Submitted:
22 December 2023
Posted:
25 December 2023
You are already at the latest version
Abstract
Keywords:
1. Introduction
2. Materials and Methods
2.1. Bacterial strains
2.2. Production of Lm pet treats
2.3. Safety and stability test of Lm pet treats
2.4. Clinical CKD cat trial: a pilot study
2.5. Biochemical measurements
2.6. Uremic toxin analysis
2.7. Microbiota analysis in feline feces
2.8. Statistical analysis
3. Results
3.1. Lm pet treats were safe and chemical- and bacterial-stable.
3.2. Clinical trial on CKD feline: a polit study
3.2.1. Study population
3.2.2. Lm pet treats could improve/maintain life quality and kidney function in CKD cats.
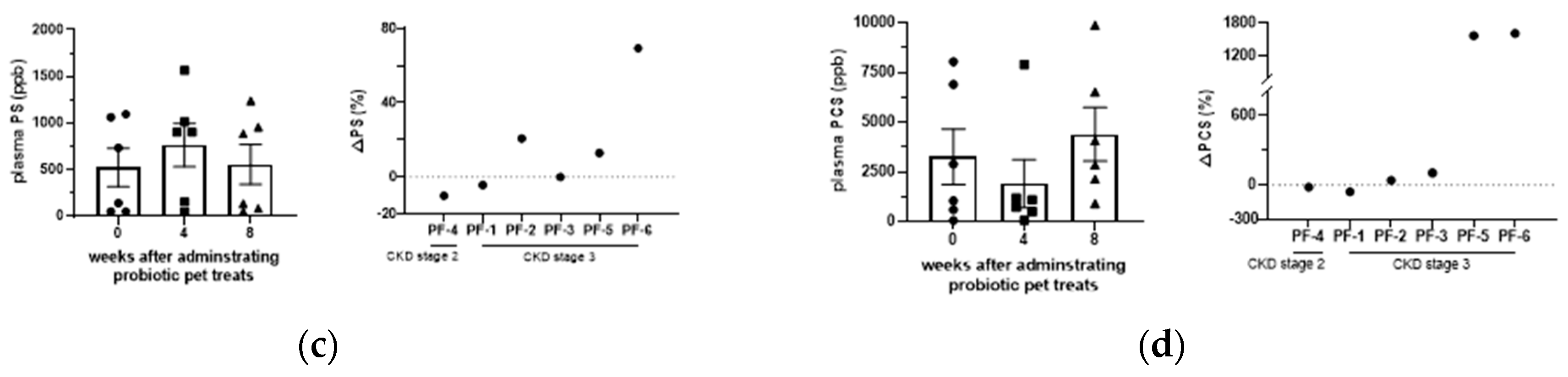
3.3. Effect of GDUTs in serum after the administration of Lm treats.
3.4. Lm pet treats modified fecal microbiota of CKD cats.
3.5. Lm pet treats altered the gut microbial function.
4. Discussion
5. Conclusions
Supplementary Materials
Author Contributions
Funding
Institutional Review Board Statement
Informed Consent Statement
Data Availability Statement
Acknowledgments
Conflicts of Interest
Abbreviations
References
- Lu, P.-H.; Yu, M.-C.; Wei, M.-J.; Kuo, K.-L. The Therapeutic strategies for uremic toxins control in chronic kidney disease. Toxins. 2021, 13, 573. [Google Scholar] [CrossRef] [PubMed]
- Rosner, M. H.; Reis, T.; Husain-Syed, F.; Vanholder, R.; Hutchison, C.; Stenvinkel, P.; Blankestijn, P. J.; Cozzolino, M.; Juillard, L.; Kashani, K.; Kaushik, M.; Kawanishi, H.; Massy, Z.; Sirich, T. L.; Zuo, L.; Ronco, C. Classification of uremic toxins and their role in kidney failure. Clin. J. Am. Soc. Nephrol. 2021, 16, 1918–1928. [Google Scholar] [CrossRef] [PubMed]
- Roura, X. Risk factors in dogs and cats for development of chronic kidney disease. Available online: https://www.iris-kidney.com/education/education/risk_factors.html (accessed on June 2023).
- Chen, H.; Dunaevich, A.; Apfelbaum, N.; Kuzi, S.; Mazaki-Tovi, M.; Aroch, I.; Segev, G. Acute on chronic kidney disease in cats: etiology, clinical and clinicopathologic findings, prognostic markers, and outcome. J. Vet. Intern. Med. 2020, 34, 1496–1506. [Google Scholar] [CrossRef] [PubMed]
- Polzin, D. J. Chronic kidney disease in small animals. Vet. Clin. North Am. Small Anim. Pract. 2011, 41, 15–30. [Google Scholar] [CrossRef] [PubMed]
- Bartges, J.W. Chronic kidney disease in dogs and cats. Vet. Clin. North Am. Small Anim. Pract. 2012, 42, 669–vi. [Google Scholar] [CrossRef] [PubMed]
- Parker, V. J. Nutritional management for dogs and cats with chronic kidney disease. Vet. Clin. North Am. Small Anim. Pract. 2021, 51, 685–710. [Google Scholar] [CrossRef]
- Jones, S. E.; Quimby, J. M.; Summers, S. C.; Adams, S. M.; Caney, S. M.; Rudinsky, A. J. Survey of defecation habits in apparently healthy and chronic kidney disease cats. J. Feline Med. Surg. 2022, 24, 131–141. [Google Scholar] [CrossRef] [PubMed]
- Evenepoel, P.; Meijers, B. K.; Bammens, B. R.; Verbeke, K. Uremic toxins originating from colonic microbial metabolism. Kidney Int. 2009, 76, S12–S19. [Google Scholar] [CrossRef] [PubMed]
- Koppe, L.; Mafra, D.; Fouque, D. Probiotics and chronic kidney disease. Kidney Int. 2015, 88, 958–966. [Google Scholar] [CrossRef]
- Lim, Y. J.; Sidor, N. A.; Tonial, N. C.; Che, A.; Urquhart, B. L. Uremic toxins in the progression of chronic kidney disease and cardiovascular disease: mechanisms and therapeutic targets. Toxins. 2021, 13, 142. [Google Scholar] [CrossRef]
- Subramaniam, S.; Fletcher, C. Trimethylamine N-oxide: breathe new life. Br. J. Pharmacol. 2018, 175, 1344–1353. [Google Scholar] [CrossRef] [PubMed]
- Carlström, M.; Moretti, C. H.; Weitzberg, E.; Lundberg, J. O. Microbiota, diet and the generation of reactive nitrogen compounds. Free Radical Biol. Med. 2020, 161, 321–325. [Google Scholar] [CrossRef] [PubMed]
- Wu, I. W.; Hsu, K. H.; Lee, C. C.; Sun, C. Y.; Hsu, H. J.; Tsai, C. J.; Tzen, C. Y.; Wang, Y. C.; Lin, C. Y.; Wu, M. S. p-Cresyl sulphate and indoxyl sulphate predict progression of chronic kidney disease. Nephrol., Dial., Transplant. 2011, 26, 938–947. [Google Scholar] [CrossRef] [PubMed]
- Pretorius, C. J.; McWhinney, B. C.; Sipinkoski, B.; Johnson, L. A.; Rossi, M.; Campbell, K. L.; Ungerer, J. P. Reference ranges and biological variation of free and total serum indoxyl- and p-cresyl sulphate measured with a rapid UPLC fluorescence detection method. Clin. Chim. Acta. 2013, 419, 122–126. [Google Scholar] [CrossRef] [PubMed]
- Yoshifuji, A.; Wakino, S.; Irie, J.; Tajima, T.; Hasegawa, K.; Kanda, T.; Tokuyama, H.; Hayashi, K.; Itoh, H. Gut Lactobacillus protects against the progression of renal damage by modulating the gut environment in rats. Nephrol. Dial. Transplant. 2016, 31, 401–412. [Google Scholar] [CrossRef] [PubMed]
- Lee, Y.-J.; Li, K.-Y.; Wang, P. J.; Huang, H. W.; Chen, M. J. Alleviating chronic kidney disease progression through modulating the critical genus of gut microbiota in a cisplatin-induced Lanyu pig model. J. Food Drug Anal. 2020, 28, 103–114. [Google Scholar] [CrossRef] [PubMed]
- Palmquist, R. A preliminary clinical evaluation of Kibow Biotics,® a probiotic agent, on feline azotemia. J. Am. Holistic Vet. Med. Assoc. 2006, 24, 23–27. [Google Scholar]
- Lippi, I.; Perondi, F.; Ceccherini, G.; Marchetti, V.; Guidi, G. Effects of probiotic VSL#3 on glomerular filtration rate in dogs affected by chronic kidney disease: a pilot study. Can. Vet. J. 2017, 58, 1301–1305.2. [Google Scholar]
- Huang, H.; Li, K.; Lee, Y.; Chen, M. Preventive effects of Lactobacillus mixture against chronic kidney disease progression through enhancement of beneficial bacteria and downregulation of gut-derived uremic toxins. J. Agric. Food Chem. 2021, 69, 7353–7366. [Google Scholar] [CrossRef]
- Chan, W. N.; Ho, D. R.; Huang, Y. C.; Lin, J. H.; Liu, Y. L.; Chen, M. J.; Chen, C. S. A pilot study of nephrogenic probiotics to further improve an already stabilized graft function after kidney transplantation. Transplant. Proc. 2023, 55, 2090–2094. [Google Scholar] [CrossRef]
- Rishniw, M.; Wynn, S. G. Azodyl, a synbiotic, fails to alter azotemia in cats with chronic kidney disease when sprinkled onto food. J. Feline Med. Surg. 2011, 13, 405–409. [Google Scholar] [CrossRef] [PubMed]
- Chuang, J.J.; Huang, Y.Y.; Lo, S.H.; Hsu, T.F.; Huang, W.Y.; Huang, S.L.; Lin, Y.S. Effects of pH on the shape of alginate particles and its release behavior. Int. J. Polym. Sci. 2017, 2017, 1–9. [Google Scholar] [CrossRef]
- Acuff, H.; G. Aldrich, C. A Review of application strategies and efficacy of probiotics in pet food. IntechOpen 2023. [CrossRef]
- International Renal Interest Society. IRIS staging of CKD (modified 2023). Available online: http://www.iris-kidney.com/pdf/2_IRIS_Staging_of_CKD_2023.pdf (accessed on 28 February 2023).
- Ranganathan, P.; Pramesh, C. S.; Buyse, M. Common pitfalls in statistical analysis: clinical versus statistical significance. Perspect. Clin. Res. 2015, 6, 169–170. [Google Scholar] [CrossRef] [PubMed]
- Phillips, M. R.; Wykoff, C. C.; Thabane, L.; Bhandari, M.; Chaudhary, V.; Retina Evidence Trials InterNational Alliance (R.E.T.I.N.A.) Study Group. The clinician's guide to p values, confidence intervals, and magnitude of effects. Eye (London, U. K.) 2022. 36, 341–342. [CrossRef]
- Nair, A.; Morsy, M. A.; Jacob, S. Dose translation between laboratory animals and human in preclinical and clinical phases of drug development. Drug Dev. Res. 2018, 79, 373–382. [Google Scholar] [CrossRef] [PubMed]
- Moore, M. J.; Goldstein, D.; Hamm, J.; Figer, A.; Hecht, J. R.; Gallinger, S.; Au, H. J.; Murawa, P.; Walde, D.; Wolff, R. A.; Campos, D.; Lim, R.; Ding, K.; Clark, G.; Voskoglou-Nomikos, T.; Ptasynski, M.; Parulekar, W.; National Cancer Institute of Canada Clinical Trials Group. Erlotinib plus gemcitabine compared with gemcitabine alone in patients with advanced pancreatic cancer: a phase III trial of the National Cancer Institute of Canada Clinical Trials Group. J. Clin. Oncol. 2007, 25, 1960–1966. [Google Scholar] [CrossRef] [PubMed]
- Schulz, K. F.; Altman, D. G.; Moher, D.; CONSORT Group. CONSORT 2010 statement: updated guidelines for reporting parallel group randomised trials. BMJ 2010, 340, c332. [Google Scholar] [CrossRef] [PubMed]
- Cosola, C.; Rocchetti, M. T.; di Bari, I.; Acquaviva, P. M.; Maranzano, V.; Corciulo, S.; Di Ciaula, A.; Di Palo, D. M.; La Forgia, F. M.; Fontana, S.; De Angelis, M.; Portincasa, P.; Gesualdo, L. An innovative synbiotic formulation decreases free serum indoxyl sulfate, small intestine permeability and ameliorates gastrointestinal symptoms in a randomized pilot trial in stage IIIb-IV CKD patients. Toxins 2021, 13, 334. [Google Scholar] [CrossRef] [PubMed]
- Liu, S.; Liu, H.; Chen, L.; Liang, S. S.; Shi, K.; Meng, W.; Xue, J.; He, Q.; Jiang, H. Effect of probiotics on the intestinal microbiota of hemodialysis patients: a randomized trial. Eur. J. Nutr. 2020, 59, 3755–3766. [Google Scholar] [CrossRef]
- Mitrović, M.; Stanković-Popović, V.; Tolinački, M.; Golić, N.; Soković Bajić, S.; Veljović, K.; Nastasijević, B.; Soldatović, I.; Svorcan, P.; Dimković, N. The impact of synbiotic treatment on the levels of gut-derived uremic toxins, inflammation, and gut microbiome of chronic kidney disease patients-a randomized trial. J. Renal Nutr. 2023, 33, 278–288. [Google Scholar] [CrossRef]
- Wang, I. K.; Yen, T. H.; Hsieh, P. S.; Ho, H. H.; Kuo, Y. W.; Huang, Y. Y.; Kuo, Y. L.; Li, C. Y.; Lin, H. C.; Wang, J. Y. Effect of a probiotic combination in an experimental mouse model and clinical patients with chronic kidney disease: a pilot study. Front. Nutr. 2021, 8, 661794. [Google Scholar] [CrossRef] [PubMed]
- Lim, P. S.; Wang, H. F.; Lee, M. C.; Chiu, L. S.; Wu, M. Y.; Chang, W. C.; Wu, T. K. The Efficacy of Lactobacillus-containing probiotic supplementation in hemodialysis patients: a randomized, double-blind, placebo-controlled trial. J. Renal Nutr. 2021, 31, 189–198. [Google Scholar] [CrossRef]
- Shahbaz H.; Gupta M. Creatinine Clearance. StatPearls [Internet]. Available from: https://www.ncbi.nlm.nih.gov/books/NBK544228/2 (accessed on 13 December 2023).
- Sumida, K.; Molnar, M. Z.; Potukuchi, P. K.; Thomas, F.; Lu, J. L.; Matsushita, K.; Yamagata, K.; Kalantar-Zadeh, K.; Kovesdy, C. P. Constipation and incident CKD. J. Am. Soc. Nephrol. 2017, 28, 1248–1258. [Google Scholar] [CrossRef] [PubMed]
- Ikee, R.; Sasaki, N.; Yasuda, T.; Fukazawa, S. Chronic kidney disease, gut dysbiosis, and constipation: a burdensome triplet. Microorg. 2020, 8, 1862. [Google Scholar] [CrossRef] [PubMed]
- Dieterich, W.; Schink, M.; Zopf, Y. Microbiota in the gastrointestinal tract. Med. Sci. (Basel) 2018, 6, 116. [Google Scholar] [CrossRef] [PubMed]
- Targher, G.; Byrne, C. D. Non-alcoholic fatty liver disease: an emerging driving force in chronic kidney disease. Nat. Rev. Nephrol. 2017, 13, 297–310. [Google Scholar] [CrossRef] [PubMed]
- Jiang, S.; Xie, S.; Lv, D.; Wang, P.; He, H.; Zhang, T.; Zhou, Y.; Lin, Q.; Zhou, H.; Jiang, J.; Nie, J.; Hou, F.; Chen, Y. Alteration of the gut microbiota in Chinese population with chronic kidney disease. Sci. Rep. 2017, 7, 2870. [Google Scholar] [CrossRef] [PubMed]
- Bermingham, E. N.; Young, W.; Butowski, C. F.; Moon, C. D.; Maclean, P. H.; Rosendale, D.; Cave, N. J.; Thomas, D. G. The fecal microbiota in the domestic cat (Felis catus) is influenced by interactions between age and diet; a five year longitudinal study. Front. Microbiol. 2018, 9, 1231. [Google Scholar] [CrossRef] [PubMed]
- Cai, H.; Su, S.; Li, Y.; Zhu, Z.; Guo, J.; Zhu, Y.; Guo, S.; Qian, D.; Duan, J. Danshen can interact with intestinal bacteria from normal and chronic renal failure rats. Biomed. Pharmacother. 2019, 109, 1758–1771. [Google Scholar] [CrossRef]
- Bäckhed, F. Meat-metabolizing bacteria in atherosclerosis. Nat. Med. 2013, 19, 533–534. [Google Scholar] [CrossRef]
- Wong, J.; Piceno, Y. M.; DeSantis, T. Z.; Pahl, M.; Andersen, G. L.; Vaziri, N. D. Expansion of urease- and uricase-containing, indole- and p-cresol-forming and contraction of short-chain fatty acid-producing intestinal microbiota in ESRD. Am. J. Nephrol. 2014, 39, 230–237. [Google Scholar] [CrossRef]
- Sampaio-Maia, B.; Simões-Silva, L.; Pestana, M.; Araujo, R.; Soares-Silva, I. J. The role of the gut microbiome on chronic kidney disease. Adv. Appl. Microbiol. 2016, 96, 65–94. [Google Scholar] [CrossRef] [PubMed]
- Rukavina Mikusic, N. L.; Kouyoumdzian, N. M.; Choi, M. R. Gut microbiota and chronic kidney disease: evidences and mechanisms that mediate a new communication in the gastrointestinal-renal axis. Pfluegers Arch. 2020, 472, 303–320. [Google Scholar] [CrossRef] [PubMed]
- Ren, Z.; Fan, Y.; Li, A.; Shen, Q.; Wu, J.; Ren, L.; Lu, H.; Ding, S.; Ren, H.; Liu, C.; Liu, W.; Gao, D.; Wu, Z.; Guo, S.; Wu, G.; Liu, Z.; Yu, Z.; Li, L. Alterations of the human gut microbiome in chronic kidney disease. Adv. Sci. 2020, 7, 2001936. [Google Scholar] [CrossRef] [PubMed]
- Pan, L.; Han, P.; Ma, S.; Peng, R.; Wang, C.; Kong, W.; Cong, L.; Fu, J.; Zhang, Z.; Yu, H.; Wang, Y.; Jiang, J. Abnormal metabolism of gut microbiota reveals the possible molecular mechanism of nephropathy induced by hyperuricemia. Acta Pharm. Sin. B. 2020, 10, 249–261. [Google Scholar] [CrossRef]
- Grabrucker, S.; Marizzoni, M.; Silajdžić, E.; Lopizzo, N.; Mombelli, E.; Nicolas, S.; Dohm-Hansen, S.; Scassellati, C.; Moretti, D. V.; Rosa, M.; Hoffmann, K.; Cryan, J. F.; O’Leary, O. F.; English, J. A.; Lavelle, A.; O’Neill, C.; Thuret, S.; Cattaneo, A.; Nolan, Y. M. Microbiota from Alzheimer’s patients induce deficits in cognition and hippocampal neurogenesis. Brain 2023, 146, 4916–4934. [Google Scholar] [CrossRef] [PubMed]
- Matsuki, T.; Watanabe, K.; Fujimoto, J.; Miyamoto, Y.; Takada, T.; Matsumoto, K.; Oyaizu, H.; Tanaka, R. Development of 16S rRNA-gene-targeted group-specific primers for the detection and identification of predominant bacteria in human feces. Appl. Environ. Microbiol. 2002, 68, 5445–5451. [Google Scholar] [CrossRef] [PubMed]
- Matsuda, K.; Tsuji, H.; Asahara, T.; Kado, Y.; Nomoto, K. Sensitive quantitative detection of commensal bacteria by rRNA-targeted reverse transcription-PCR. Appl. Environ. Microbiol. 2007, 73, 32–39. [Google Scholar] [CrossRef] [PubMed]
- Rinttilä, T.; Kassinen, A.; Malinen, E.; Krogius, L.; Palva, A. Development of an extensive set of 16S rDNA-targeted primers for quantification of pathogenic and indigenous bacteria in faecal samples by real-time PCR. J. Appl. Microbiol. 2004, 97, 1166–1177. [Google Scholar] [CrossRef]
- Kikuchi, E.; Miyamoto, Y.; Narushima, S.; Itoh, K. Design of species-specific primers to identify 13 species of Clostridium harbored in human intestinal tracts. Microbiol. Immunol. 2002, 46, 353–358. [Google Scholar] [CrossRef]








| CA | CB | CC | |
|---|---|---|---|
| Energy (kcal/100 g food) | 411.0 | 413.9 | 425.7 |
| Carbohydrates (%) | 41.7 | 41.9 | 41.9 |
| Crude protein (%) | 33.6 | 33.0 | 31.9 |
| Crude fat (%) | 12.2 | 12.7 | 14.5 |
| Crude fiber (%) | 3.50 | 3.50 | 3.2 |
| Sodium (Na) (mg/100 g food) | 413.0 | 511.5 | 346.4 |
| Phosphate (P) (mg/100 g food) | 1210 | 1250 | 965 |
| Ca/P | 1.56 | 1.54 | 1.66 |
| Ash (%) | 7.4 | 7.7 | 6.4 |
| Indicators | Before Lm intervention | During Lm intervention | After Lm intervention | P value | |
|---|---|---|---|---|---|
| week 0 | week 4 | week 8 | week 0 v.s. 4 | week 0 v.s. 8 | |
| BUN | 37.83 (23.91–51.76) | 35.33 (28.64–42.03) | 37.67 (22.22–51.12) | 0.851 | 0.906 |
| creatinine | 3.57 (2.85–4.29) | 3.52 (2.73–4.30) | 3.22 (2.53–3.90) | 0.742 | 0.063 |
| TMAO | 1340.17 (977.60–1702.74) | 865.95 (447.43–1284.48) | 1367.73 (533.86–2201.60) | 0.100 | 0.475 |
| PS | 522.05 (109.72–934.38) | 764.80 (296.23–1233.37) | 557.97 (124.62–991.31) | 0.287 | 0.276 |
| IS | 6410.50 (-1306.75–14127.75) | 2727.87 (1304.41–4151.32) | 5766.97 (977.79–10554.14) | 0.313 | > 0.999 |
| PCS | 3259.52 (439.16–6077.87) | 1914.03 (-524.98–4353.04) | 4394.73 (1681.35–7108.12) | 0.156 | 0.202 |
Disclaimer/Publisher’s Note: The statements, opinions and data contained in all publications are solely those of the individual author(s) and contributor(s) and not of MDPI and/or the editor(s). MDPI and/or the editor(s) disclaim responsibility for any injury to people or property resulting from any ideas, methods, instructions or products referred to in the content. |
© 2023 by the authors. Licensee MDPI, Basel, Switzerland. This article is an open access article distributed under the terms and conditions of the Creative Commons Attribution (CC BY) license (http://creativecommons.org/licenses/by/4.0/).