Submitted:
27 December 2023
Posted:
27 December 2023
You are already at the latest version
Abstract
Keywords:
1. Introduction
2. Materials and Methods
2.1. Experimental orchard
2.2. Olive bearing cycle
2.3. Monitoring of soil water content and meteorological parameters
2.4. Measurement of ecophysiological and hydrodynamic parameters
2.5. Leaf area measurements
2.6. Measurement of soluble sugars and starch concentration
2.7. Measurement of carbon stable isotope ratio
2.8. Statistical analysis
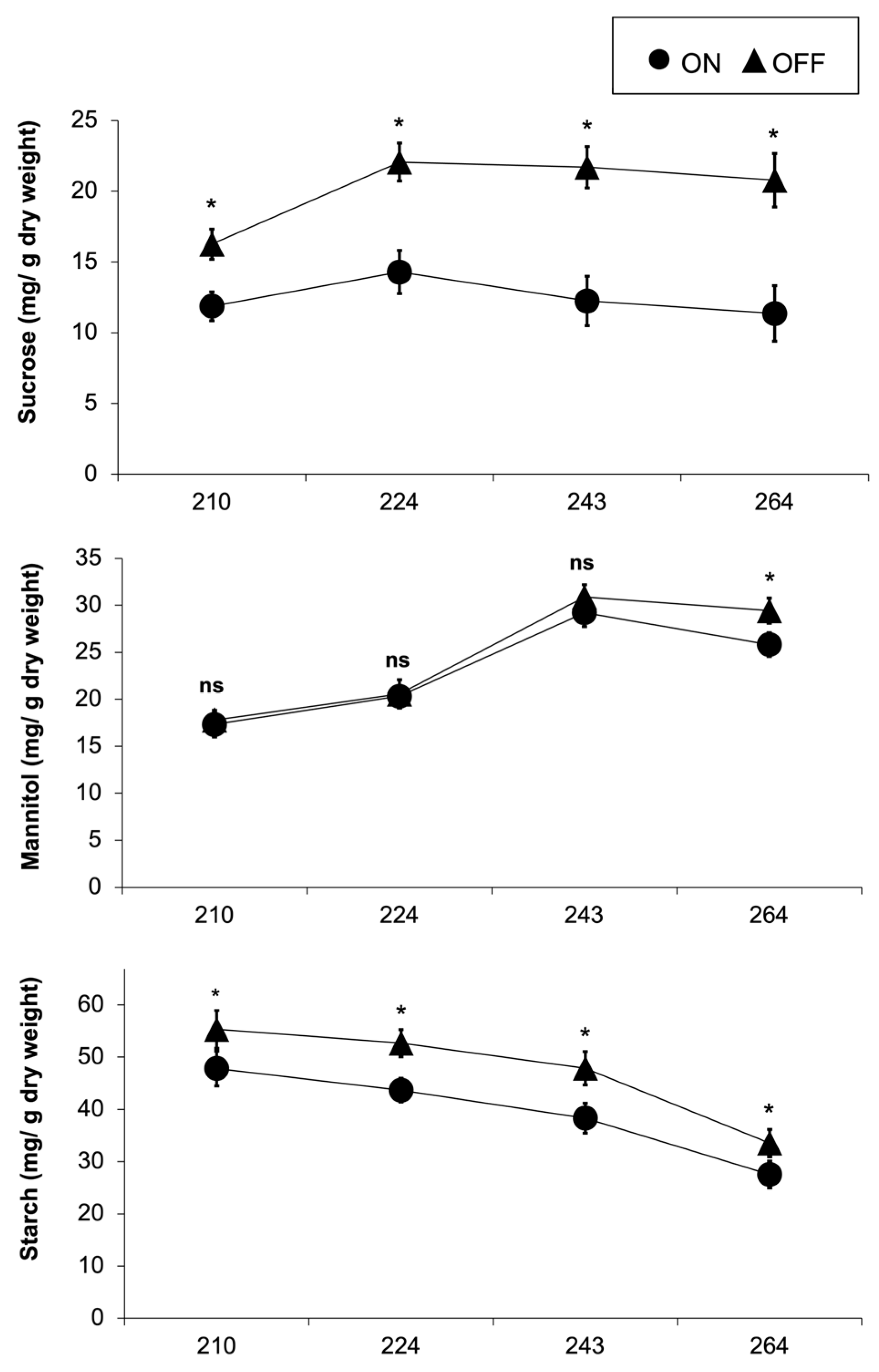
3. Results
3.1. Environmental parameters and tree growth pattern
3.2. Soil moisture content and sap flow dynamics
3.3. Assessment of plant water status

4. Discussion
5. Conclusions
Author Contributions
Data Availability Statement
Conflicts of Interest
References
- Steduto, P.; Hsiao, T.C.; Fereres, E.; Raes, D. Crop Yield Response to Water; FAO, 2012; ISBN 9789251072745.
- Famiani, F.; Farinelli, D.; Gardi, T.; Rosati, A. The Cost of Flowering in Olive (Olea Europaea L.). Sci Hortic 2019, 252, 268–273. [CrossRef]
- Smith, H.M.; Samach, A. Constraints to Obtaining Consistent Annual Yields in Perennial Tree Crops. I: Heavy Fruit Load Dominates over Vegetative Growth. Plant Science 2013, 207, 158–167. [CrossRef]
- Kozlowski, T.; Pallardy, S. Chapter 5: Photosynthesis. In Physiology of Woody Plants; Academic Press: San Diego, California, USA, 1997; pp. 87–133 ISBN 0-12-424162-X.
- Baïram, E.; leMorvan, C.; Delaire, M.; Buck-Sorlin, G. Fruit and Leaf Response to Different Source–Sink Ratios in Apple, at the Scale of the Fruit-Bearing Branch. Front Plant Sci 2019, 10. [CrossRef]
- Fan, P.G.; Li, L.S.; Duan, W.; Li, W.D.; Li, S.H. Photosynthesis of Young Apple Trees in Response to Low Sink Demand under Different Air Temperatures. Tree Physiol 2010, 30, 313–325. [CrossRef]
- Wünsche, J.N.; Greer, D.H.; Laing, W.A.; Palmer, J.W. Physiological and Biochemical Leaf and Tree Responses to Crop Load in Apple. Tree Physiol 2005, 25, 1253–1263. [CrossRef]
- Silber, A.; Israeli, Y.; Levi, M.; Keinan, A.; Chudi, G.; Golan, A.; Noy, M.; Levkovitch, I.; Narkis, K.; Naor, A.; et al. The Roles of Fruit Sink in the Regulation of Gas Exchange and Water Uptake: A Case Study for Avocado. Agric Water Manag 2013, 116, 21–28. [CrossRef]
- Andrade, D.; Covarrubias, M.P.; Benedetto, G.; Pereira, E.G.; Almeida, A.M. Differential Source–Sink Manipulation Affects Leaf Carbohydrate and Photosynthesis of Early- and Late-Harvest Nectarine Varieties. Theor Exp Plant Physiol 2019, 31, 341–356. [CrossRef]
- Wei, D.; Li, S.H.; Fan, P.G.; Wang, L.J.; Li, W.D.; Yan, S.T. Photosynthetic Response to Low Sink Demand after Fruit Removal in Relation to Photoinhibition and Photoprotection in Peach Trees. Tree Physiol 2008, 28, 123–132. [CrossRef]
- Nebauer, S.G.; Renau-Morata, B.; Guardiola, J.L.; Molina, R.V.; Pereira, J. Photosynthesis Down-Regulation Precedes Carbohydrate Accumulation under Sink Limitation in Citrus. Tree Physiol 2011, 31, 169–177. [CrossRef]
- Syvertsen, J.P.; Goñi, C.; Otero, A. Fruit Load and Canopy Shading Affect Leaf Characteristics and Net Gas Exchange of ‘Spring’ Navel Orange Trees. Tree Physiol 2003, 23, 899–906. [CrossRef]
- Greer, D.H. Short-Term Temperature Dependency of the Photosynthetic and PSII Photochemical Responses to Photon Flux Density of Leaves of Vitis Vinifera Cv. Shiraz Vines Grown in Field Conditions with and without Fruit. Functional Plant Biology 2019, 46, 634–648. [CrossRef]
- Greer, D.H. Changes in the Temperature-Dependency of the Photosynthetic Response to Chloroplast CO2 Concentrations of Outdoor-Grown Vitis Vinifera Cv. Shiraz Vines with a Mid-Season Crop Removal. Environ Exp Bot 2020, 169, 103914. [CrossRef]
- Naor, A.; Gal, Y.; Bravdo, B. Crop Load Affects Assimilation Rate, Stomatal Conductance, Stem Water Potential and Water Relations of Field-Grown Sauvignon Blanc Grapevines; 1997; Vol. 48;
- Haouari, A.; Van Labeke, M.-C.; Steppe, K.; Mariem, F. Ben; Braham, M.; Chaieb, M. Fruit Thinning Affects Photosynthetic Activity, Carbohydrate Levels, and Shoot and Fruit Development of Olive Trees Grown under Semiarid Conditions. Functional Plant Biology 2013, 40, 1179–1186. [CrossRef]
- Perez-Arcoiza, A.; Diaz-Espejo, A.; Fernandez-Torres, R.; Perez-Romero, L.F.; Hernandez-Santana, V. Dual Effect of the Presence of Fruits on Leaf Gas Exchange and Water Relations of Olive Trees. Tree Physiol 2023, 43, 277–287. [CrossRef]
- Proietti, P.; Nasini, L.; Famiani, F. Effect of Different Leaf-to-Fruit Ratios on Photosynthesis and Fruit Growth in Olive (Olea Europaea L.); 2006; Vol. 44. [CrossRef]
- Rosati, A.; Paoletti, A.; Al Hariri, R.; Morelli, A.; Famiani, F. Resource Investments in Reproductive Growth Proportionately Limit Investments in Whole-Tree Vegetative Growth in Young Olive Trees with Varying Crop Loads. Tree Physiol 2018, 38, 1267–1277. [CrossRef]
- Kasai, M. Regulation of Leaf Photosynthetic Rate Correlating with Leaf Carbohydrate Status and Activation State of Rubisco under a Variety of Photosynthetic Source/Sink Balances. Physiol Plant 2008, 134, 216–226. [CrossRef]
- Körner, C. Carbon Limitation in Trees. Journal of Ecology 2003, 91, 4–17. [CrossRef]
- Bustan, A.; Avni, A.; Lavee, S.; Zipori, I.; Yeselson, Y.; Schaffer, A.A.; Riov, J.; Dag, A. Role of Carbohydrate Reserves in Yield Production of Intensively Cultivated Oil Olive (Olea Europaea L.) Trees. Tree Physiol 2011, 31, 519–530. [CrossRef]
- Gómez-González, S.; Ruiz-Jiménez, J.; Priego-Capote, F.; Luque de Castro, M.D. Qualitative and Quantitative Sugar Profiling in Olive Fruits, Leaves, and Stems by Gas Chromatography−Tandem Mass Spectrometry (GC-MS/MS) after Ultrasound-Assisted Leaching. J Agric Food Chem 2010, 58, 12292–12299. [CrossRef]
- Connor, D.J.; Fereres, E. The Physiology of Adaptation and Yield Expression in Olive. In Horticultural Reviews; 2005; Vol. 31, pp. 155–229 ISBN 9780470650882.
- Mpelasoka, B.; Behboudian, M.H.; Mills, T. Water Relations, Photosynthesis, Growth, Yield and Fruit Size of ‘Braeburn’ Apple: Responses to Deficit Irrigation and to Crop Load. J Hortic Sci Biotechnol 2001, 76, 150–156. [CrossRef]
- Naor, A.; Naschitz, S.; Peres, M.; Gal, Y. Responses of Apple Fruit Size to Tree Water Status and Crop Load. Tree Physiol 2008, 28, 1255–1261. [CrossRef]
- Naor, A.; Hupert, H.; Greenblat, Y.; Peres, M.; Kaufman, A.; Klein, I. The Response of Nectarine Fruit Size and Midday Stem Water Potential to Irrigation Level in Stage III and Crop Load. Journal of the American Society for Horticultural Science 2001, 126, 140–143. [CrossRef]
- Marsal, J.; Girona, J. Relationship between Leaf Water Potential and Gas Exchange Activity at Different Phenological Stages and Fruit Loads in Peach Trees. Journal of the American Society for Horticultural Science 1997, 122, 415–421. [CrossRef]
- Intrigliolo, D.S.; Castel, J.R. Crop Load Affects Maximum Daily Trunk Shrinkage of Plum Trees. Tree Physiol 2007, 27, 89–96. [CrossRef]
- Conejero, W.; Ortuño, M.F.; Mellisho, C.D.; Torrecillas, A. Influence of Crop Load on Maximum Daily Trunk Shrinkage Reference Equations for Irrigation Scheduling of Early Maturing Peach Trees. Agric Water Manag 2010, 97, 333–338. [CrossRef]
- Naor, A.; Schneider, D.; Ben-Gal, A.; Zipori, I.; Dag, A.; Kerem, Z.; Birger, R.; Peres, M.; Gal, Y. The Effects of Crop Load and Irrigation Rate in the Oil Accumulation Stage on Oil Yield and Water Relations of “Koroneiki” Olives. Irrig Sci 2013, 31, 781–791. [CrossRef]
- Bustan, A.; Dag, A.; Yermiyahu, U.; Erel, R.; Presnov, E.; Agam, N.; Kool, D.; Iwema, J.; Zipori, I.; Ben-Gal, A. Fruit Load Governs Transpiration of Olive Trees. Tree Physiol 2016, 36, 380–391. [CrossRef]
- Gucci, R.; Lodolini, E.; Rapoport, H.F. Productivity of Olive Trees with Different Water Status and Crop Load. Journal of Horticultural Science and Biotechnology 2007, 82, 648–656. [CrossRef]
- Trentacoste, E.R.; Sadras, V.O.; Puertas, C.M. Effects of the Source:Sink Ratio on the Phenotypic Plasticity of Stem Water Potential in Olive (Olea Europaea L.). J Exp Bot 2011, 62, 3535–3543. [CrossRef]
- Fernández, J.E. Understanding Olive Adaptation to Abiotic Stresses as a Tool to Increase Crop Performance. Environ Exp Bot 2014, 103, 158–179. [CrossRef]
- Fernández, J.E.; Diaz-espejo, A.; Romero, R.; Hernandez-santana, V.; García, J.M.; Padilla-díaz, C.M.; Cuevas, M. V Precision Irrigation in Olive (Olea Europaea L.) Tree Orchards. In Water scaricity and Sustainable Agriculture in Semiarid environment; Garcia Tejero, I., Duaran Zuazo, V., Eds.; AcademicPress, 2018; pp. 179–217 ISBN 9780128131640.
- Allen, R.G.; Pereira, L.S.; Raes, D.; Smith, M. FAO Irrigation and Drainage Paper No. 56 - Crop Evapotranspiration; 1998;
- Kokkotos, E.; Zotos, A.; Patakas, A. Evaluation of Water Stress Coefficient Ks in Different Olive Orchards. Agronomy 2020, 10, 11. [CrossRef]
- Rallo, G.; Baiamonte, G.; Manzano Juárez, J.; Provenzano, G. Improvement of FAO-56 Model to Estimate Transpiration Fluxes of Drought Tolerant Crops under Soil Water Deficit: Application for Olive Groves. Journal of Irrigation and Drainage Engineering 2014, 140. [CrossRef]
- Xiloyannis, C.; Montanaro, G.; Dichio, B. Irrigation in Mediterranean Fruit Tree Orchards. In Irrigation systems and practices in challenging environments; Lee, T.S., Ed.; InTech, 2012 ISBN 978-95351-0420-9.
- Lang, A.R.G. Osmotic Coefficients and Water Potentials of Sodium Chloride Solutions from 0 to 40°C. Aust J Chem 1967, 20, 2017–2023. [CrossRef]
- Ahumada-Orellana, L.; Ortega-Farías, S.; Poblete-Echeverría, C.; Searles, P.S. Estimation of Stomatal Conductance and Stem Water Potential Threshold Values for Water Stress in Olive Trees (Cv. Arbequina). Irrig Sci 2019, 37, 461–467. [CrossRef]
- Fernandez, J.E.; Palomo, M.J.; Diaz-Espejo, A.; Clothier, B.E.; Green, S.R.; Giron, I.F.; Moreno, F. Heat-Pulse Measurements of Sap Flow in Olives for Automating Irrigation: Tests, Root Ow and Diagnostics of Water Stress. Agric Water Manag 2001, 51, 99–123. [CrossRef]
- Burgess, S.S.O.; Adams, M.A.; Turner, N.C.; Beverly, C.R.; Ong, C.K.; Khan, A.A.H.; Bleby, T.M. An Improved Heat Pulse Method to Measure Low and Reverse Rates of Sap Flow in Woody Plants. Tree Physiol 2001, 21, 589–598. [CrossRef]
- Nadezhdina, N.; Nadezhdin, V.; Ferreira, M.I.; Pitacco, A. Variability with Xylem Depth in Sap Flow in Trunks and Branches of Mature Olive Trees. Tree Physiol 2007, 27, 105–113. [CrossRef]
- López-Bernal, Á.; Alcántara, E.; Testi, L.; Villalobos, F.J. Spatial Sap Flow and Xylem Anatomical Characteristics in Olive Trees under Different Irrigation Regimes. Tree Physiol 2010, 30, 1536–1544. [CrossRef]
- Moreno, F.; Fernández, J.E.; Clothier, B.E.; Green, S.R. Transpiration and Root Water Uptake by Olive Trees. Plant Soil 1996, 184, 85–96. [CrossRef]
- Fuentes, S.; Mahadevan, M.; Bonada, M.; Skewes, M.A.; Cox, J.W. Night-Time Sap Flow Is Parabolically Linked to Midday Water Potential for Field-Grown Almond Trees. Irrig Sci 2013, 31, 1265–1276. [CrossRef]
- López-Bernal, Á.; García-Tejera, O.; Vega, V.A.; Hidalgo, J.C.; Testi, L.; Orgaz, F.; Villalobos, F.J. Using Sap Flow Measurements to Estimate Net Assimilation in Olive Trees under Different Irrigation Regimes. Irrig Sci 2015, 33, 357–366. [CrossRef]
- Hernandez-Santana, V.; Fernández, J.E.; Rodriguez-Dominguez, C.M.; Romero, R.; Diaz-Espejo, A. The Dynamics of Radial Sap Flux Density Reflects Changes in Stomatal Conductance in Response to Soil and Air Water Deficit. Agric For Meteorol 2016, 218–219, 92–101. [CrossRef]
- Villalobos, F.J.; Orgaz, F.; Mateos, L. Non-Destructive Measurement of Leaf Area in Olive (Olea Europaea L.) Trees Using a Gap Inversion Method. Agric For Meteorol 1995, 73, 29–42. [CrossRef]
- Kokkotos, E.; Zotos, A.; Tsirogiannis, G.; Patakas, A. Prediction of Olive Tree Water Requirements under Limited Soil Water Availability, Based on Sap Flow Estimations. Agronomy 2021, 11. [CrossRef]
- Diaz-Espejo, A.; Buckley, T.N.; Sperry, J.S.; Cuevas, M. v; de Cires, A.; Elsayed-Farag, S.; Martin-Palomo, M.J.; Muriel, J.L.; Perez-Martin, A.; Rodriguez-Dominguez, C.M.; et al. Steps toward an Improvement in Process-Based Models of Water Use by Fruit Trees: A Case Study in Olive. Agric Water Manag 2012, 114, 37–49. [CrossRef]
- Ma, B.; Chen, J.; Zheng, H.; Fang, T.; Ogutu, C.; Li, S.; Han, Y.; Wu, B. Comparative Assessment of Sugar and Malic Acid Composition in Cultivated and Wild Apples. Food Chem 2015, 172, 86–91. [CrossRef]
- Schaffer, A.A.; Nerson, H.; Zamski, E. Premature Leaf Chlorosis in Cucumber Associated with High Starch Accumulation. J Plant Physiol 1991, 138, 186–190. [CrossRef]
- Thomatou, A.A.; Psarra, E.; Mazarakioti, E.C.; Katerinopoulou, K.; Tsirogiannis, G.; Zotos, A.; Kontogeorgos, A.; Patakas, A.; Ladavos, A. Stable Isotope Analysis for the Discrimination of the Geographical Origin of Greek Bottarga ‘Avgotaracho Messolongiou’: A Preliminary Research. Foods 2022, 11. [CrossRef]
- Miserere, A.; Searles, P.S.; Manchó, G.; Maseda, P.H.; Rousseaux, M.C. Sap Flow Responses to Warming and Fruit Load in Young Olive Trees. Front Plant Sci 2019, 10, 1–13. [CrossRef]
- Blanke, M.M. Regulatory Mechanisms in Source Sink Relationships in Plants-a Review. In Proceedings of the International Symposium on Source-Sink Relationships in Plants; Ron’zhina, E.S., Blanke, M., Eds.; ISHS, Acta Horticulturae 835, 2007; pp. 13–20.
- Martín-Vertedor, A.I.; Rodríguez, J.M.P.; Losada, H.P.; Castiel, E.F. Interactive Responses to Water Deficits and Crop Load in Olive (Olea Europaea L., Cv. Morisca). II: Water Use, Fruit and Oil Yield. Agric Water Manag 2011, 98, 950–958. [CrossRef]
- Sandras, V.O.; Collins, M.; Soar, C.J. Modelling Variety-Dependent Dynamics of Soluble Solids and Water in Berries of Vitis Vinifera. Aust J Grape Wine Res 2008, 14, 250–259. [CrossRef]
- Damatta, F.M.; Cunha, R.L.; Antunes, W.C.; Martins, S.C. V; Araujo, W.L.; Fernie, A.R.; Moraes, G.A.B.K.; Damatta, F.M. In Field-Grown Coffee Trees Source-Sink Manipulation Alters Photosynthetic Rates, Independently of Carbon Metabolism, via Alterations in Stomatal Function. 2008.
- Girona, J.; Behboudian, M.H.; Mata, M.; Del Campo, J.; Marsal, J. Exploring Six Reduced Irrigation Options under Water Shortage for ‘Golden Smoothee’ Apple: Responses of Yield Components over Three Years. Agric Water Manag 2010, 98, 370–375. [CrossRef]
- Naschitz, S.; Naor, A.; Genish, S.; Wolf, S.; Goldschmidt, E.E. Internal Management of Non-Structural Carbohydrate Resources in Apple Leaves and Branch Wood under a Broad Range of Sink and Source Manipulations. Tree Physiol 2010, 30, 715–727. [CrossRef]
- Lopez, G.; Mata, M.; Arbones, A.; Solans, J.R.; Girona, J.; Marsal, J. Mitigation of Effects of Extreme Drought during Stage III of Peach Fruit Development by Summer Pruning and Fruit Thinning. Tree Physiol 2006, 26, 469–477. [CrossRef]
- Dichio, B.; Xiloyannis, C.; Angelopoulos, K.; Nuzzo, V.; Bufo, S.A.; Celano, G. Drought-Induced Variations of Water Relations Parameters in Olea Europaea. Plant Soil 2003, 257, 381–389. [CrossRef]
- Moriana, A.; Orgaz, F.; Pastor, M.; Fereres, E. Yield Responses of a Mature Olive Orchard to Water Deficits. Journal of the American Society for Horticultural Science jashs 2003, 128, 425–431. [CrossRef]
- Angelopoulos, K.; Dichio, B.; Xiloyannis, C. Inhibition of Photosynthesis in Olive Trees (Olea Europaea L.) during Water Stress and Rewatering. 1996, 47, 1093–1100.
- Naor, A. Irrigation Scheduling and Evaluation of Tree Water Status in Deciduous Orchards. In Horticultural Reviews; 2006; pp. 111–165 ISBN 9780470767986.
- Drossopoulos, J.B.; Niavis, C.A. Seasonal Changes of the Metabolites in the Leaves, Bark and Xylem Tissues of Olive Tree (Olea Europaea. L) II. Carbohydrates. Ann Bot 1988, 62, 321–327. [CrossRef]
- Li, W.D.; Li, S.H.; Yang, S.H.; Yang, J.M.; Zheng, X.B.; Li, X.D.; Yao, H.M. Photosynthesis in Response to Sink-Source Manipulations during Different Phenological Stages of Fruit Development in Peach Trees: Regulation by Stomatal Aperture and Leaf Temperature. J Hortic Sci Biotechnol 2005, 80, 481–487. [CrossRef]
- Smirnoff, N. Plant Resistance to Environmental Stress. Curr Opin Biotechnol 1998, 9, 214–219. [CrossRef]
- Stoop, J.M.H.; Williamson, J.D.; Mason Pharr, D. Mannitol Metabolism in Plants: A Method for Coping with Stress. Trends Plant Sci 1996, 1, 139–144. [CrossRef]
- Ainsworth, E.A.; Rogers, A.; Nelson, R.; Long, S.P. Testing the “Source–Sink” Hypothesis of down-Regulation of Photosynthesis in Elevated [CO2] in the Field with Single Gene Substitutions in Glycine Max. Agric For Meteorol 2004, 122, 85–94. [CrossRef]
- Sugiura, D.; Betsuyaku, E.; Terashima, I. Interspecific Differences in How Sink-Source Imbalance Causes Photosynthetic Downregulation among Three Legume Species. Ann Bot 2019, 123, 715–726. [CrossRef]
- Sugiura, D.; Betsuyaku, E.; Terashima, I. Manipulation of the Hypocotyl Sink Activity by Reciprocal Grafting of Two Raphanus Sativus Varieties: Its Effects on Morphological and Physiological Traits of Source Leaves and Whole-Plant Growth. Plant Cell Environ 2015, 38, 2629–2640. [CrossRef]
- Sugiura, D.; Watanabe, C.K.A.; Betsuyaku, E.; Terashima, I. Sink–Source Balance and Down-Regulation of Photosynthesis in Raphanus Sativus: Effects of Grafting, N and CO2. Plant Cell Physiol 2017, 58, 2043–2056. [CrossRef]
- Farquhar, G.D.; O’Leary, M.H.; Berry, J.A. On the Relationship Between Carbon Isotope Discrimination and the Intercellular Carbon Dioxide Concentration in Leaves. Functional Plant Biology 1982, 9, 121–137. [CrossRef]
- Evans, J.R.; Caemmerer, S. V; Setchell, B.A.; Hudson, G.S. The Relationship Between CO2 Transfer Conductance and Leaf Anatomy in Transgenic Tobacco With a Reduced Content of Rubisco. Functional Plant Biology 1994, 21, 475–495. [CrossRef]
- Ding, N.; Chen, Q.; Zhu, Z.; Peng, L.; Ge, S.; Jiang, Y. Effects of Crop Load on Distribution and Utilization of 13C and 15N and Fruit Quality for Dwarf Apple Trees. Sci Rep 2017, 7, 14172. [CrossRef]









| Experimental year | Fruit production (kg/hectare) | LAI | Average ETo (mm) from DOY 204 to DOY 278 |
|---|---|---|---|
| 2021 | 3430±158 | 2.80 | 5.22±0.13 |
| 2022 | 20400±325* | 2.82ns | 4.83±0.12* |
Disclaimer/Publisher’s Note: The statements, opinions and data contained in all publications are solely those of the individual author(s) and contributor(s) and not of MDPI and/or the editor(s). MDPI and/or the editor(s) disclaim responsibility for any injury to people or property resulting from any ideas, methods, instructions or products referred to in the content. |
© 2023 by the authors. Licensee MDPI, Basel, Switzerland. This article is an open access article distributed under the terms and conditions of the Creative Commons Attribution (CC BY) license (http://creativecommons.org/licenses/by/4.0/).
