Submitted:
24 December 2023
Posted:
26 December 2023
Read the latest preprint version here
Abstract
Keywords:
Background
Non-invasive electrical stimulation for priming cerebral hemodynamics (by Yashika Arora and Marcel Stefanski)
Discussion on tES implications in type 2 Diabetes and dementia (by Anirban Dutta)
References
- Antal, A., and Paulus, W. (2013). Transcranial alternating current stimulation (tACS). Frontiers in Human Neuroscience 7. Available at: https://www.frontiersin.org/articles/10.3389/fnhum.2013.00317 [Accessed December 19, 2023].
- Arora, Y., and Dutta, A. (2022). Human-in-the-Loop Optimization of Transcranial Electrical Stimulation at the Point of Care: A Computational Perspective. Brain Sciences 12, 1294. [CrossRef]
- Arora, Y., and Dutta, A. (2023). Perspective: Disentangling the effects of tES on neurovascular unit. Frontiers in Neurology 13. Available at: https://www.frontiersin.org/articles/10.3389/fneur.2022.1038700 [Accessed June 2, 2023].
- Arora, Y., Walia, P., Hayashibe, M., Muthalib, M., Chowdhury, S. R., Perrey, S., et al. (2021). Grey-box modeling and hypothesis testing of functional near-infrared spectroscopy-based cerebrovascular reactivity to anodal high-definition tDCS in healthy humans. PLOS Computational Biology 17, e1009386. [CrossRef]
- Bergmann, TO., Groppa, S., Seeger, M., Mölle, M., Marshall, L., and Siebner, H. R. (2009). Acute changes in motor cortical excitability during slow oscillatory and constant anodal transcranial direct current stimulation. J Neurophysiol 102, 2303–2311. [CrossRef]
- Davidson, S., Allenback, G., Decourt, B., and Sabbagh, M. N. (2023). Type 2 Diabetes Comorbidity and Cognitive Decline in Patients with Alzheimer’s Disease. J Alzheimers Dis 95, 1573–1584. [CrossRef]
- Deshpande, A. D., Harris-Hayes, M., and Schootman, M. (2008). Epidemiology of diabetes and diabetes-related complications. Phys Ther 88, 1254–1264. [CrossRef]
- Doneddu, A., Roberto, S., Pinna, V., Magnani, S., Ghiani, G., Sainas, G., et al. (2020). Effect of Combined Mental Task and Metaboreflex Activation on Hemodynamics and Cerebral Oxygenation in Patients With Metabolic Syndrome. Front Physiol 11, 397. [CrossRef]
- Dutta, A. (2015). Bidirectional interactions between neuronal and hemodynamic responses to transcranial direct current stimulation (tDCS): challenges for brain-state dependent tDCS. Front Syst Neurosci 9, 107. [CrossRef]
- Dutta, A. (2021a). Simultaneous functional near-infrared spectroscopy (fNIRS) and electroencephalogram (EEG) to elucidate neurovascular modulation by transcranial electrical stimulation (tES). Brain Stimul 14, 1093–1094. [CrossRef]
- Dutta, A. (2021b). Simultaneous functional near-infrared spectroscopy (fNIRS) and electroencephalogram (EEG) to elucidate neurovascular modulation by transcranial electrical stimulation (tES). Brain Stimulation 14, 1093–1094. [CrossRef]
- Dutta, A., Zhao, F., Cheung, M., Das, A., Tomita, M., and Chatterjee, K. (2021). Cerebral and muscle near-infrared spectroscopy during lower-limb muscle activity – volitional and neuromuscular electrical stimulation. in 2021 43rd Annual International Conference of the IEEE Engineering in Medicine & Biology Society (EMBC), 6577–6580. [CrossRef]
- Faghih, M. M., and Sharp, M. K. (2018). Is bulk flow plausible in perivascular, paravascular and paravenous channels? Fluids and Barriers of the CNS 15, 17. [CrossRef]
- Fierstra, J., Sobczyk, O., Battisti-Charbonney, A., Mandell, D. M., Poublanc, J., Crawley, A. P., et al. (2013). Measuring cerebrovascular reactivity: what stimulus to use? J Physiol 591, 5809–5821. [CrossRef]
- Gama, G., Farinatti, P., Rangel, M. V. D. S., Mira, P. A. de C., Laterza, M. C., Crisafulli, A., et al. (2021). Muscle metaboreflex adaptations to exercise training in health and disease. Eur J Appl Physiol 121, 2943–2955. [CrossRef]
- GBD 2016 Dementia Collaborators (2019). Global, regional, and national burden of Alzheimer’s disease and other dementias, 1990-2016: a systematic analysis for the Global Burden of Disease Study 2016. Lancet Neurol 18, 88–106. [CrossRef]
- Guhathakurta, D., and Dutta, A. (2016). Computational Pipeline for NIRS-EEG Joint Imaging of tDCS-Evoked Cerebral Responses—An Application in Ischemic Stroke. Front. Neurosci. 10. [CrossRef]
- Guleyupoglu, B., Schestatsky, P., Edwards, D., Fregni, F., and Bikson, M. (2013). Classification of methods in transcranial Electrical Stimulation (tES) and evolving strategy from historical approaches to contemporary innovations. J Neurosci Methods 219, 10.1016/j.jneumeth.2013.07.016. [CrossRef]
- Helfrich, R. F., Schneider, T. R., Rach, S., Trautmann-Lengsfeld, S. A., Engel, A. K., and Herrmann, C. S. (2014). Entrainment of Brain Oscillations by Transcranial Alternating Current Stimulation. Current Biology 24, 333–339. [CrossRef]
- Kim, Y.-K., Nam, K. I., and Song, J. (2018). The Glymphatic System in Diabetes-Induced Dementia. Front Neurol 9, 867. [CrossRef]
- Kim, Y.-S., Seifert, T., Brassard, P., Rasmussen, P., Vaag, A., Nielsen, H. B., et al. (2015). Impaired cerebral blood flow and oxygenation during exercise in type 2 diabetic patients. Physiol Rep 3, e12430. [CrossRef]
- Knotkova, H., Nitsche, M. A., Bikson, M., and Woods, A. J. eds. (2019). Practical Guide to Transcranial Direct Current Stimulation: Principles, Procedures and Applications. Cham: Springer International Publishing. [CrossRef]
- Korte, N., James, G., You, H., Hirunpattarasilp, C., Christie, I., Sethi, H., et al. (2023). Noradrenaline released from locus coeruleus axons contracts cerebral capillary pericytes via α2 adrenergic receptors. J Cereb Blood Flow Metab 43, 1142–1152. [CrossRef]
- Lee, K. Y., Sohn, Y. H., Baik, J. S., Kim, G. W., and Kim, J.-S. (2000). Arterial Pulsatility as an Index of Cerebral Microangiopathy in Diabetes. Stroke 31, 1111–1115. [CrossRef]
- Li, C., Wang, Y., Yan, X., Guo, Z., and Yang, Y. (2021). Pathological changes in neurovascular units: Lessons from cases of vascular dementia. CNS Neurosci Ther 27, 17–25. [CrossRef]
- Li, Z., Zhang, M., Xin, Q., Luo, S., Cui, R., Zhou, W., et al. (2013). Age-Related Changes in Spontaneous Oscillations Assessed by Wavelet Transform of Cerebral Oxygenation and Arterial Blood Pressure Signals. J Cereb Blood Flow Metab 33, 692–699. [CrossRef]
- Machado, D. G. da S., Unal, G., Andrade, S. M., Moreira, A., Altimari, L. R., Brunoni, A. R., et al. (2019). Effect of transcranial direct current stimulation on exercise performance: A systematic review and meta-analysis. Brain Stimul 12, 593–605. [CrossRef]
- Modal Analysis - 1st Edition (n.d.). Available at: https://shop.elsevier.com/books/modal-analysis/fu/978-0-7506-5079-3 [Accessed December 19, 2023].
- Modal Analysis for Damage Detection in Structures | Semantic Scholar (n.d.). Available at: https://www.semanticscholar.org/paper/Modal-Analysis-for-Damage-Detection-in-Structures-Hearn-Testa/38a4691979855d965640f076820b6acc406feae9 [Accessed December 19, 2023].
- Nesti, L., Pugliese, N. R., Sciuto, P., and Natali, A. (2020). Type 2 diabetes and reduced exercise tolerance: a review of the literature through an integrated physiology approach. Cardiovasc Diabetol 19, 134. [CrossRef]
- Ngandu, T., Lehtisalo, J., Solomon, A., Levälahti, E., Ahtiluoto, S., Antikainen, R., et al. (2015). A 2 year multidomain intervention of diet, exercise, cognitive training, and vascular risk monitoring versus control to prevent cognitive decline in at-risk elderly people (FINGER): a randomised controlled trial. Lancet 385, 2255–2263. [CrossRef]
- Nichols, E., Steinmetz, J. D., Vollset, S. E., Fukutaki, K., Chalek, J., Abd-Allah, F., et al. (2022). Estimation of the global prevalence of dementia in 2019 and forecasted prevalence in 2050: an analysis for the Global Burden of Disease Study 2019. The Lancet Public Health 7, e105–e125. 2050. [CrossRef]
- Ogoh, S., and Tarumi, T. (2019). Cerebral blood flow regulation and cognitive function: a role of arterial baroreflex function. J Physiol Sci 69, 813–823. [CrossRef]
- Overview | Dementia: assessment, management and support for people living with dementia and their carers | Guidance | NICE (2018). Available at: https://www.nice.org.uk/guidance/ng97 [Accessed December 19, 2023].
- Pal, K., Mukadam, N., Petersen, I., and Cooper, C. (2018). Mild cognitive impairment and progression to dementia in people with diabetes, prediabetes and metabolic syndrome: a systematic review and meta-analysis. Soc Psychiatry Psychiatr Epidemiol 53, 1149–1160. [CrossRef]
- Paulus, W. (2011). Transcranial electrical stimulation (tES – tDCS; tRNS, tACS) methods. Neuropsychological Rehabilitation 21, 602–617. [CrossRef]
- Petersen, R. C., Smith, G. E., Waring, S. C., Ivnik, R. J., Tangalos, E. G., and Kokmen, E. (1999). Mild cognitive impairment: clinical characterization and outcome. Arch Neurol 56, 303–308. [CrossRef]
- Piccirillo, G., Ottaviani, C., Fiorucci, C., Petrocchi, N., Moscucci, F., Di Iorio, C., et al. (2016). Transcranial direct current stimulation improves the QT variability index and autonomic cardiac control in healthy subjects older than 60 years. Clin Interv Aging 11, 1687–1695. [CrossRef]
- Pinti, P., Tachtsidis, I., Hamilton, A., Hirsch, J., Aichelburg, C., Gilbert, S., et al. (2020). The present and future use of functional near-infrared spectroscopy (fNIRS) for cognitive neuroscience. Annals of the New York Academy of Sciences 1464, 5–29. [CrossRef]
- Roberto, S., Milia, R., Doneddu, A., Pinna, V., Palazzolo, G., Serra, S., et al. (2019). Hemodynamic abnormalities during muscle metaboreflex activation in patients with type 2 diabetes mellitus. J Appl Physiol (1985) 126, 444–453. [CrossRef]
- Rogers, G. (2000). “Modal Analysis for Control,” in Power System Oscillations The Springer International Series in Engineering and Computer Science., ed. G. Rogers (Boston, MA: Springer US), 75–100. [CrossRef]
- Sheng, Y., and Zhu, L. (2018). The crosstalk between autonomic nervous system and blood vessels. Int J Physiol Pathophysiol Pharmacol 10, 17–28.
- Shin, D. W., Fan, J., Luu, E., Khalid, W., Xia, Y., Khadka, N., et al. (2020). In Vivo Modulation of the Blood-Brain Barrier Permeability by Transcranial Direct Current Stimulation (tDCS). Ann Biomed Eng 48, 1256–1270. [CrossRef]
- Silver, I. A., and Erecińska, M. (1994). Extracellular glucose concentration in mammalian brain: continuous monitoring of changes during increased neuronal activity and upon limitation in oxygen supply in normo-, hypo-, and hyperglycemic animals. J Neurosci 14, 5068–5076. [CrossRef]
- Sood, M., Besson, P., Muthalib, M., Jindal, U., Perrey, S., Dutta, A., et al. (2016). NIRS-EEG joint imaging during transcranial direct current stimulation: Online parameter estimation with an autoregressive model. J. Neurosci. Methods 274, 71–80. [CrossRef]
- Tachtsidis, I., and Scholkmann, F. (2016). False positives and false negatives in functional near-infrared spectroscopy: issues, challenges, and the way forward. Neurophotonics 3. [CrossRef]
- Tarumi, T., de Jong, D. L. K., Zhu, D. C., Tseng, B. Y., Liu, J., Hill, C., et al. (2015). Central artery stiffness, baroreflex sensitivity, and brain white matter neuronal fiber integrity in older adults. Neuroimage 110, 162–170. [CrossRef]
- Tyni-Lenné, R., Gordon, A., Europe, E., Jansson, E., and Sylven, C. (1998). Exercise-based rehabilitation improves skeletal muscle capacity, exercise tolerance, and quality of life in both women and men with chronic heart failure. Journal of Cardiac Failure 4, 9–17. [CrossRef]
- Vieira, P. G., Krause, M. R., and Pack, C. C. (2020). tACS entrains neural activity while somatosensory input is blocked. PLOS Biology 18, e3000834. [CrossRef]
- Wang, L., Yoshikawa, T., Hara, T., Nakao, H., Suzuki, T., and Fujimoto, S. (2006). Which common NIRS variable reflects muscle estimated lactate threshold most closely? Appl Physiol Nutr Metab 31, 612–620. [CrossRef]
- Wiehler, A., Branzoli, F., Adanyeguh, I., Mochel, F., and Pessiglione, M. (2022). A neuro-metabolic account of why daylong cognitive work alters the control of economic decisions. Current Biology 32, 3564-3575.e5. [CrossRef]
- Wu, G.-R., Colenbier, N., Van Den Bossche, S., Clauw, K., Johri, A., Tandon, M., et al. (2021). rsHRF: A toolbox for resting-state HRF estimation and deconvolution. NeuroImage 244, 118591. [CrossRef]
- Yücel, M. A., Selb, J., Aasted, C. M., Petkov, M. P., Becerra, L., Borsook, D., et al. (2015). Short separation regression improves statistical significance and better localizes the hemodynamic response obtained by near-infrared spectroscopy for tasks with differing autonomic responses. Neurophotonics 2, 035005. [CrossRef]
- Yufu, K., Okada, N., Ebata, Y., Murozono, Y., Shinohara, T., Nakagawa, M., et al. (2014). Plasma norepinephrine is an independent predictor of adverse cerebral and cardiovascular events in type 2 diabetic patients without structural heart disease. Journal of Cardiology 64, 225–230. [CrossRef]
- Zhao, F., Cheung, M., Dutta, A., Fisher, N., and Tomita, M. (2019). Exercises to Determine Older Adults’ Muscle Oxygenation Change Rate by Various Physical Performance Levels. Archives of Physical Medicine and Rehabilitation 100, e178–e179. [CrossRef]
- Zhao, F., Tomita, M., and Dutta, A. (2023). Operational Modal Analysis of Near-Infrared Spectroscopy Measure of 2-Month Exercise Intervention Effects in Sedentary Older Adults with Diabetes and Cognitive Impairment. Brain Sci 13, 1099. [CrossRef]
- Zhao, F., Tomita, M. R., and Dutta, A. (2022). Functional near-infrared spectroscopy of prefrontal cortex during memory encoding and recall in elderly with type 2 diabetes mellitus. Annu Int Conf IEEE Eng Med Biol Soc 2022, 3323–3326. [CrossRef]
- Zheng, X., Alsop, D. C., and Schlaug, G. (2011). Effects of transcranial direct current stimulation (tDCS) on human regional cerebral blood flow. Neuroimage 58, 26–33. [CrossRef]











![]() ![]()
|
| Pathway / Bandpass filtered White Noise Input | P1 (K1 = 0.000001) |
P2 (K2 = 0.00000000001) |
P3 (K3 = 0.001) |
P4 (K4 = 0.000000000001) |
|---|---|---|---|---|
| 1* | 0.0000, , , 0.0193 | , , , 0.0247 | , 0.0052, 0.0157, 0.0265 | 0.0000, 0.0069, 0.0201, |
| 2 | , 0.0189, 0.0201, | 0.0003, , 0.0156, 0.0167 | 0.0025, , 0.0231, 0.0235 | , 0.0128, 0.0141, |
| 3 | 0.0000, , 0.0153, 0.0195 | 0.0109, 0.0191, 0.0288, 0.0476 | 0.0027, 0.0081, 0.0196, 0.0236 | 0.0067, 0.0090, 0.0144, |
| 4 | , , 0.0115, 0.0245 | , , , | 0.0050, , , | 0.0020, , 0.0168, |
| 5 | 0.0007, 0.0077, 0.0200, 0.0276 | , 0.0131, , | 0.0005, 0.0128, 0.0176, | , 0.0192, 0.0318, |
| 6 | 0.0179, , 0.0363, | , , 0.0237, 0.0418 | 0.0055, , , | , 0.0104, 0.0171, |
| 7 | , , 0.0107, 0.0131 | 0.0128, 0.0200, 0.0380, 0.0659 | 0.0036, , ,0.0386 | , , , 0.0381 |
| 8 | , 0.0225, 0.0298, | 0.0048, 0.0100, , | 0.0011, , 0.0209, | 0.0043, 0.0223, , |
| 9 | 0.0000, , , 0.0215 | 0.0038, , 0.0285, | 0.0033, 0.0083, , 0.0184 | , 0.0099, 0.0164, |
| 10 | , 0.0198, 0.0319, 0.0360 | , 0.0189, 0.0229, 0.0242 | , 0.0058, , 0.0188 | , , , 0.0387 |
| Pathway | Poles | Damping | Frequency (rad/seconds) | Time constant (seconds) |
|---|---|---|---|---|
| 1 | -2.45e-01, -4.00e-01, -1.00e+00, -1.97e+00, -3.30e+00, -4.90e+00 + 8.44e+00i, -4.90e+00 - 8.44e+00i, -1.51e+01, -2.07e+01, -2.97e+04, -9.59e+06 |
1.00e+00, 1.00e+00, 1.00e+00, 1.00e+00, 1.00e+00, 5.02e-01, 5.02e-01, 1.00e+00, 1.00e+00, 1.00e+00, 1.00e+00, |
2.45e-01, 4.00e-01, 1.00e+00, 1.97e+00, 3.30e+00, 9.76e+00, 9.76e+00, 1.51e+01, 2.07e+01, 2.97e+04, 9.59e+06 |
4.09e+00, 2.50e+00, 1.00e+00, 5.09e-01, 3.03e-01, 2.04e-01, 2.04e-01, 6.63e-02, 4.83e-02, 3.36e-05, 1.04e-07 |
| 2 | -2.45e-01, -1.00e+00, -1.97e+00, -3.30e+00, -4.90e+00 + 8.44e+00i, -4.90e+00 - 8.44e+00i, -1.51e+01, -2.07e+01, -2.97e+04, -9.59e+06 |
1.00e+00, 1.00e+00, 1.00e+00, 1.00e+00, 5.02e-01, 5.02e-01, 1.00e+00, 1.00e+00, 1.00e+00, 1.00e+00, |
2.45e-01, 1.00e+00, 1.97e+00, 3.30e+00, 9.76e+00, 9.76e+00, 1.51e+01, 2.07e+01, 2.97e+04, 9.59e+06 |
4.09e+00, 1.00e+00, 5.09e-01, 3.03e-01, 2.04e-01, 2.04e-01, 6.63e-02, 4.83e-02, 3.36e-05, 1.04e-07 |
| -2.45e-01, -1.00e+00, -3.30e+00, -4.90e+00 + 8.44e+00i, -4.90e+00 - 8.44e+00i, -2.07e+01, -2.97e+04, -9.59e+06 |
1.00e+00, 1.00e+00, 1.00e+00, 5.02e-01, 5.02e-01, 1.00e+00, 1.00e+00, 1.00e+00, |
2.45e-01, 1.00e+00, 3.30e+00, 9.76e+00, 9.76e+00, 2.07e+01, 2.97e+04, 9.59e+06 |
4.09e+00, 1.00e+00, 3.03e-01, 2.04e-01, 2.04e-01, 4.83e-02, 3.36e-05, 1.04e-07 |
|
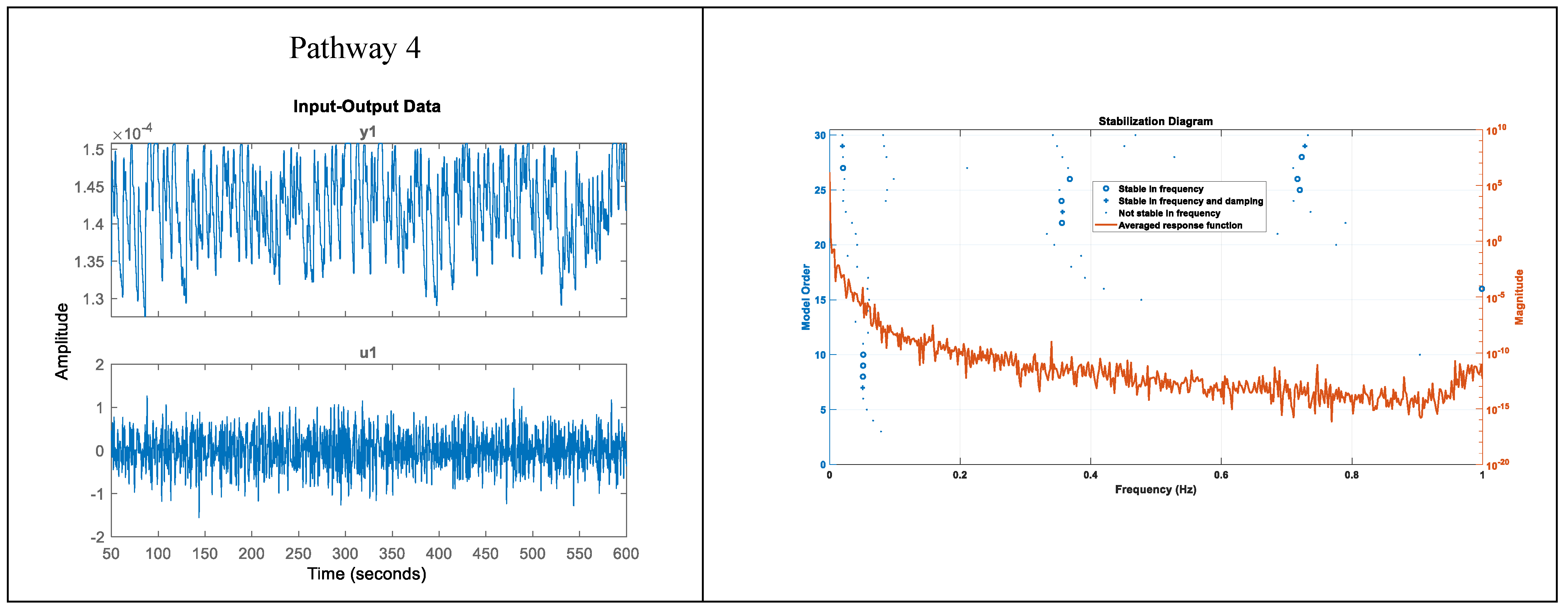
| 4 | -2.45e-01, -3.30e+00, -4.90e+00 + 8.44e+00i, -4.90e+00 - 8.44e+00i, -2.07e+01, -9.59e+06 |
1.00e+00, 1.00e+00, 5.02e-01, 5.02e-01, 1.00e+00, 1.00e+00, |
2.45e-01, 3.30e+00, 9.76e+00, 9.76e+00, 2.07e+01, 9.59e+06 |
4.09e+00, 3.03e-01, 2.04e-01, 2.04e-01, 4.83e-02, 1.04e-07 |
Disclaimer/Publisher’s Note: The statements, opinions and data contained in all publications are solely those of the individual author(s) and contributor(s) and not of MDPI and/or the editor(s). MDPI and/or the editor(s) disclaim responsibility for any injury to people or property resulting from any ideas, methods, instructions or products referred to in the content. |
© 2023 by the authors. Licensee MDPI, Basel, Switzerland. This article is an open access article distributed under the terms and conditions of the Creative Commons Attribution (CC BY) license (http://creativecommons.org/licenses/by/4.0/).


