Submitted:
22 December 2023
Posted:
26 December 2023
You are already at the latest version
Abstract
Keywords:
1. Introduction
2. The Study Area
3. Materials and Methods
3.1. The Water Quality Data
3.2. The Satellite Data
3.3. Data Analysis
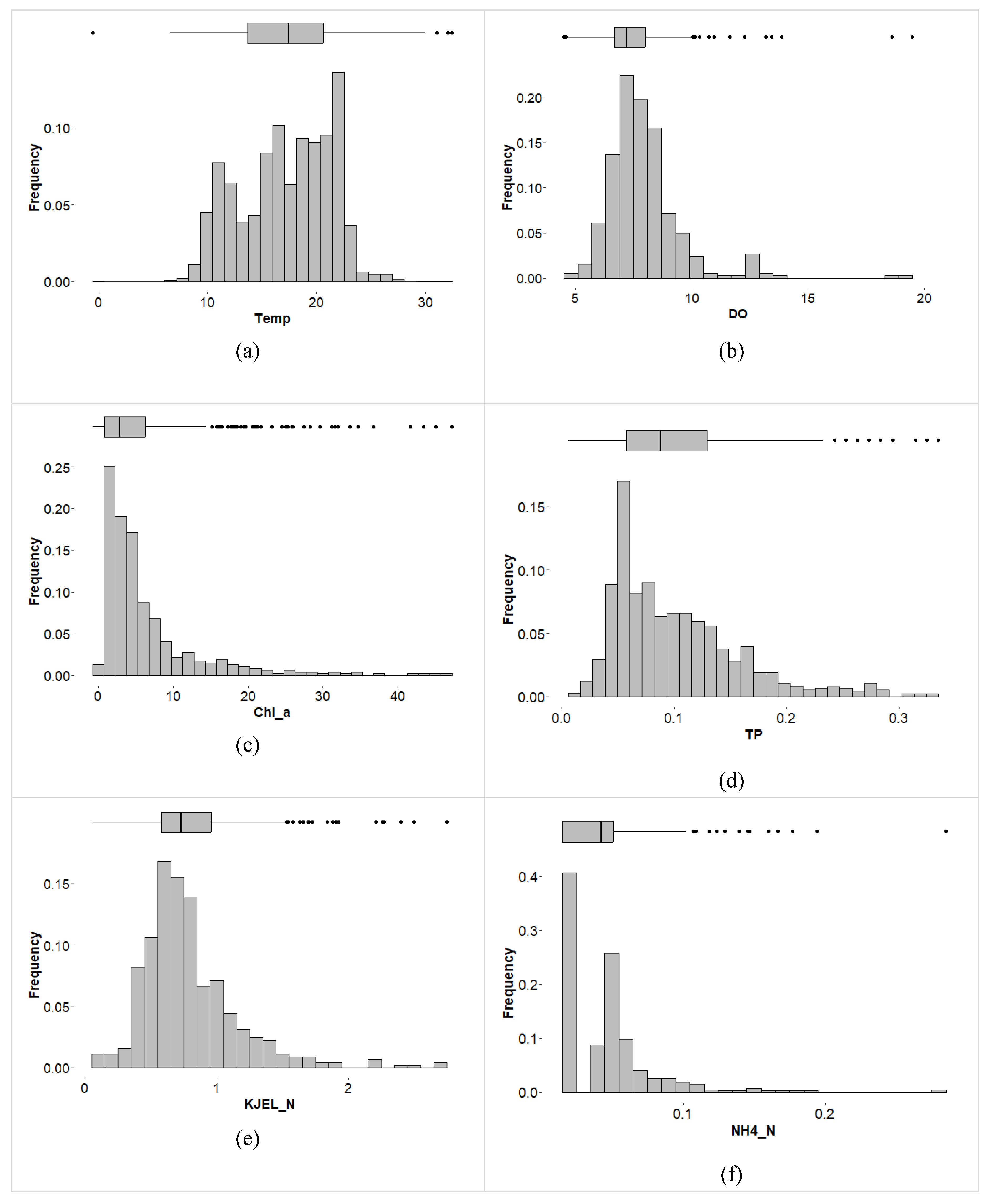
4. Results
4.1. Time Series of Targeted Parameters
5. Discussion
6. Conclusions
Author Contributions
Funding
Institutional Review Board Statement
Informed Consent Statement
Data Availability Statement
Acknowledgments
Conflicts of Interest
References
- Makarigakis, A.K.; Jimenez-Cisneros, B.E. UNESCO’s contribution to face global water challenges. Water 2019, 11, 388. [Google Scholar] [CrossRef]
- Sanderson, E.W.; Jaiteh, M.; Levy, M.A.; Redford, K.H.; Wannebo, A.V.; Woolmer, G. The human footprint and the last of the wild: the human footprint is a global map of human influence on the land surface, which suggests that human beings are stewards of nature, whether we like it or not. BioScience 2002, 52, 891–904. [Google Scholar] [CrossRef]
- Taheri Tizro, A.; Ghashghaie, M.; Georgiou, P.; Voudouris, K. Time series analysis of water quality parameters. Journal of Applied Research in Water and Wastewater 2014, 1, 40–50. [Google Scholar]
- Oberholster, P.J.; Ashton, P.J. State of the nation report: An overview of the current status of water quality and eutrophication in South African rivers and reservoirs. Parliamentary Grant Deliverable. Pretoria: Council for Scientific and Industrial Research (CSIR) 2008, 2006. [Google Scholar]
- Oberholster, P.; Botha, A.-M.; Cloete, T. Biological and chemical evaluation of sewage water pollution in the Rietvlei nature reserve wetland area, South Africa. Environmental Pollution 2008, 156, 184–192. [Google Scholar] [CrossRef]
- Ho, L.T.; Goethals, P.L. Opportunities and challenges for the sustainability of lakes and reservoirs in relation to the Sustainable Development Goals (SDGs). Water 2019, 11, 1462. [Google Scholar] [CrossRef]
- Makarigakis, A.K.; Jimenez-Cisneros, B.E. UNESCO’s Contribution to Face Global Water Challenges. Water, MDPI 2019. [Google Scholar] [CrossRef]
- Adu, J.T.; Kumarasamy, M.V. Assessing Non-Point Source Pollution Models: a Review. Polish Journal of Environmental Studies 2018, 27. [Google Scholar] [CrossRef] [PubMed]
- Carey, R.O.; Migliaccio, K.W. Contribution of wastewater treatment plant effluents to nutrient dynamics in aquatic systems: a review. Environmental management 2009, 44, 205–217. [Google Scholar] [CrossRef]
- Sonzogni, W.C.; Chesters, G.; Coote, D.; Jeffs, D.; Konrad, J.; Ostry, R.; Robinson, J. Pollution from land runoff. Environmental Science & Technology 1980, 14, 148–153. [Google Scholar]
- Chaffin, J.D.; Bratton, J.F.; Verhamme, E.M.; Bair, H.B.; Beecher, A.A.; Binding, C.E.; Birbeck, J.A.; Bridgeman, T.B.; Chang, X.; Crossman, J. The Lake Erie HABs Grab: A binational collaboration to characterize the western basin cyanobacterial harmful algal blooms at an unprecedented high-resolution spatial scale. Harmful Algae 2021, 108, 102080. [Google Scholar] [CrossRef]
- Glibert, P.M.; Maranger, R.; Sobota, D.J.; Bouwman, L. The Haber Bosch–harmful algal bloom (HB–HAB) link. Environmental Research Letters 2014, 9, 105001. [Google Scholar] [CrossRef]
- Robarts, R.D.; Zohary, T. Limnology and the future of African inland waters. Inland Waters 2018, 8, 399–412. [Google Scholar] [CrossRef]
- Hara, M.M.; Backeberg, G.R. An institutional approach for developing South African inland freshwater fisheries for improved food security and rural livelihoods. Water SA 2014, 40, 277–286. [Google Scholar] [CrossRef]
- Ewerts, H. Effectiveness of purification processes in removing algae from Vaal Dam water at the Rand Water Zuikerbosch treatment plant in Vereeniging. Citeseer. 2010. [Google Scholar]
- Ali, K.; Abiye, T.; Adam, E. Integrating In Situ and Current Generation Satellite Data for Temporal and Spatial Analysis of Harmful Algal Blooms in the Hartbeespoort Dam, Crocodile River Basin, South Africa. Remote Sensing 2022, 14, 4277. [Google Scholar] [CrossRef]
- Matthews, M.W.; Bernard, S. Eutrophication and cyanobacteria in South Africa's standing water bodies: A view from space. South African journal of science 2015, 111, 1–8. [Google Scholar] [CrossRef]
- Mudaly, L.; Van der Laan, M. Interactions between irrigated agriculture and surface water quality with a focus on phosphate and nitrate in the middle olifants catchment, South Africa. Sustainability 2020, 12, 4370. [Google Scholar] [CrossRef]
- Beaulac, M.N.; Reckhow, K.H. AN EXAMINATION OF LAND USE-NUTRIENT EXPORT RELATIONSHIPS 1. JAWRA Journal of the American Water Resources Association 1982, 18, 1013–1024. [Google Scholar] [CrossRef]
- Walmsley, R. A review and discussion document: Perspectives on eutrophication of surface waters: Policy or Research Needs in South Africa. 2002. [Google Scholar]
- Van Ginkel, C. Eutrophication: Present reality and future challenges for South Africa. Water SA 2011, 37, 693–702. [Google Scholar] [CrossRef]
- Haarhoff, J.; Tempelhoff, J. Water supply to the Witwatersrand (Gauteng) 1924-2003. Journal for Contemporary History 2007, 32, 95–114. [Google Scholar]
- Obaid, A.; Adam, E.; Ali, K.A. Land Use and Land Cover Change in the Vaal Dam Catchment, South Africa: A Study Based on Remote Sensing and Time Series Analysis. Geomatics 2023, 3, 205–220. [Google Scholar] [CrossRef]
- Du Plessis, A. Freshwater Challenges of South Africa and Its Upper Vaal River. Springer, 2017. [Google Scholar]
- Swanepoel, A.; Barnard, S.; Recknagel, F.; Cao, H. Evaluation of models generated via hybrid evolutionary algorithms for the prediction of Microcystis concentrations in the Vaal Dam, South Africa. Water SA 2016, 42, 243–252. [Google Scholar] [CrossRef]
- Sakuno, Y.; Yajima, H.; Yoshioka, Y.; Sugahara, S.; Abd Elbasit, M.A.; Adam, E.; Chirima, J.G. Evaluation of unified algorithms for remote sensing of chlorophyll-a and turbidity in Lake Shinji and Lake Nakaumi of Japan and the Vaal Dam Reservoir of South Africa under eutrophic and ultra-turbid conditions. Water 2018, 10, 618. [Google Scholar] [CrossRef]
- Malahlela, O.E.; Oliphant, T.; Tsoeleng, L.T.; Mhangara, P. Mapping chlorophyll-a concentrations in a cyanobacteria-and algae-impacted Vaal Dam using Landsat 8 OLI data. South African Journal of Science 2018, 114, 1–9. [Google Scholar] [CrossRef] [PubMed]
- Bande, P.; Adam, E.; Elbasit, M.; Adelabu, S. Comparing Landsat 8 and Sentinel-2 in mapping water quality at Vaal dam. In Proceedings of the 2018 IEEE International geoscience and remote sensing symposium; 2018; pp. 9280–9283. [Google Scholar]
- Obaid, A.; Ali, K.; Abiye, T.; Adam, E. Assessing the utility of using current generation high-resolution satellites (Sentinel 2 and Landsat 8) to monitor large water supply dam in South Africa. Remote Sensing Applications: Society and Environment 2021, 22, 100521. [Google Scholar] [CrossRef]
- Ali, K.A.; Ortiz, J.; Bonini, N.; Shuman, M.; Sydow, C. Application of Aqua MODIS sensor data for estimating chlorophyll a in the turbid Case 2 waters of Lake Erie using bio-optical models. GIScience & Remote Sensing 2016, 53, 483–505. [Google Scholar]
- Hieronymi, M.; Krasemann, H.; Müller, D.; Brockmann, C.; Ruescas, A.; Stelzer, K.; Nechad, B.; Ruddick, K.; Simis, S.; Tilstone, G. Ocean colour remote sensing of extreme case-2 waters. spectrum 2016, 2, 56. [Google Scholar]
- Franz, B.A.; Bailey, S.W.; Kuring, N.; Werdell, P.J. Ocean color measurements from Landsat-8 OLI using SeaDAS. 2014. [Google Scholar]
- Gons, H.J. Optical teledetection of chlorophyll a in turbid inland waters. Environmental science & technology 1999, 33, 1127–1132. [Google Scholar]
- Gitelson, A.A.; Schalles, J.F.; Hladik, C.M. Remote chlorophyll-a retrieval in turbid, productive estuaries: Chesapeake Bay case study. Remote Sensing of Environment 2007, 109, 464–472. [Google Scholar] [CrossRef]
- Gyedu-Ababio, T.; Van Wyk, F. Effects of human activities on the waterval river, Vaal river catchment, South Africa. African Journal of Aquatic Science 2004, 29, 75–81. [Google Scholar] [CrossRef]
- du Plessis, A.; Harmse, T.; Ahmed, F. Predicting water quality associated with land cover change in the Grootdraai Dam catchment, South Africa. Water International 2015, 40, 647–663. [Google Scholar] [CrossRef]
- Matete, M.; Hassan, R. Integrated ecological economics accounting approach to evaluation of inter-basin water transfers: An application to the Lesotho Highlands Water Project. Ecological Economics 2006, 60, 246–259. [Google Scholar] [CrossRef]
- O'Reilly, J.E.; Werdell, P.J. Chlorophyll algorithms for ocean color sensors-OC4, OC5 & OC6. Remote sensing of environment 2019, 229, 32–47. [Google Scholar] [PubMed]
- Welch, E.B.; Cooke, G.D. Internal phosphorus loading in shallow lakes: importance and control. Lake and reservoir management 2005, 21, 209–217. [Google Scholar] [CrossRef]
- Gholizadeh, M.H.; Melesse, A.M.; Reddi, L. A comprehensive review on water quality parameters estimation using remote sensing techniques. Sensors 2016, 16, 1298. [Google Scholar] [CrossRef] [PubMed]
- Auchterlonie, J.; Eden, C.-L.; Sheridan, C. The phytoremediation potential of water hyacinth: A case study from Hartbeespoort Dam, South Africa. South African Journal of Chemical Engineering 2021, 37, 31–36. [Google Scholar] [CrossRef]
- Welch, E.B. Factors initiating phytoplankton blooms and resulting effects on dissolved oxygen in Duwamish River estuary, Seattle, Washington. US Govt. Print. Off., 1969. [Google Scholar]
- Kharbush, J.J.; Robinson, R.S.; Carter, S.J. Patterns in sources and forms of nitrogen in a large eutrophic lake during a cyanobacterial harmful algal bloom. Limnology and Oceanography 2023, 68, 803–815. [Google Scholar] [CrossRef]







| Parameter | Data Availability | Minimum Value | Maximum Value | Average |
|---|---|---|---|---|
| Chl-a | 1986 – 2022 | 0.5 μg/l | 452.8 μg/l | 11.25 μg/l |
| TP | 1986 – 2022 | 0.01 mg/l | 1.4 mg/l | 0.113 mg/l |
| DO | 2010 – 2018 | 4.98 mg/l | 19.31 mg/l | 7.9 mg/l |
| KJEL_N | 1986 – 2018 | 0.05 mg/l | 18.058 mg/l | 0.94 mg/l |
| NH4_N | 1977 – 2018 | 0.02 mg/l | 0.28 mg/l | 0.046 mg/l |
| NO3NO2_N | 1968 – 2018 | 0.02 mg/l | 0.921 mg/l | 0.27 mg/l |
| Temperature | 1968 – 2018 | 18°C |
| Decades WQ Parameter |
1st Decade (1990-2000) |
2nd Decade (2000-2010) |
3rd Decade (2010-2020) |
|---|---|---|---|
| Chl-a (μg/l) | 4.75 | 10.51 | 16.7 |
| TP (mg/l) | 0.1043 | 0.1096 | 0.1119 |
| KJEL_N (mg/l) | 0.8 | - | 1.14 |
| NO3NO2_N (mg/l) | 0.246 | - | 0.225 |
| NH4_N (mg/l) | 0.04 | - | 0.043 |
| DO (mg/l) | - | - | 7.93 |
| Temp. (˚C) | 17.9 | - | 18 |
Disclaimer/Publisher’s Note: The statements, opinions and data contained in all publications are solely those of the individual author(s) and contributor(s) and not of MDPI and/or the editor(s). MDPI and/or the editor(s) disclaim responsibility for any injury to people or property resulting from any ideas, methods, instructions or products referred to in the content. |
© 2023 by the authors. Licensee MDPI, Basel, Switzerland. This article is an open access article distributed under the terms and conditions of the Creative Commons Attribution (CC BY) license (http://creativecommons.org/licenses/by/4.0/).
