Submitted:
28 December 2023
Posted:
28 December 2023
You are already at the latest version
Abstract
Keywords:
1. Introduction
2. Principles for calculating the self- and mutual inductances of air coils
2.1. Basics of magnetic field theory used for inductance calculations
3. Cylindrical air coils
3.1. Magnetic field of cylindrical coils
3.2. Comparison with results obtained by other authors and the finite element method
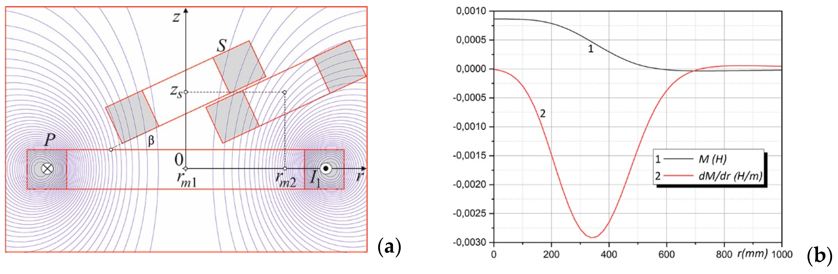
3.3. Non-coaxial cylindrical coils
4. Rectangular air coils
5. Magnetic field of current coils, permanent magnets and high temperature superconductors
6. Moving coils: induced voltages and forces
7. Conclusions
Funding
Data Availability Statement
Conflicts of Interest
References
- Triviño, A.; González, J.M.; Aguado, J.A. Wireless Power Transfer Technologies Applied to Electric Vehicles: A Review. Energies 2021, 14, 1547. [Google Scholar] [CrossRef]
- Razu, M.R.R.; et al. Wireless Charging of Electric Vehicle While Driving. IEEE Access 2021. [Google Scholar] [CrossRef]
- Carvalho, N.B.; et al. Wireless Power Transmission: R&D Activities Within Europe. IEEE Transactions on Microwave Theory and Techniques 2014, 62(4), 1031–1043. [Google Scholar] [CrossRef]
- Schormans, M.; Valente, V.; Demosthenous, A. Practical Inductive Link Design for Biomedical Wireless Power Transfer: A Tutorial. IEEE Transactions on Biomedical Circuits and Systems 2018, 12, 1112–1130. [Google Scholar] [CrossRef]
- Wardach, M.; et al. Hybrid Excited Synchronous Machine with Wireless Supply Control System. Energies 2019, 12, 3153. [Google Scholar] [CrossRef]
- Kalisiak, S.; et al. Contactless power supply system with resonant circuit parameter change compensation. In Proceedings of the 2011 14th European Conference on Power Electronics and Applications, Birmingham, United Kingdom, 30 August – 01 September 2011. [Google Scholar]
- Marcinek, M.; et al. Resonant frequency stabilization technique in series-series contactless energy transfer systems. Archives of Electrical Engineering 2017, 66(3), 547–558. [Google Scholar] [CrossRef]
- Panchal, C.; Stegen, S.; Lu, J. Review of static and dynamic wireless electric vehicle charging system. Engineering Science and Technology, an International Journal 2018, 21, 922–937. [Google Scholar] [CrossRef]
- Grover, F.W. The Calculation of the Mutual Inductance of Circular Filaments in Any Desired Positions. Proceedings of the I.R.E. October 1944, 620–629. [Google Scholar] [CrossRef]
- Conway, J.T. Inductance Calculations for Noncoaxial Coils Using Bessel Functions. IEEE Trans. Magn. 2007, 43, 1023–1034. [Google Scholar] [CrossRef]
- Conway, J.T. Noncoaxial Inductance Calculations Without the Vector Potential for Axisymmetric Coils and Planar Coils. IEEE Trans. Magn. 2008, 44, 453–462. [Google Scholar] [CrossRef]
- Conway, J.T. Inductance Calculations for Circular Coils of Rectangular Cross Section and Parallel Axes Using Bessel and Struve Functions. IEEE Trans. Magn. 2010, 46, 75–81. [Google Scholar] [CrossRef]
- Babic, S.; Salon, S.; Akyel, C. The Mutual Inductance of Two Thin Coaxial Disk Coils in Air. IEEE Trans. Magn. 2004, 40, 822–825. [Google Scholar] [CrossRef]
- Babic, S.; Akyel, C. New analytic-numerical solutions for the mutual inductance of two coaxial circular coils with rectangular cross section in air. IEEE Trans. Magn. 2006, 42, 1661–1669. [Google Scholar] [CrossRef]
- Babic, S.; Akyel, C. Magnetic Force Calculation Between Thin Coaxial Circular Coils in Air. IEEE Trans. Magn. 2008, 44, 445–452. [Google Scholar] [CrossRef]
- Babic, S.; et al. Mutual Inductance Calculation Between Circular Filaments Arbitrarily Positioned in Space: Alternative to Grover’s Formula. IEEE Trans. Magn. 2010, 46, 3591–3600. [Google Scholar] [CrossRef]
- Babic, S.; et al. New Formulas for Mutual Inductance and Axial Magnetic Force Between a Thin Wall Solenoid and a Thick Circular Coil of Rectangular Cross-Section. IEEE Trans. Magn. 2011, 47, 2034–2044. [Google Scholar] [CrossRef]
- Babic, S.; Akyel, C. New Formulas for Mutual Inductance and Axial Magnetic Force Between Magnetically Coupled Coils: Thick Circular Coil of the Rectangular Cross-Section-Thin Disk Coil (Pancake). IEEE Trans. Magn. 2013, 49, 860–868. [Google Scholar] [CrossRef]
- Babic, S.; et al. Mutual Inductance Calculation between Misalignment Coils for Wireless Power Transfer of Energy. Progress In Electromagnetics Research M. 2014, 38, 91–102. [Google Scholar] [CrossRef]
- Babic, S.; et al. The Analytical Formula for Calculating the Self-Inductance for the Circular Coil of the Rectangular Cross-Section with a Nonuniform Current Density. Progress In Electromagnetics Research M. 2021, 103, 15–23. [Google Scholar] [CrossRef]
- Župan, T.; Štih, Ž.; Trkulja, B. Fast and Precise Method for Inductance Calculation of Coaxial Circular Coils with Rectangular Cross Section Using the One-Dimensional Integration of Elementary Functions Applicable to Superconducting Magnets. IEEE Transactions on Applied Superconductivity 2014, 24, 4901309. [Google Scholar] [CrossRef]
- Zhang, X.; Meng, H.; Wie, B.; Wang, S.; Yang, Q. Mutual inductance calculation for coils with misalignment in wireless power transfer. J. Eng. 2019, 16, 1041–1044. [Google Scholar] [CrossRef]
- Alkasir, A. Analytical Modeling of Self- and Mutual Inductances of DD Coils in Wireless Power Transfer Applications. Journal of Electromagnetic Engineering and Science 2022, 22, 162–170. [Google Scholar] [CrossRef]
- Cheng, Y.; Shu, Y. A New Analytical Calculation of the Mutual Inductance of the Coaxial Spiral Rectangular Coils. IEEE Trans. Magn. 2014, 50, 7026806. [Google Scholar] [CrossRef]
- Ollendorff, F. Berechnung magnetischer Felder; Softcover reprint of the original 1st ed. 1952; Springer: Vienna, Austria, 2012; ISBN 9783709130254. [Google Scholar]
- Abramowitz, M.; Stegun, I. A. Handbook of Mathematical Functions: with Formulas, Graphs, and Mathematical Tables. Dover Books on Mathematics, 0009-Revised Edition, June 1, 1965. ISBN-13 978-0486612720.
- Mohan, S.S.; et al. Simple accurate expressions for planar spiral inductances. IEEE J. Solid-State Circuits 1999, 34, 1419–1424. [Google Scholar] [CrossRef]
- Hussain, I.; Woo, D.-K. Self-Inductance Calculation of the Archimedean Spiral Coil. Energies 2022, 15, 253. [Google Scholar] [CrossRef]
- Aditya, K. Analytical design of Archimedean spiral coils used in inductive power transfer for electric vehicles application. Electrical Engineering 2018. [Google Scholar] [CrossRef]
- May, H.; et al. Evaluation of the magnetic field – high temperature superconductor interactions. COMPEL: The International Journal for Computation and Mathematics in Electrical and Electronic Engineering 2004, 23, 286–304. [Google Scholar] [CrossRef]
- Patel, A.; et al. The Use of an MgB2 Hollow Cylinder and Pulse Magnetized (RE)BCO Bulk for Magnetic Levitation Applications. IEEE Transactions on Applied Superconductivity 2013, 23, 3. [Google Scholar] [CrossRef]
- Palka, R. Synthesis of Application-Optimized Air Gap Field Distributions in Synchronous Machines. Energies 2022, 15, 2322. [Google Scholar] [CrossRef]
- Sikora, R.; Palka, R. Synthesis of Magnetic-Fields. IEEE Trans. Magn. 1982, 18, 385–390. [Google Scholar] [CrossRef]
- Palka, R. Synthesis of magnetic fields by optimization of the shape of areas and source distributions. Electr. Eng. 1991, 75, 1–7. [Google Scholar] [CrossRef]















Disclaimer/Publisher’s Note: The statements, opinions and data contained in all publications are solely those of the individual author(s) and contributor(s) and not of MDPI and/or the editor(s). MDPI and/or the editor(s) disclaim responsibility for any injury to people or property resulting from any ideas, methods, instructions or products referred to in the content. |
© 2023 by the authors. Licensee MDPI, Basel, Switzerland. This article is an open access article distributed under the terms and conditions of the Creative Commons Attribution (CC BY) license (http://creativecommons.org/licenses/by/4.0/).