 1 ; a t + b , t 1 t t 2 ; B cos ( α t ) , t 2 t T .
After some algebra, the solution leads to
T ( B > A ) = t 1 + 1 β arcsin A α B β sin ( t 1 ) 1 A B 2 A 2 α 2 β 2 sin 2 ( t 1 ) cos ( t 1 ) 1 α sin ( t 1 ) .
To obtain the minimal time T m i n , the equation T t 1 = 0 needs to be solved. The final parameters are α = β = 1 and t 1 = π 2 .
The same calculation can be performed for the case T ( B < A ) .

3.3. Identical Sign Values at the Boundary

Let us now consider the case when the values on the boundaries are of the same sign:
x ¨ + ω ( t ) x = 0 , 0 t T ; x ( 0 ) = A , x ˙ ( 0 ) = 0 ; x ( T ) = B , x ˙ ( T ) = 0 ,
where A , B = const , T i n f , 0 ω ( t ) 1 , and x ( t ) C 1 [ 0 , T ] .
Also, let us assume 0 < A < B .
It should be noted that in this case the solution is nonmonotonic, i.e., the coordinate undergoes one full oscillation.
Indeed, the following applies:
1.
For any ω ( t ) [ 0 , 1 ] there exists t 0 * such that x ( t 0 * ) = 0 , x ˙ ( t 0 * ) < 0 , x ( t ) > 0 , and t ( 0 , t 0 * ) .
2.
For any ω ( t ) [ 0 , 1 ] there exists t 1 * such that x ( t 1 * ) < 0 , x ˙ ( t 1 * ) = 0 , x ( t ) < 0 , and t ( t 0 * , t 1 * ) .
Moreover, the following also applies:
1.
For any ω ( t ) [ 0 , 1 ] there exists t 2 * such that x ( t 2 * ) = 0 , x ˙ ( t 2 * ) > 0 , x ( t ) < 0 , and t ( t 1 * , t 2 * ) .
2.
For any ω ( t ) [ 0 , 1 ] there exists t 3 * such that x ( t 3 * ) > 0 , x ˙ ( t 3 * ) = 0 , x ( t ) > 0 , and t ( t 2 * , t 3 * ) .
These propositions lead to the construction of a solution.
Clearly, if we consider the points t 0 * , t 1 * , t 2 * , and t 3 * , and the previously constructed solution x ( t ) , t ( 0 , t 3 * ) with the described properties, and set T = t 3 * , then the constructed solution will be optimal.
In fact, let us consider the point t 1 * , where x ( t 1 * ) < 0 and x ˙ ( t 1 * ) = 0 . An optimal solution on the interval [ 0 , t 1 * ] can then be constructed. This solution precisely addresses the problem where values of different signs are accepted at the boundaries, as discussed earlier.
Similarly, by solving the problem for the interval [ t 1 * , T ] , we obtain the optimal part of the solution.
In other words, there are lower estimates for t 1 * and T t 1 * . Since the boundary conditions of the problems at the point t = t 1 * are identical, the obtained solution is defined on [ 0 , T ] and belongs to the class C 1 [ 0 , T ] .
However, to solve each of the problems separately, it is necessary to know the value of x ( t 1 * ) < 0 . In fact, determining this value is essential because the analytical formulas for the length of the interval and the solutions for each part have already been obtained (see Equations (8) and (9)).
Thus, the problem is formalized, which will be equivalent to the original one (see Equation (10)).
This problem is divided into two parts: for t [ 0 , T 1 ] and for t [ T 1 , T 2 ] . Ultimately, it is necessary to minimize T 1 + T 2 :
T 1 = π 2 + A 1 2 A 2 A + arcsin A A 1 , T 2 = π 2 + B 2 A 1 2 A 1 + arcsin A 1 B ,
where A 1 is a parameter through which the optimal curve must pass.
d ( T 1 + T 2 ) d A 1 = A 1 A 1 A 1 2 A 2 A A 1 2 1 1 A 2 / A 1 2 + + A 1 A 1 B 2 A 1 2 B 2 A 1 2 A 1 2 + 1 B 1 A 1 2 / B 2 = 0 A 1 = A B T 1 = T 2 = π 2 + B A A + arcsin A B ,
The optimal time of this process is as follows:
T o p t ( B > A ) = π + 2 B A 1 + 2 arcsin A B .
The final solution is as follows:
ω ( t ) = 1 , t 0 , π 2 t 1 , t 2 t 3 , T o p t ; 0 , t π 2 , t 1 t 2 , t 3 ,
x ( t ) = A cos t , t 0 , π 2 ; A π 2 t , t π 2 , t 1 ; A B cos ( t t 2 π 2 ) , t t 1 , t 2 ; A B ( t t 2 ) , t t 2 , t 3 ; B cos t T o p t , t t 3 , T o p t ,
where
t 1 = π 2 + B A 1 , t 2 = π + B A 1 + arcsin A B , t 3 = π + 2 B A 1 + arcsin A B .
T o p t ( B < A ) = π + 2 A B 1 + 2 arcsin B A ,
ω ( t ) = 1 , t 0 , t 1 t 2 , t 3 t 4 , T o p t ; 0 , t t 1 , t 2 t 3 , t 4 ,
x ( t ) = A cos t , t 0 , t 1 ; A B t 2 t , t t 1 , t 2 ; A B cos ( t t 2 π 2 ) , t t 2 , t 3 ; B ( t t 4 ) , t t 3 , t 4 ; B cos t T o p t , t t 4 , T o p t ,
where
t 1 = arcsin B A ; t 2 = arcsin B A + A B 1 ; t 3 = π 2 + A B 1 + 2 arcsin B A ; t 4 = π 2 + 2 A B 1 + 2 arcsin B A .
The set of reachability is constructed for two cases when the boundary values of the coordinate x ( 0 ) and x ( T ) are of different signs— see Figure 1 and Figure 2. It should be noted that the maximum number of switches in the case of 0 ω ( t ) 1 is equal to four.
The simple solution x ( t ) = A cos t with ω = 1 of (4) is an interface curve of the two different regimes: B > A and B < A of system (4).
Similarly, one can consider the case of separation from zero, i.e., 0 < ω 0 ω ( t ) 1 .

4. Problem with ω > 0

Construction of an Analytical Solution When ω > 0

Let us set the problem of determining the optimal process for achieving the final value of the coordinate x ( T ) = B .
Let ω ( t ) [ ω 0 , 1 ] , where ω 0 > 0 .
If | x ( T ) | > A , in this case, parametric resonance occurs [7], when the final value is obtained after a large number of switches. In this case, the amplitude of oscillations x ( t ) increases with the growth of t under the condition of the minimum total process time.
If | x ( T ) | < A , in this case, the effect of damping occurs. In this case, the amplitude of oscillations x ( t ) decays with the growth of t . Oscillations with | x ( T ) | A occur with a changing amplitude.
Let us introduce a division of the segment [ 0 , T ] into intervals [ t i , t i + 1 ] , where i = 0 , 1 , , ( N + 1 ) , t 0 = 0 , and t N + 2 = T .
Then, ω ( t ) is represented as a piecewise-constant function, which allows an analytical solution to be found, as ω ( t ) only takes two values: ω ( t ) = { ω 0 , 1 } according to Pontryagin’s maximum principle [9].
Consider the coordinate function x ( t ) C 1 [ 0 , T ] : x ( 0 ) = A ; x ˙ ( 0 ) = x ˙ ( T ) = 0 , of the following form:
x ( t ) = A cos ( α t ) , 0 t t 1 ; A 1 cos ( ω 1 t + δ 1 ) , t 1 t t 2 ; A i cos ( ω i t + δ i ) , t i t t i + 1 ; A N cos ( ω N t + δ N ) , t N t t N + 1 ; B cos ( β t + Δ ) , t N + 1 t T ,
where t i , i = 1 , 2 , , ( N + 1 ) are the points of pairing and B R { 0 } is the terminal value. The task of determining ω ( t ) is reduced to finding the values { ω i , t i , A i , δ i , α , β , Δ } . Note that the intervals [ t i , t i + 1 ] can be of unequal length.
Based on this, clarify the main goal: from all such functions x ( t ) , one should choose such that the total time of the process T is minimal.
The variational setting should be supplemented with the conditions of differentiability of the trajectory x ( t ) and the continuity of the velocity x ˙ ( t ) at the points of pairing.
Note that the maximum principle is not fulfilled for ω ( t ) in the presence of some constraints.
Thus, calculations lead to a recursive relation, determined by Formula (11) with N = 0 , 1 , , M .
The number of switches is defined unambiguously, but if a smaller number of switches is set, then the boundary conditions (2) are not fulfilled; if more are set, then parts of the time intervals degenerate into points. For the verification of analytical solutions, a numerical calculation was performed taking into account Formula (11) with 1000 possible switches, and the calculations confirmed the analytical solution.
As a result, the task can be divided into a family of separate boundary tasks, where the boundary conditions are recurrently determined by the conditions of pairing: A i = A i 1 A i + 1 , A 0 = A , A N + 1 = B , and A i = ( A B N ) i . The proof of optimality is based on the dependency of the solution on the initial and terminal conditions on each full oscillation and will be given below.
Thus, the solution x ( t ) represents a smooth curve. The number of oscillations depends on the position of the final point x ( T ) inside the reachability set.
1.
If x ( T ) < 0 , then the following cases of the optimal process are possible:
( a)
x ( T ) = A ω 0 1 or x ( T ) = A ω 0 ;
(b)
x ( T ) : A ω 0 1 < x ( T ) < A ω 0 ;
(c)
If x ( T ) A ω 0 1 , A ω 0 , then the solution oscillates with a number of switches.
2.
If x ( T ) > 0 , x ( T ) A , then the following applies:
(a)
x ( T ) = A ω 0 2 or x ( T ) = A ω 0 2 ;
(b)
x ( T ) A ω 0 2 , A ω 0 2 ;
(c)
If x ( T ) A ω 0 2 , A ω 0 2 , then the solution oscillates with a number of switches.
For the final point x ( T ) < 0 , let us consider the case with one switching point. We obtain that the function x ( t ) consists of two cosines:
x ( t ) = A cos ( α t ) , 0 t t 1 ; B cos ( β t + Δ ) , t 1 < t T , A , B > 0 .
Let us write the conditions of continuity and the existence of the derivative at the point t 1 [ 0 , T ] , i.e.,
A cos ( α t 1 ) = B cos ( β t 1 + Δ ) ; A α sin ( α t 1 ) = B β sin ( β t 1 + Δ ) .
It leads to
B = A 1 + sin 2 α t 1 α β 2 1
or
t 1 = 1 α arcsin ( B 2 A 2 ) β 2 A 2 ( α 2 β 2 ) if A α B β ,
where α , β [ ω 0 , 1 ] and 0 sin 2 α t 1 1   A ω 0 B A ω 0 1 .
Let us consider characteristic cases:
1.
If B = A ω 0 , then sin 2 α t 1 = 1 ; α = ω 0 , β = 1 . The solution is α = ω 0 , β = 1 , and t 1 = π 2 ω 0 , and then the function x ( t ) is uniquely determined: T = π 2 1 + ω 0 1 .
2.
If B = A ω 0 , then, similarly to the previous case, we obtain that the function x ( t ) is determined as follows: α = 1 , β = ω 0 , t 1 = π 2 , and T o p t = π 2 1 + ω 0 1 .
3.
If B = A , then the function x ( t ) is determined as follows:
t 1 = π k , k = 0 , 1 , α , β ; α = β , t 1 t 1 = 0 and Δ = 0 x ( t ) = A cos ( β t ) ; t 1 = π x ( t ) = A cos ( α t ) ; α = β x ( t ) = A cos ( α t )
In this case, the function will be equal to A · cos ( α t ) , α [ ω 0 , 1 ] , and T = π α . Taking into account the minimum T , we find that α = 1 and x ( t ) is determined unambiguously.

5. Construction of the Optimal Solution

As was mentioned earlier, the optimal solution from A to ( B ) , where B A ω 0 , A ω 0 , will consist of one, two, or three cosines.
Let us consider the function
x ( t ) = A cos ( ω 1 t ) , 0 t t 1 ; C cos ( ω 2 t + δ ) , t 1 t t 2 ; B cos ( ω 3 t + Δ ) , t 2 t T .
Proposition 1. 
Let ω 1 = ω 3 = 1 , ω 2 = ω 0 > 0 , and B be known. Then,
x ( t ) = A cos ( t ) , 0 t t 1 ; C cos ( ω 0 t + δ ) , t 1 t t 2 ; B cos ( t + Δ ) , t 2 t T .
According to the maximum principle [9], two values of ω ( t ) are admissible as well.
Construct an analytical optimal solution and prove that it is optimal.
Let us write the continuity conditions and the existence of the derivative at the points t 1 and t 2 :
A cos ( t 1 ) = C cos ( ω 0 t 1 + δ ) ; A sin ( t 1 ) = C ω 0 sin ( ω 0 t 1 + δ ) ; C cos ( ω 0 t 2 + δ ) = B cos ( t 2 + Δ ) ; C ω 0 sin ( ω 0 t 2 + δ ) = B sin ( t 2 + Δ ) .
Let us express the unknowns through t 1 .
Let us write the conditions of continuity and the existence of the derivative at the point t 1 , i.e.,
A cos ( t 1 ) = C cos ( ω 0 t 1 + δ ) A sin ( t 1 ) = C ω 0 sin ( ω 0 t 1 + δ ) .
Using the basic trigonometric identity, we have the following (we divide the second equation by ω 0 , raise each equation to the second power, and sum them up):
C = A 1 + sin 2 ( t 1 ) 1 ω 0 2 1 ,
From the first equation, let us express δ :
δ ( t 1 ) = arccos A cos t 1 C ω 0 t 1
Let us write the conditions of continuity and the existence of the derivative at the point t 2 , i.e.,
C cos ( ω 0 t 2 + δ ) = B cos ( t 2 + Δ ) C ω 0 sin ( ω 0 t 2 + δ ) = B sin ( t 2 + Δ ) .
Using the basic trigonometric identity, we have the following (raise each equation to the second power and sum them up):
C 2 ( cos 2 ( ω 0 t 2 + δ ) + ω 0 2 sin 2 ( ω 0 t 2 + δ ) ) = B 2 ,
C 2 ( ω 0 2 + ( 1 ω 0 2 ) cos 2 ( ω 0 t 2 + δ ) ) = B 2 ( 1 ω 0 2 ) cos 2 ( ω 0 t 2 + δ ) = B 2 C 2 ω 0 2 cos 2 ( ω 0 t 2 + δ ) = B 2 C 2 ω 0 2 C 2 ( 1 ω 0 2 ) t 2 = 1 ω 0 π arccos C 2 B 2 ω 0 2 B 2 ( 1 ω 0 2 ) δ .
Δ ( t 1 ) = arccos C cos ( ω 0 t 2 + δ ) B t 2
It turns out that all unknown variables are expressed through t 1 :
C = A 1 + sin 2 ( t 1 ) 1 ω 0 2 1 ; δ ( t 1 ) = arccos A cos t 1 C ω 0 t 1 ; t 2 = 1 ω 0 π arccos B 2 C 2 ω 0 2 C 2 ( 1 ω 0 2 ) δ ; Δ ( t 1 ) = arccos C cos ( ω 0 t 2 + δ ) B t 2 ; T ( t 1 ) = π arccos C cos ( ω 0 t 2 + δ ) B + t 2 .
After some algebra, system (20) gives us the solution.
The optimal time T is found from the condition
d T ( t 1 ) d t 1 = 0
The solution is as follows:
t 1 = π 2 , δ = ( 1 ω 0 ) π 2 , C = A ω 0 ; t 2 = 1 ω 0 π 2 ( 1 + ω 0 ) arccos ω 0 B 2 A 2 A 2 ( 1 ω 0 2 ) ; Δ = arccos A cos ( ω 0 t 2 + δ ) ω 0 B t 2 ; T ( B ) = π Δ .
These considerations will help us come up with a solution.

6. Proof of Optimality and Final Solution

In order to find the optimal solution, it is necessary to study one complete oscillation of x ( t ) . In this case, the intermediate boundary point C is located from the condition of the minimum time of this oscillation.
Let us consider the following case A > 0 T 1 ( S ) T 2 B , where B [ A ω 0 2 , A / ω 0 2 ] and T = T 1 + T 2 :
A T 1 ( S ) : x ( t ) = x ¨ + ω 2 ( t ) x = 0 , 0 < t < T 1 ; x ( 0 ) = A , x ˙ ( 0 ) = 0 ; x ( T 1 ) = S , x ˙ ( T 1 ) = 0 ,
and
( S ) T 2 B : x ( t ) = x ¨ + ω 2 ( t ) x = 0 , T 1 < t < T ; x ( T 1 ) = S , x ˙ ( T 1 ) = 0 ; x ( T ) = B , x ˙ ( T ) = 0 ,
For problems (21) and (22), the solution for the optimal times T 1 and T 2 are as follows:
T 1 = π 2 1 + 1 ω 0 + arccos 1 S S 2 A 2 1 ω 0 2 1 ω 0 arccos ω 0 A S 2 A 2 1 ω 0 2 ;
T 2 = π 2 1 + 1 ω 0 + arccos 1 B B 2 S 2 1 ω 0 2 1 ω 0 arccos ω 0 S B 2 S 2 1 ω 0 2 .
Let us study the first derivative: d ( T 1 + T 2 ) d S = 0 S = A B minimum value T 1 = T 2 , where (see Figure 3a))
t 1 = π 2 , t 2 = 1 ω 0 π 2 ( 1 + ω 0 ) arccos ω 0 A S 2 A 2 A 2 ( 1 ω 0 2 ) ;
T 1 + π 2 , T 1 + 1 ω 0 π 2 ( 1 + ω 0 ) arccos ω 0 S B 2 S 2 S 2 ( 1 ω 0 2 ) switching points for t > T .
For case (b) in Figure 3, solution is T = T 1 + T 2 :
T 1 = π 2 1 + ω 0 1 ω 0 arccos 1 S S 2 A 2 1 ω 0 2 + arccos ω 0 A S 2 A 2 1 ω 0 2 ;
T 2 = π 2 1 + ω 0 1 ω 0 arccos 1 B B 2 S 2 1 ω 0 2 + arccos ω 0 S B 2 S 2 1 ω 0 2 .
At the point S = A B , the maximum of T is reached, but this time is not optimal.
From the obtained formulas, it follows that the solution to the original problem is unique, as it is constructed in an explicit form.
Remark 8. 
The issue of optimality can be solved through the maximum principle [9]. However, it is proved by direct classical analysis.
Thus, the complete solution of the problem of determining the optimal process consists of finding amplitudes according to the formulas A i = A i 1 A i + 1 , A 0 = A , and A N = B and the time T = i = 1 N T i , where T i is the time of one full oscillation. The choice of sign for A i is determined from the reachability set.

7. General Case

In Section 6, a solution was constructed for one complete oscillation. To build a solution over an arbitrary period of time, it is necessary to pair solutions taking into account the continuity of the function x ( t ) and the derivative x ˙ ( t ) .
Write the condition of pairing at an arbitrary point t i :
A i cos ( ω i t i + δ i ) = A i + 1 cos ( ω i + 1 t i + δ i + 1 ) ; A i ω i sin ( ω i t i + δ i ) = A i + 1 ω i + 1 sin ( ω i + 1 t i + δ i + 1 ) ,
where A i , ω i , and δ i are known (they are determined at the previous point of pairing).
Note that if ω i t i + δ i = ω i + 1 t i + δ i + 1 = π k , k N , then A i = A i + 1 , and ω i + 1 and δ i + 1 are paired by the equation
ω i + 1 t i + δ i + 1 = π k ,
in which any ω i + 1 [ ω 0 , 1 ] can be taken.
If ω i t i + δ i = ω i + 1 t i + δ i + 1 = π 2 + π k and k N 0 , then A i ω i = A i + 1 ω i + 1 , and δ i + 1 is determined from the equation ω i + 1 t i + δ i + 1 = π 2 + π k .
Let us consider the function x ( t ) for an arbitrary N > 0 . Writing the conditions of continuity and the existence of the derivative at the points t i , i = 1 , 2 , , N , we have the following:
B = A 1 + sin 2 α t 1 α ω 1 2 1 1 + sin 2 ω 1 t 2 + δ 1 ω 1 ω 2 2 1 ·
· 1 + sin 2 ω N t N + 1 + δ N ω N β 2 1 .
Hence, it follows that A ω 0 N B A ω 0 N .
In conclusion, we find that the set
D ω 0 = A ω 0 N , A ω 0 N
is the set of controllability (reachability).

8. Construction of the Set of Reachability

Let N be the number of zeros of the function x ( t ) on the set ( 0 , T ] , A = x ( 0 ) , and ω 0 0 .
Consider the following family of sets for negative final values:
A 1 = A ω 0 , A ω 0 , A N = A ω 0 N 2 , A ω 0 N , B N = A ω 0 N , A ω 0 N 2 , N = 2 k + 1 , k N .
For positive final values,
A + 2 = A ω 0 2 , A ω 0 2 , A + N = A ω 0 N 2 , A ω 0 N , B + N = A ω 0 N , A ω 0 N 2 , N = 2 k , k N , k N .
These sets enable the determination of the optimal process time corresponding to the specific trajectory.
Let us outline the process for determining the optimal trajectory:
1.
Determine the optimal time curve that x ( T ) belongs to.
2.
Choose a trajectory that converges to the terminal point; this trajectory will be optimal (see Figure 4).
3.
Construct the analytical solution within a single oscillation and extend it to the terminal point using Equations (23) and (24) and Equations (25) and (26).
The boundary of the intervals is connected by convex functions T ( B )  Figure 4.
Examples of calculations are shown in Figure 5 and Figure 6.

9. Conclusions and Outlook

In this paper, we address the multiparameter problem of optimally controlling the coefficients of a linear differential equation in the shortest possible time. The instability of the inverse control problem leads to difficulties in obtaining a reliable solution using the numerical method. Therefore, the solution is constructed analytically and verified through direct modeling, using recurrent formulas for each trajectory segment while ensuring smoothness.
The following results were obtained:
1.
Constraints on the parameters under which nontrivial solutions occur were established.
2.
Points were identified where the coefficients of the equation can be switched, for arbitrary input parameters, to achieve an optimal solution.
3.
The reachability set was constructed for the conditions 0 ω ( t ) 1 and 0 < ω 0 ω ( t ) 1 .
4.
It was proved that the values of the extremum points of the optimal trajectories (inside and on the boundary of the reachability set in Figure 4) form either an increasing geometric progression in the case of parametric resonance or a decreasing geometric progression in the case of damping.
In the problem under consideration, the trend μ x ˙ , where μ > 0 , was not included; this aspect will be the subject of research in the subsequent article.

Author Contributions

Conceptualization, V.T.; Investigation, V.I. All authors have read and agreed to the published version of the manuscript.

Funding

This research received no external funding.

Data Availability Statement

Data supporting the results of this study are available from the corresponding authors upon request.

Conflicts of Interest

The authors declare that they have no known competing financial interests of personal relationships that could have appeared to influence the work reported in this paper.

Nomenclature

Notation Description
t , τ Time variables
x ( t ) , y ( t ) Coordinate functions
x ˙ ( t ) Velocity
x ¨ ( t ) Acceleration
ω ( t ) Control function
T , T 1 , T 2 , T o p t Optimal time
A , A i , C , B , x ( 0 ) , x ˙ ( 0 ) , x ( T ) , x ˙ ( T ) Boundary conditions
t 1 , t 2 , t i Switching points
ω 0 Lower limit of the control function
ω i Discrete values of ω

References

  1. Mathieu, E. Course de Physique Mathematique; CLAVREUIL: Paris, France, 2003. [Google Scholar]
  2. Magnus, S.; Winkler, W. Hill’s Equation; Dover Publications: Mineola, NY, USA, 2004. [Google Scholar]
  3. Yakubovich, V.A.; Starzhinskii, V.M. Linear Differential Equations with Periodic Coefficients; Wiley: Hoboken, NJ, USA, 1975. [Google Scholar]
  4. Case, K.M. Singular potentials. Phys. Rev. 1950, 80, 797. [Google Scholar] [CrossRef]
  5. Case, W.B. The pumping of a swing from the standing position. Am. J. Phys. 1996, 64, 215–220. [Google Scholar] [CrossRef]
  6. Yakubu, G.; Olejnik, P.; Awrejcewicz, J. On the modeling and simulation of variable—Length pendulum. Arch. Comput. Methods Eng. 2022, 29, 2397–2415. [Google Scholar] [CrossRef]
  7. Hatvani, L. On the parametrically excited pendulum equation with a step function coefficient. Int. J.-Non-Linear Mech. 2015, 77, 172–182. [Google Scholar] [CrossRef]
  8. Luo, Q.; Chevallereau, C.; Aoustin, Y. Walking Stability of a Variable Length Inverted Pendulum Controlled with Virtual Constraints. Int. J. Humanoid Robot. 2019, 16, 1950040. [Google Scholar] [CrossRef]
  9. Pontryagin, L.S. The Mathematical Theory of Optimal Processes, 1st ed.; Routledge: London, UK, 1987; 360p. [Google Scholar] [CrossRef]
  10. Walczak, S. Well-posed and ill-posed optimal control problems. J. Optim. Theory Appl. 2001, 109, 169–185. [Google Scholar] [CrossRef]
  11. Po¨rner, F. Regularization Methods for Ill-Posed Optimal Control Problems. Ph.D. Thesis, Wu¨rzburg University Press, Würzburg, Germany, 2018. [Google Scholar] [CrossRef]
  12. Huntul, M.J.; Abbas, M.; Baleanu, D. An inverse problem of reconstructing the time-dependent coefficient in a one-dimensional hyperbolic equation. Adv Differ Equ. 2021, 2021, 452. [Google Scholar] [CrossRef]
  13. Flaherty, J.; O’Malley, R. On the computation of singular controls. IEEE Trans. Autom. Control. 1977, 22, 640–648. [Google Scholar] [CrossRef]
  14. Goncharsky, A.V.; Romanov, S.Y. A method of solving the coefficient inverse problems of wave tomography. Comput. Math. Appl. 2019, 77, 967–980. [Google Scholar] [CrossRef]
Figure 1. Reachability set for 0 ω 1 , A = 1 , and B [ 0.2 , 5 ] . Any point with negative coordinate values can be reached in 2 switches (Equation (6)).
Figure 1. Reachability set for 0 ω 1 , A = 1 , and B [ 0.2 , 5 ] . Any point with negative coordinate values can be reached in 2 switches (Equation (6)).
Preprints 96833 g001
Figure 2. Complete reachability set of all possible optimal trajectories. 0 ω 1 , A = 1 , and B [ 0.2 , 5 ] . Any points with x = 0 can be reached in 4 switches (Equation (10)).
Figure 2. Complete reachability set of all possible optimal trajectories. 0 ω 1 , A = 1 , and B [ 0.2 , 5 ] . Any points with x = 0 can be reached in 4 switches (Equation (10)).
Preprints 96833 g002
Figure 3. The initial guess of ω ( t ) : plot (a) refers to the optimal cases (23) and (24), and case (b) refers to the nonoptimal solutions (27) and (28).
Figure 3. The initial guess of ω ( t ) : plot (a) refers to the optimal cases (23) and (24), and case (b) refers to the nonoptimal solutions (27) and (28).
Preprints 96833 g003
Figure 4. Complete reachability set of all possible optimal trajectories. 0.75 ω 1 and A = 1 . The number of switching points depends on the terminal conditions. Within a single oscillation, there are 4 switching points.
Figure 4. Complete reachability set of all possible optimal trajectories. 0.75 ω 1 and A = 1 . The number of switching points depends on the terminal conditions. Within a single oscillation, there are 4 switching points.
Preprints 96833 g004
Figure 5. A time optimal trajectory x ( t ) (brown), x ˙ ( t ) (red), ω ( t ) (blue) of oscillations (a) and the phase portrait (b) with switching points for the case: x ( 0 ) = 1 , x ˙ ( 0 ) = 0 , x ( T ) = 8 , x ˙ ( T ) = 0 , 0.5 ω ( t ) 1 , and T 14.97 .
Figure 5. A time optimal trajectory x ( t ) (brown), x ˙ ( t ) (red), ω ( t ) (blue) of oscillations (a) and the phase portrait (b) with switching points for the case: x ( 0 ) = 1 , x ˙ ( 0 ) = 0 , x ( T ) = 8 , x ˙ ( T ) = 0 , 0.5 ω ( t ) 1 , and T 14.97 .
Preprints 96833 g005
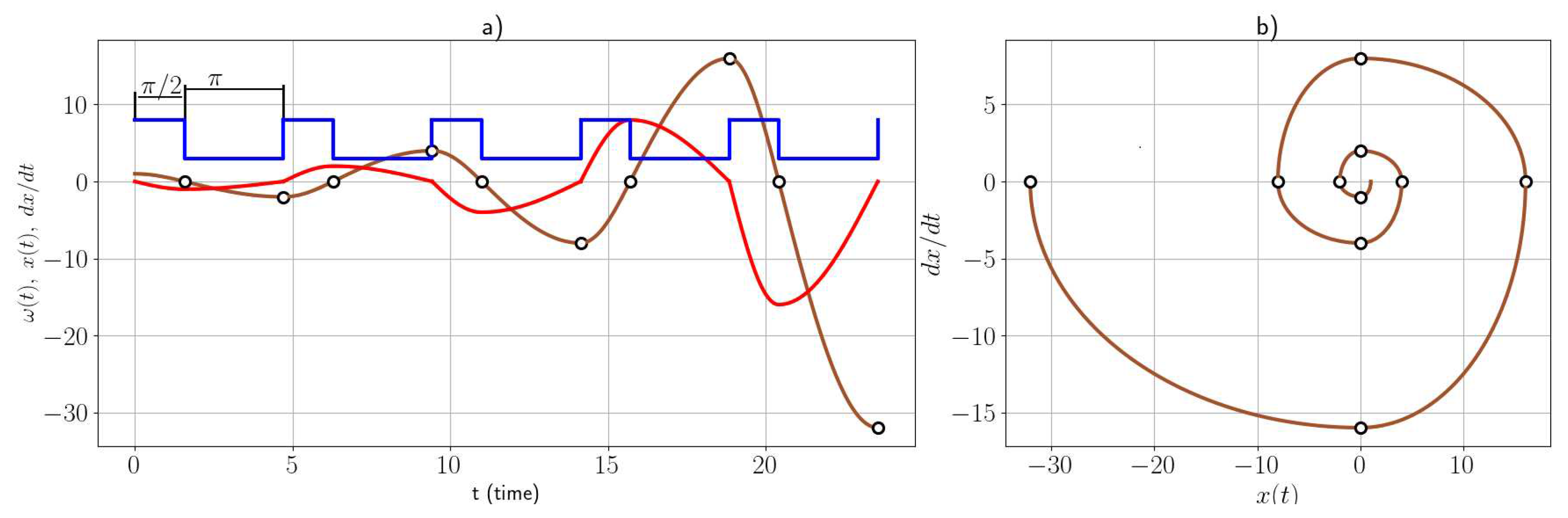
Figure 6. A time optimal trajectory x ( t ) (brown), x ˙ ( t ) (red), ω ( t ) (blue) of oscillations (a) and the phase portrait (b) with switching points for the case: x ( 0 ) = 1 , x ˙ ( 0 ) = 0 , x ( T ) = 32 , x ˙ ( T ) = 0 , 0.5 ω ( t ) 1 , and T 23.56 . The oscillations follow the boundary of the reachability set.
Figure 6. A time optimal trajectory x ( t ) (brown), x ˙ ( t ) (red), ω ( t ) (blue) of oscillations (a) and the phase portrait (b) with switching points for the case: x ( 0 ) = 1 , x ˙ ( 0 ) = 0 , x ( T ) = 32 , x ˙ ( T ) = 0 , 0.5 ω ( t ) 1 , and T 23.56 . The oscillations follow the boundary of the reachability set.
Preprints 96833 g006
Disclaimer/Publisher’s Note: The statements, opinions and data contained in all publications are solely those of the individual author(s) and contributor(s) and not of MDPI and/or the editor(s). MDPI and/or the editor(s) disclaim responsibility for any injury to people or property resulting from any ideas, methods, instructions or products referred to in the content.
Copyright: This open access article is published under a Creative Commons CC BY 4.0 license, which permit the free download, distribution, and reuse, provided that the author and preprint are cited in any reuse.
Prerpints.org logo

Preprints.org is a free preprint server supported by MDPI in Basel, Switzerland.

Subscribe

Disclaimer

Terms of Use

Privacy Policy

Privacy Settings

© 2026 MDPI (Basel, Switzerland) unless otherwise stated